高铁动态交流干扰下管道钢的腐蚀行为试验研究 |
| 邓佳丽, 闫茂成, 高博文, 张辉 |
|
Corrosion Behavior of Pipeline Steel Under High-speed Railway Dynamic AC Interference |
| DENG Jiali, YAN Maocheng, GAO Bowen, ZHANG Hui |
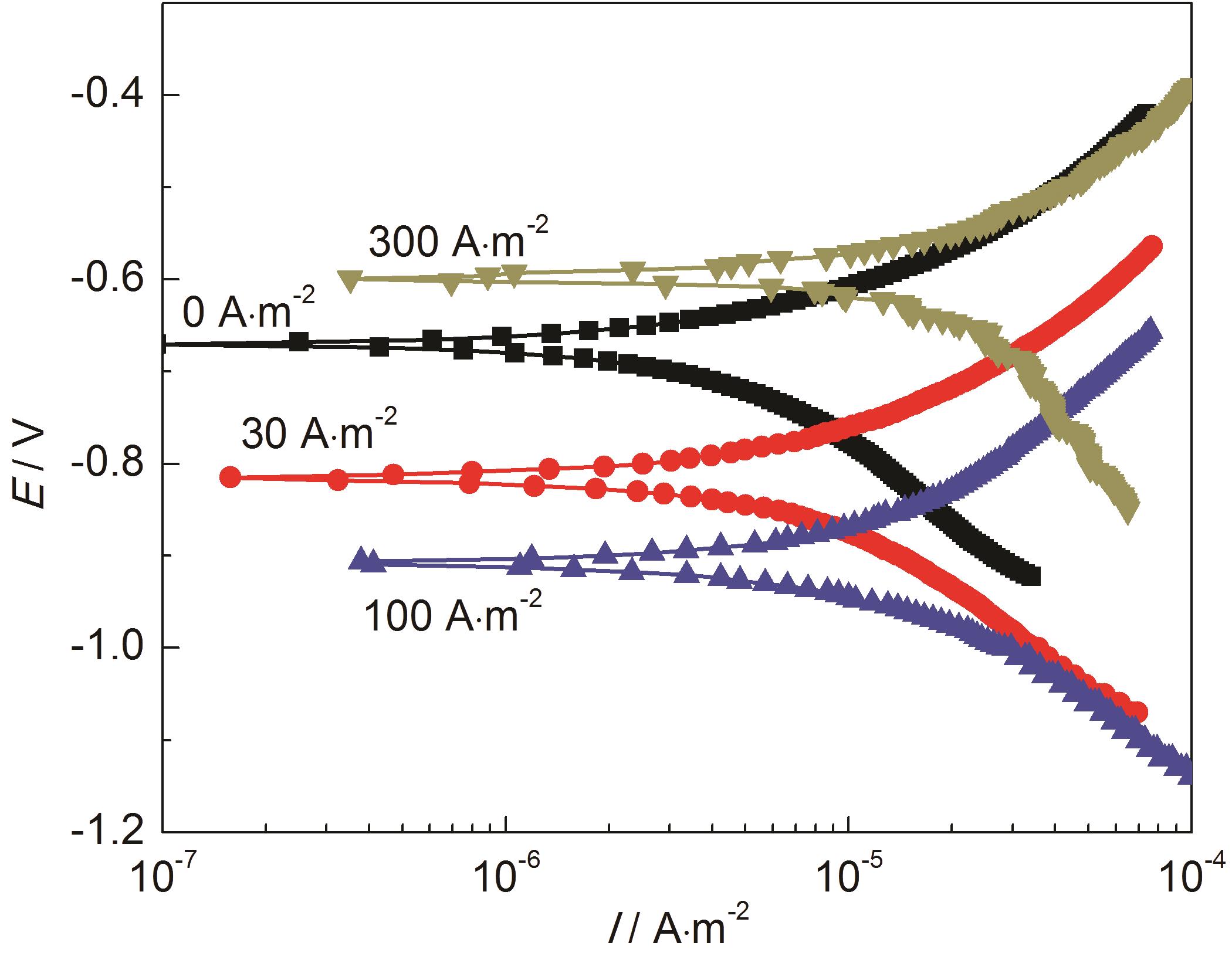
| 图3 试样在不同交流电流密度干扰水平下的极化曲线 |
| Fig.3 Polarization curves of samples under different AC interference level |
|