表面划痕对304不锈钢液滴腐蚀行为的影响 |
| 程琪栋, 王燕华 |
|
Effect of Surface Scratches on Corrosion Behavior of 304 Stainless Steel Beneath Droplets of Solution (0.5 mol/L NaCl+0.25 mol/L MgCl2) |
| CHENG Qidong, WANG Yanhua |
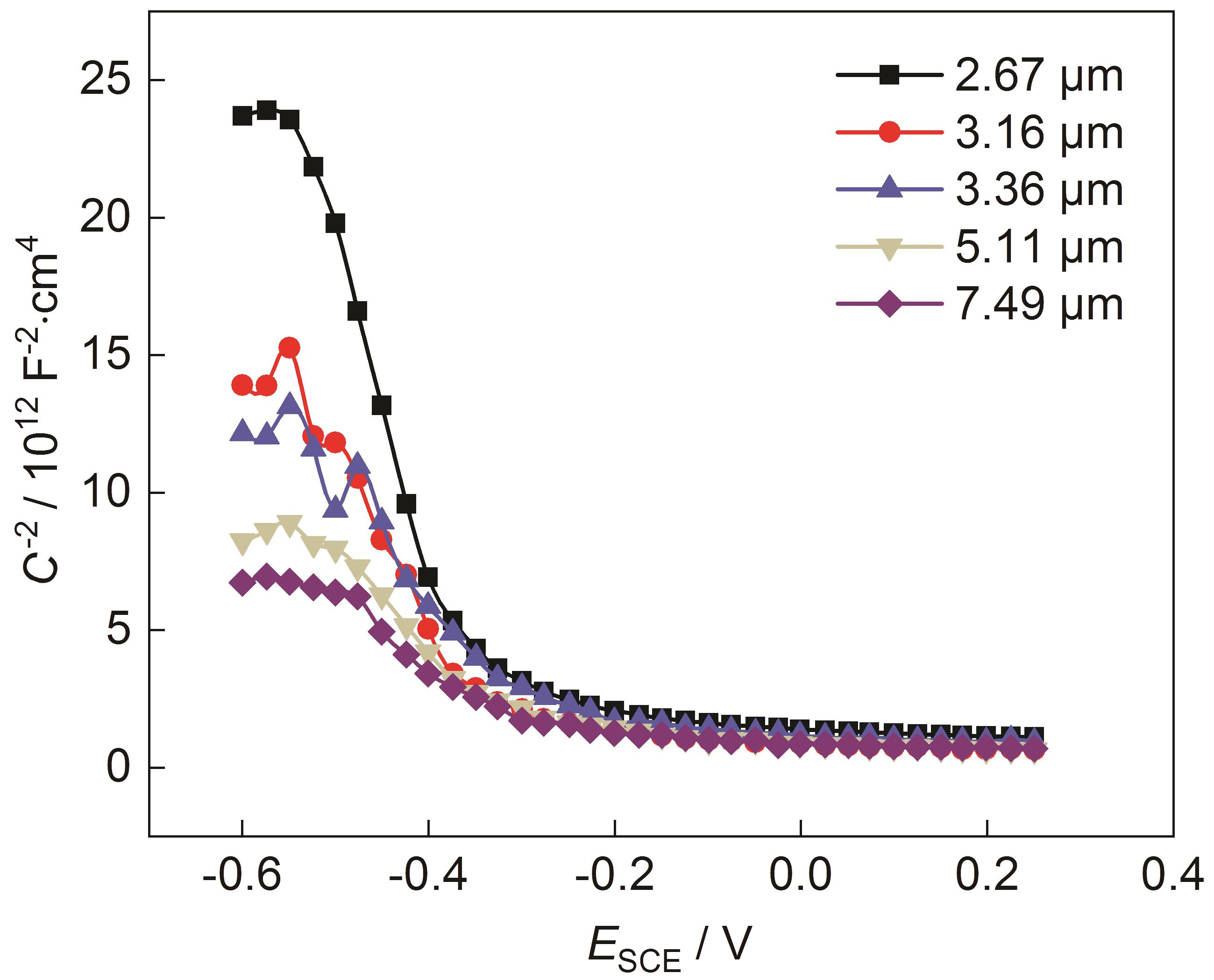
| 图3 不同粗糙度的不锈钢表面的Mott-Schottky曲线 |
| Fig.3 Mott-Schottky curves of 304 stainless steel with different roughness |
|