热处理工艺对超级13Cr不锈钢在饱和CO2油田地层水中腐蚀行为影响 |
| 潘鑫, 任泽, 连景宝, 何川, 郑平, 陈旭 |
|
Effect of Heat Treatment Process on Corrosion Behavior of Super 13Cr Stainless Steel in CO2-Saturated Oilfield Formation Aqueous Solution |
| PAN Xin, REN Ze, LIAN Jingbao, HE Chuan, ZHENG Ping, CHEN Xu |
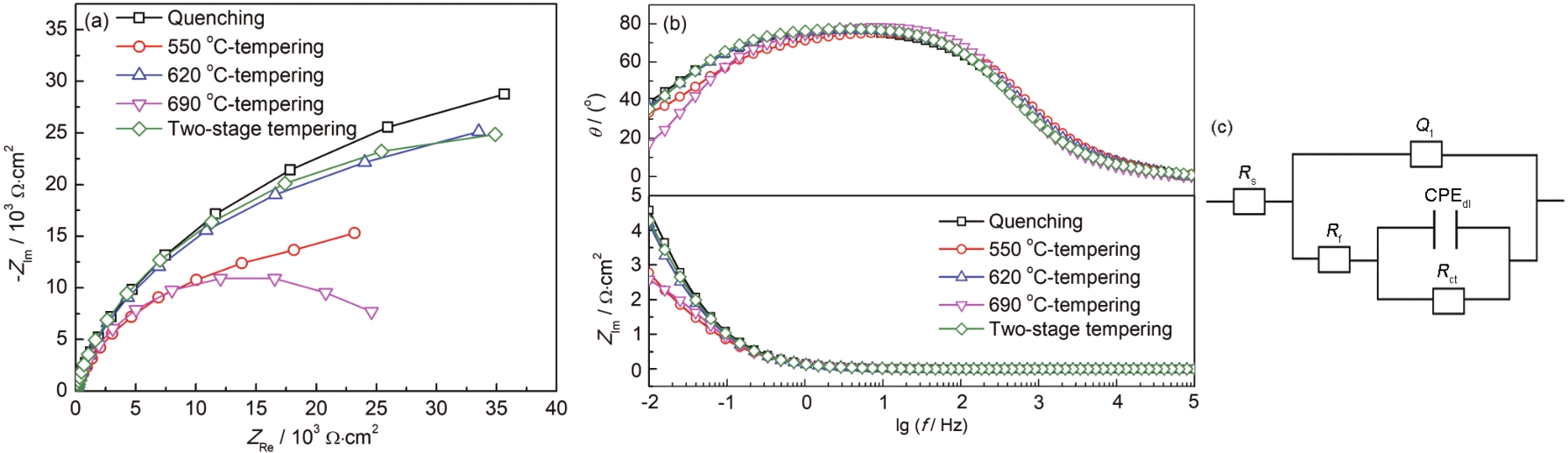
| 图5 经不同条件热处理的超级13Cr不锈钢在饱和CO2油田地层水中的EIS图及等效电路 |
| Fig.5 Nyquist (a), Bode (b) plots of various heat-treated super 13Cr stainless steel in CO2-saturated oilfield formation solution and Equivalent circuit diagram (c) |
|