硝酸钝化对304不锈钢在模拟混凝土孔隙液中点蚀的临界Cl-浓度的影响 |
| 安易强, 王昕, 崔中雨 |
|
Effect of Nitric Acid Passivation on Critical Cl- Concentration for Corrosion of 304 Stainless Steel in Simulated Concrete Pore Solution |
| AN Yiqiang, WANG Xin, CUI Zhongyu |
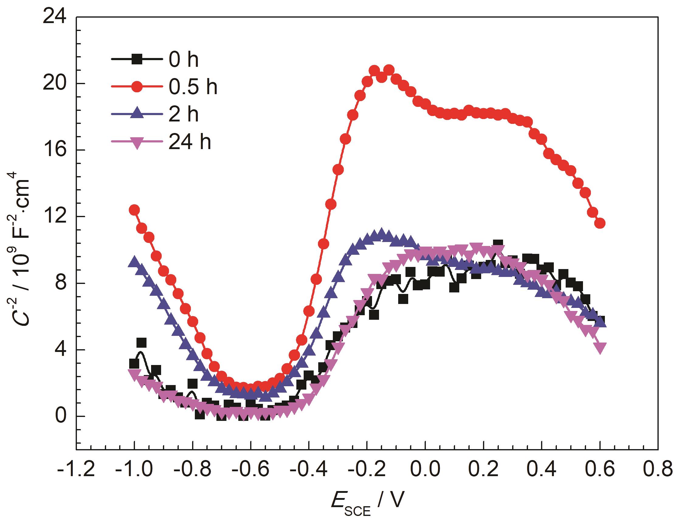
| 图5 304不锈钢不同钝化处理的Mott-Schottky测试结果 |
| Fig.5 Mott-Schottky plots of 304 stainless steel in Cl--free simulated concrete pore solution after passivation for different time |
|