HCO3-对X90管线钢应力腐蚀行为的影响 |
| 宫克, 吴明, 张胜 |
|
Effect of HCO3- on Stress Corrosion Cracking Behavior of X90 Pipeline Steel |
| GONG Ke, WU Ming, ZHANG Sheng |
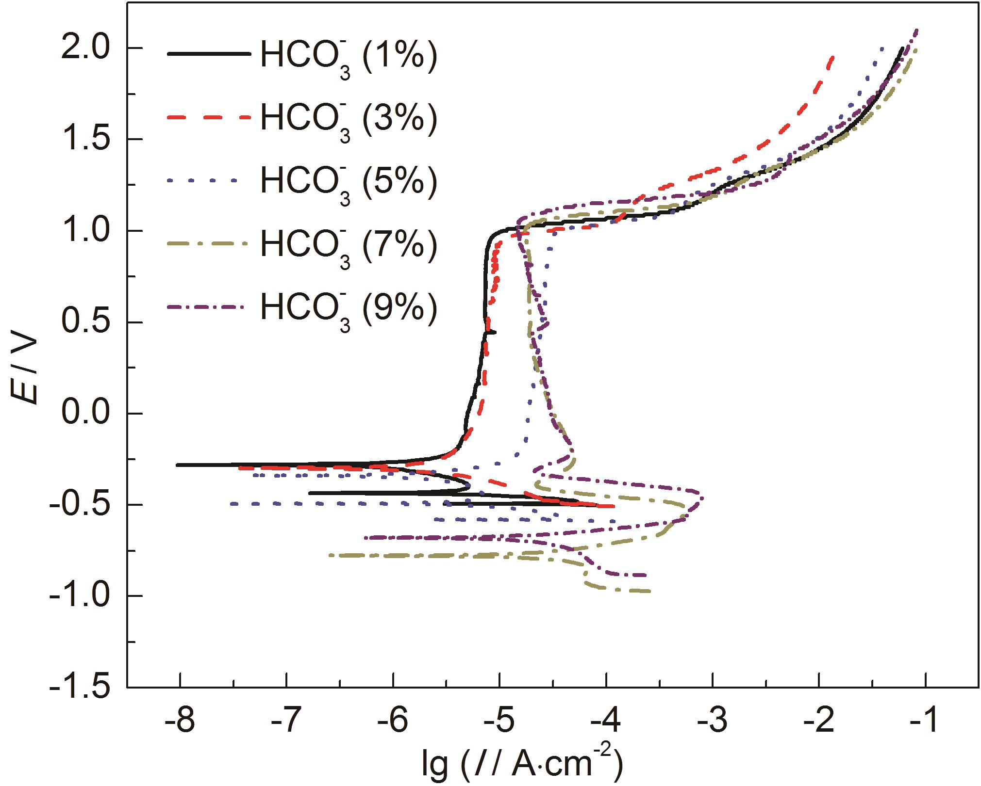
| 图1 X90管线钢在不同浓度HCO3-下的极化曲线 |
| Fig.1 Polarization curves of X90 pipeline steel with differ-ent concentrations of HCO3- |
|