Ce(NO3)2浓度及硅酸盐封孔处理对高铁枕梁用Mg-Zn-Y-Ca合金表面钙系磷化膜的影响 |
周殿买, 姜磊, 王美婷, 梁洪嘉, 肖云龙, 郑黎, 于宝义 |
Effects of Ce(NO3)2 Concentration and Silicate Sealing Treatment on Calcium Phosphating Film on Surface of Mg-Zn-Y-Ca Alloy for High Speed Railway Corbel |
ZHOU Dianmai, JIANG Lei, WANG Meiting, LIANG Hongjia, XIAO Yunlong, ZHENG Li, YU Baoyi |
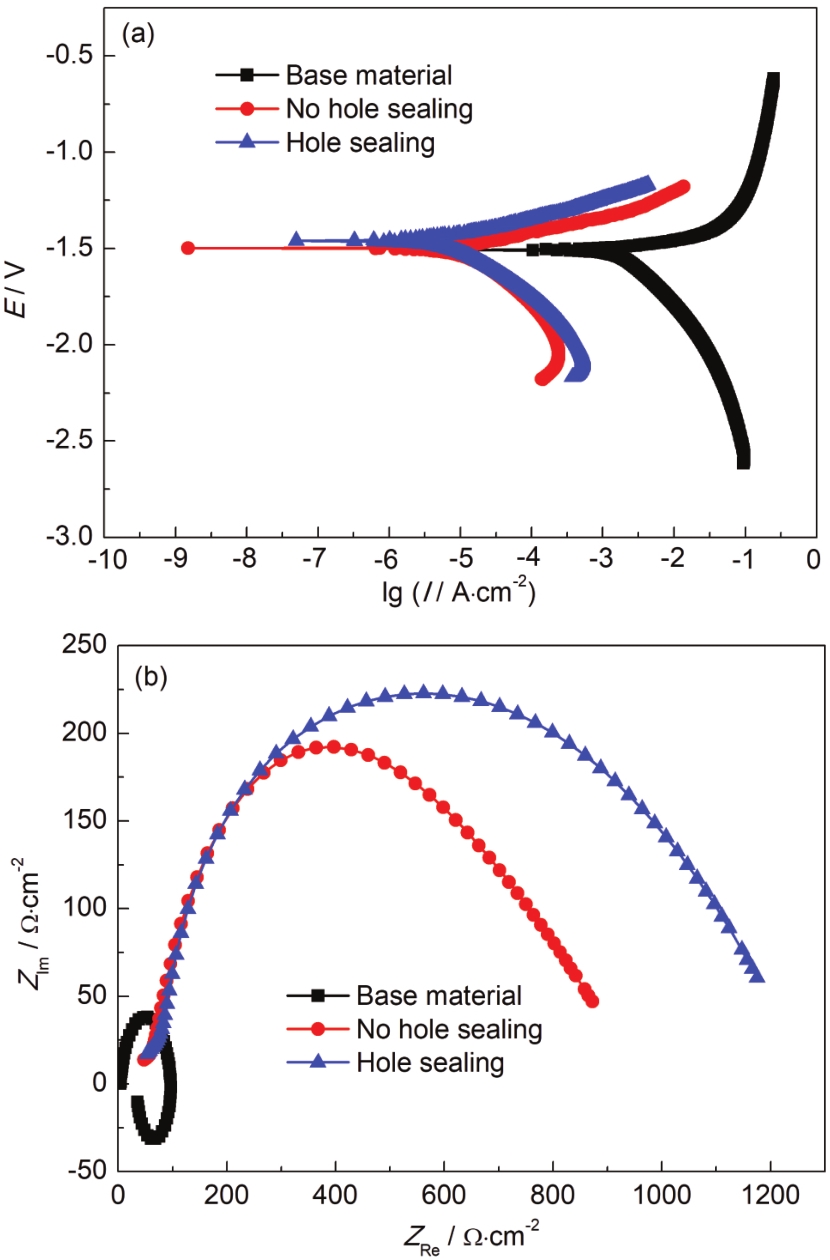
图11 不同钙系磷化工艺后试样的极化曲线及电化学阻抗谱 |
Fig.11 Polarization curves (a) and EIS (b) of samples after different calcium phosphating processes |
![]() |