深海压力-流速耦合环境对环氧玻璃鳞片涂层失效行为的影响 |
高浩东, 崔宇, 刘莉, 孟凡帝, 刘叡, 郑宏鹏, 王福会 |
Influence of Simulated Deep Sea Pressured-flowing Seawater on Failure Behavior of Epoxy Glass Flake Coating |
GAO Haodong, CUI Yu, LIU Li, MENG Fandi, LIU Rui, ZHENG Hongpeng, WANG Fuhui |
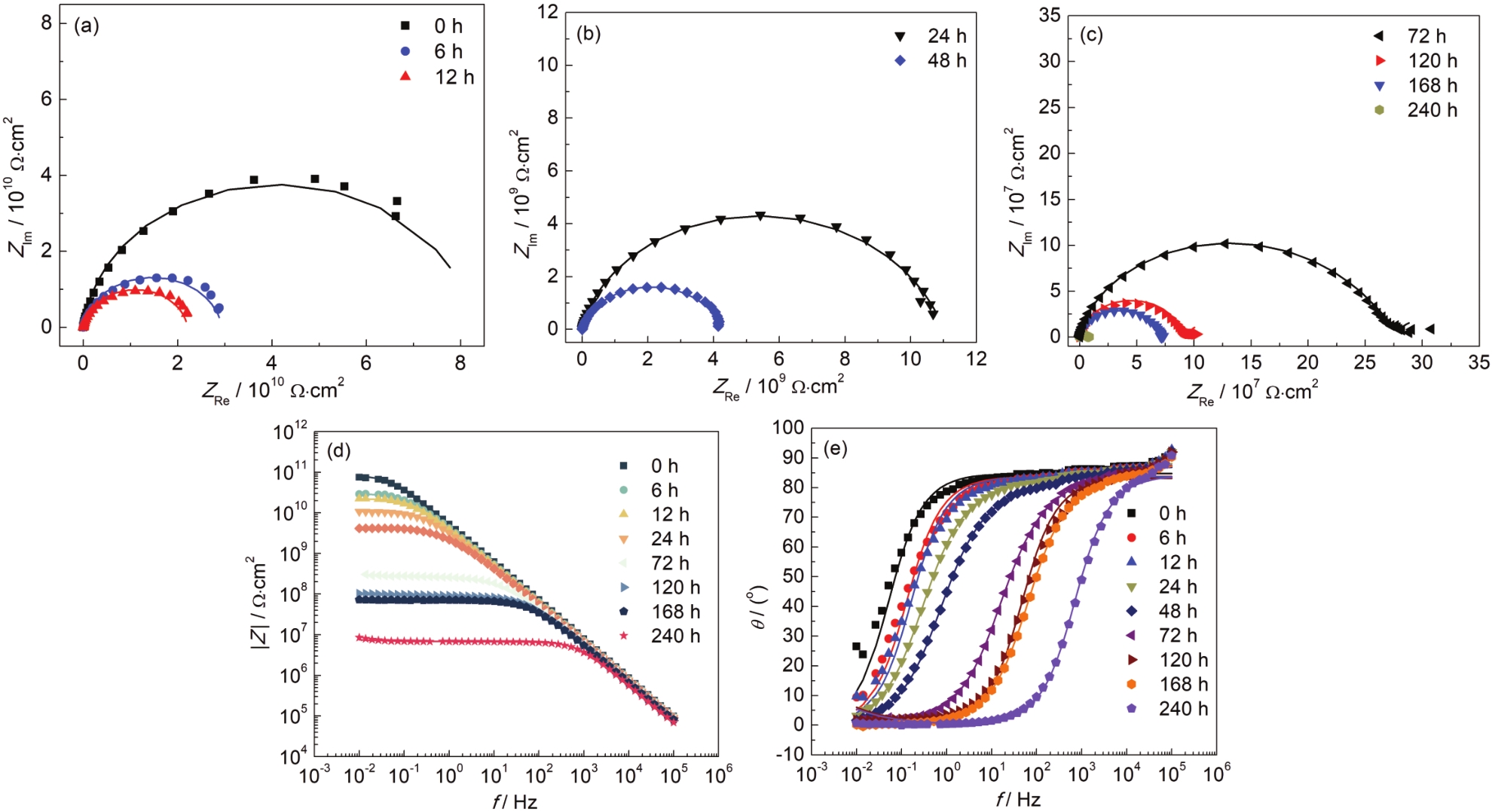
图8 压力-流速耦合环境下涂层/金属样品的电化学阻抗谱 |
Fig.8 Nyquist (a~c) and Bode (d, e) plots of the coating/steel system immersed in 10 MPa-4 m/s |
![]() |