温度影响席夫碱缓蚀剂吸附的机理研究
胡慧慧, 陈长风

Mechanism of Temperature Influence on Adsorption of Schiff Base
HU Huihui, CHEN Changfeng
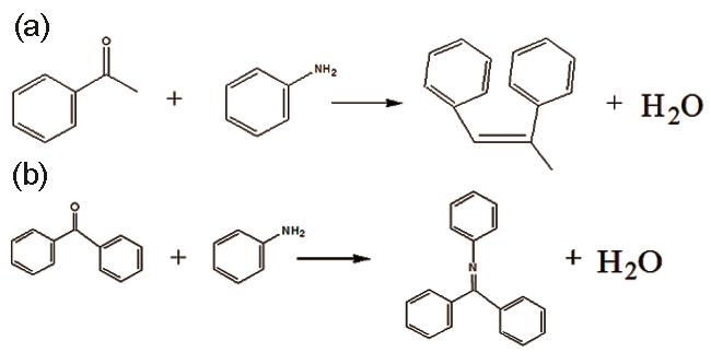
图1 两种缓蚀剂的合成反应
Fig.1 Synthesis of B-S (a) and BB-S (b) corrosion inhibitors