9C系列粉末冶金高耐蚀铝合金腐蚀行为研究 |
| 房豪杰, 曲华, 杨黎晖, 曾庆亚, 王丽丹, 袁宁, 侯保荣, 曹立新, 袁迅道 |
|
Corrosion Behavior of 9C Series of Powder Metallurgy Al-alloy with High Corrosion Resistance |
| FANG Haojie, QU Hua, YANG Lihui, ZENG Qingya, WANG Lidan, YUAN Ning, HOU Baorong, CAO Lixin, YUAN Xundao |
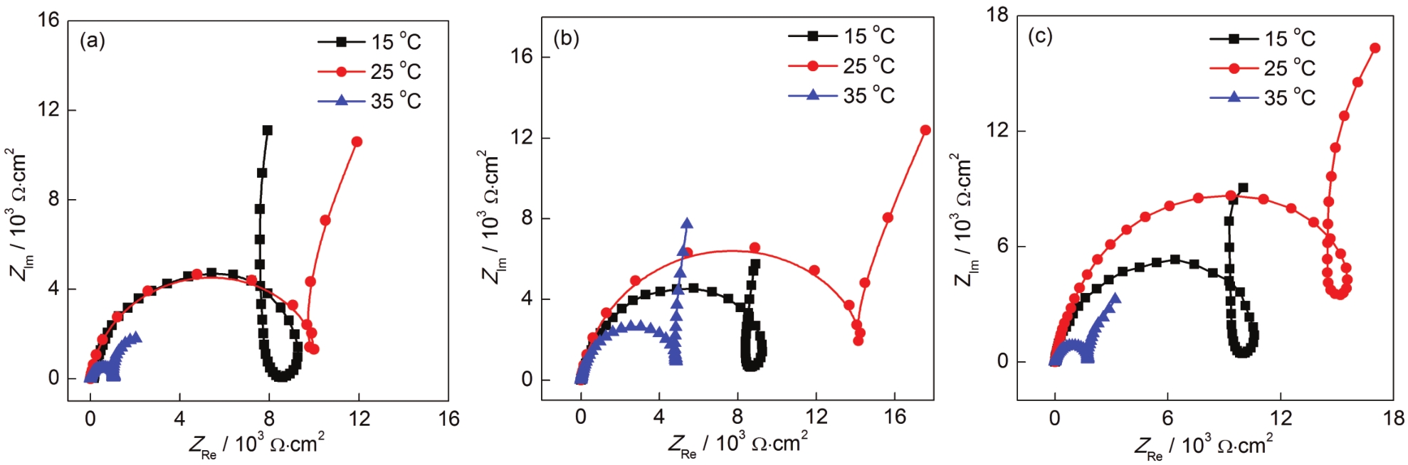
| 图6 3种铝合金在pH8.3不同温度模拟海水溶液Nyquist谱 |
| Fig.6 Nyquist plots of 9C34 (a), 9C37 (b) and 5083 (c) Al-alloy in simulated seawater with pH8.3 at different temperatures |
|