成品油输送管道微生物腐蚀案例分析 |
| 张斐, 王海涛, 何勇君, 张天遂, 刘宏芳 |
|
Case Analysis of Microbial Corrosion in Product Oil Pipeline |
| ZHANG Fei, WANG Haitao, HE Yongjun, ZHANG Tiansui, LIU Hongfang |
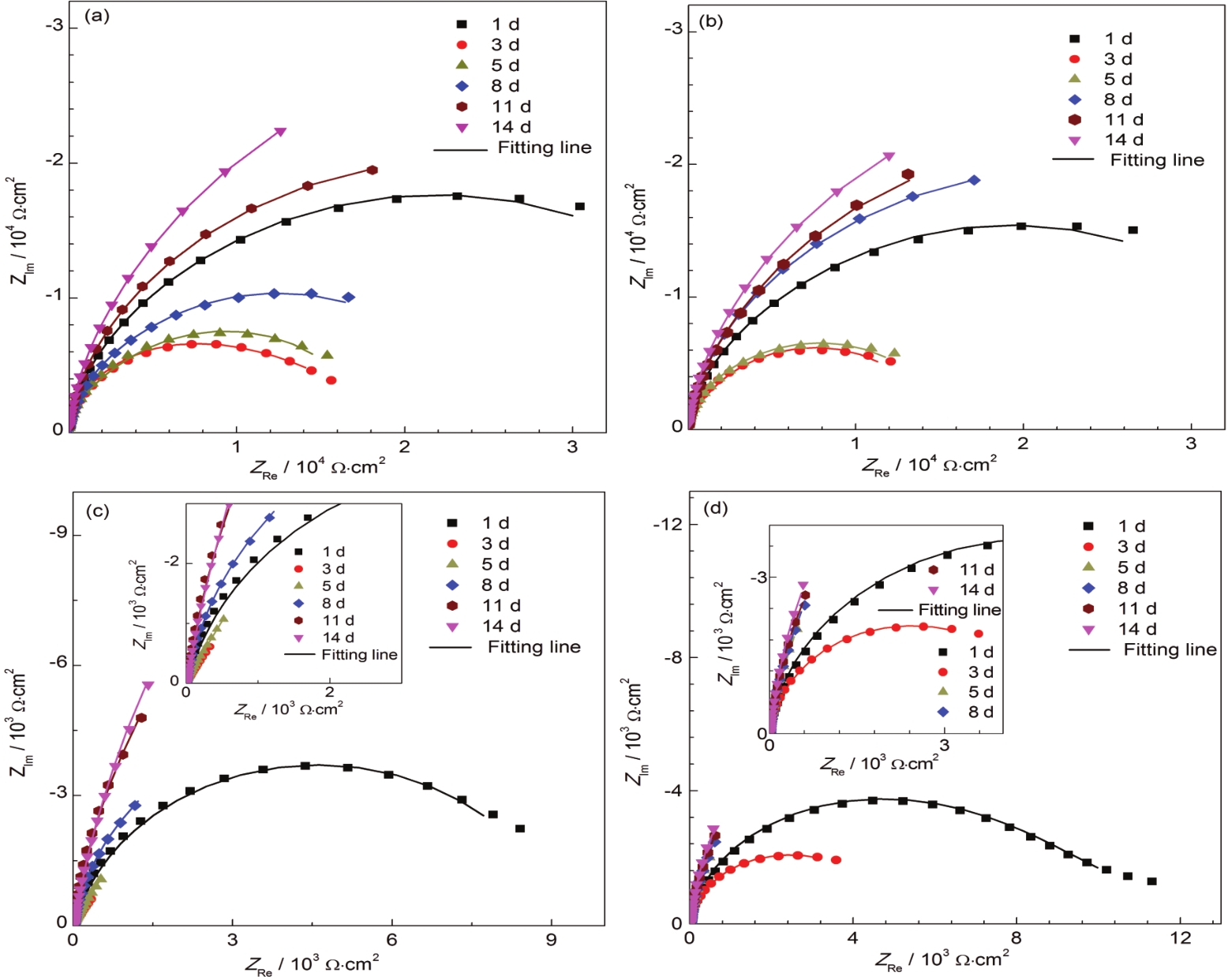
| 图3 X60钢试样在4种不同测试体系中的电化学阻抗谱 |
| Fig.3 Nyquist (a, b) and Bode (c, d) plots of X60 carbon steel in four different test systems: (a) medium, (b) medium contains oil, (c) SRB solution, (d) SRB solution contains oil |
|