5083铝合金与30CrMnSiA钢在不同Cl-浓度中电偶腐蚀行为的研究 |
| 刘泉兵, 刘宗德, 郭胜洋, 肖毅 |
|
Galvanic Corrosion Behavior of 5083 Al-alloy and 30CrMnSiA Steel in NaCl solutions |
| LIU Quanbing, LIU Zongde, GUO Shengyang, XIAO Yi |
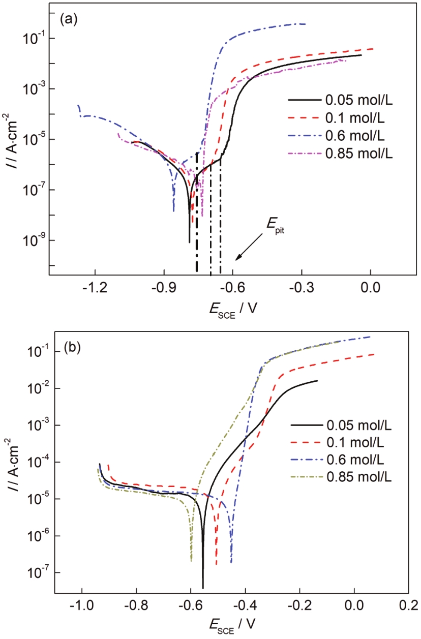
| 图6 5083铝合金和30CrMnSiA钢在不同Cl-浓度溶液中的动电位极化曲线图 |
| Fig.6 Potentiodynamic polarization cures of 5083Al-alloy (a) and 30CrMnSiA steel (b) in NaCl solutions with different concentrations |
|