温度影响席夫碱缓蚀剂吸附的机理研究 |
| 胡慧慧, 陈长风 |
|
Mechanism of Temperature Influence on Adsorption of Schiff Base |
| HU Huihui, CHEN Changfeng |
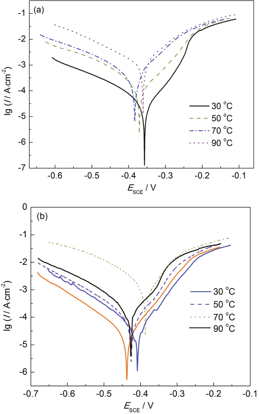
| 图5 N80钢在不同温度下添加BB-S和B-S缓蚀剂的极化曲线 |
| Fig.5 Polarization curves of N80 steel in 0.5 mol·L-1 HCl solutions containing B-S (a) and BB-S (b) inhibitors at different temperatures |
|