等离子喷涂FeCrMoCBY铁基非晶涂层耐蚀性研究 |
| 吴林涛, 周泽华, 张欣, 杨光恒, 张凯城, 王光宇 |
|
Long-term Corrosion Resistance of Plasma Sprayed FeCrMoCBY Fe-based Amorphous Coating in 3.5%NaCl Solution |
| WU Lintao, ZHOU Zehua, ZHANG Xin, YANG Guangheng, ZHANG Kaicheng, WANG Guangyu |
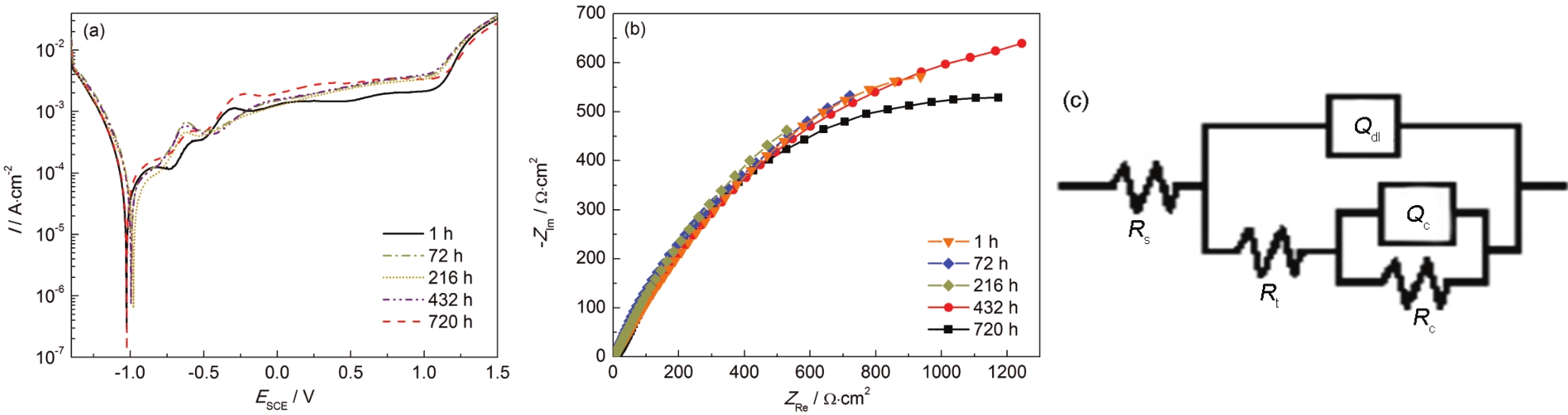
| 图3 经过不同浸泡时长后涂层的Tafel极化曲线和EIS谱及拟合电路模型 |
| Fig.3 Tafel polarization curves (a) and EIS patterns (b) of coatings under different immersion periods impedance spectrum fitting circuit model (c) |
|