SMAT技术制备梯度纳米孪晶结构及其腐蚀行为研究 |
| 陈婷婷, 武晓雷, 韩培德 |
|
Gradient Nanotwin Structure Prepared by SMAT Technology on S31254 Super Austenitic Stainless Steel Surface and Its Corrosion Behavior in 10%NaCl Solution |
| CHEN Tingting, WU Xiaolei, HAN Peide |
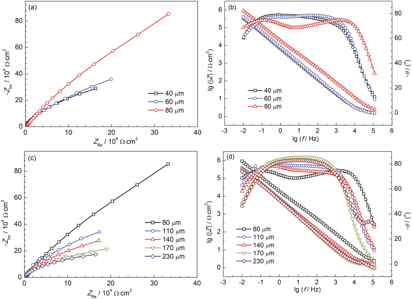
| 图6 GS样品的不同层在10%NaCl溶液中的电化学阻抗谱 |
| Fig.6 Nyquist (a, c) and Bode (b, d) diagrams of impedance spectra from the 40 μm layer to the 80 μm layer (a, b) and from the 80 μm layer to the 230 μm layer (c, d) in 10%NaCl solution of GS specimen |
|