表面状态对TC4钛合金的耐蚀性影响 |
| 刘星, 冉斗, 孟惠民, 李全德, 巩秀芳, 隆彬 |
|
Effect of Surface State on Corrosion Resistance of TC4 Ti-alloy |
| LIU Xing, RAN Dou, MENG Huimin, LI Quande, GONG Xiufang, LONG Bin |
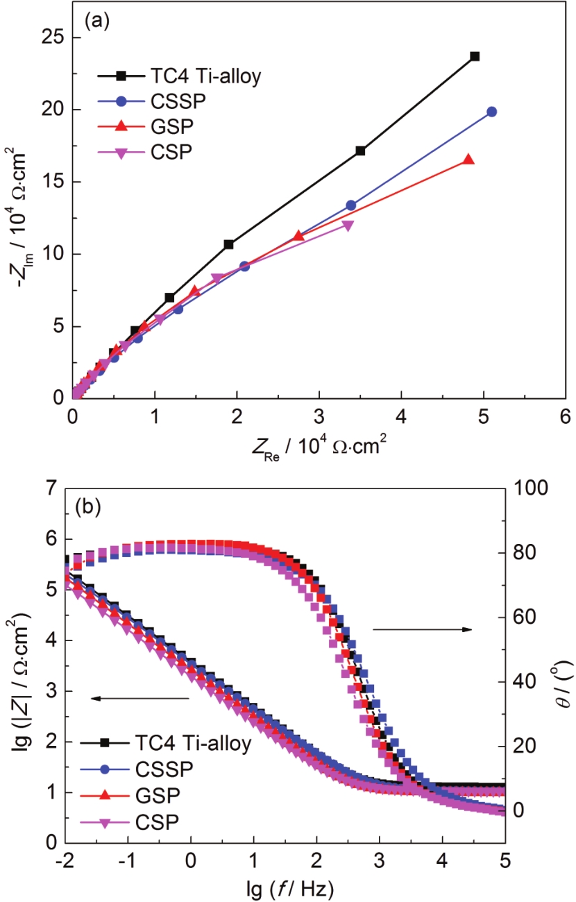
| 图7 未处理的TC4钛合金及喷丸处理TC4钛合金在3.5%NaCl溶液中的电化学阻抗谱 |
| Fig.7 Nyquist (a) and Bode (b) plots of TC4 Ti-alloy without and with CSSP, GSP and CSP treatment in 3.5%NaCl solution |
|