组织配分对双相不锈钢微区极化行为及点蚀抗性的影响 |
| 汪毅聪, 胡骞, 黄峰, 刘静 |
|
Effect of Microstructure Partition on Micro-polarization Behavior and Pitting Resistance of Duplex Stainless Steel |
| WANG Yicong, HU Qian, HUANG Feng, LIU Jing |
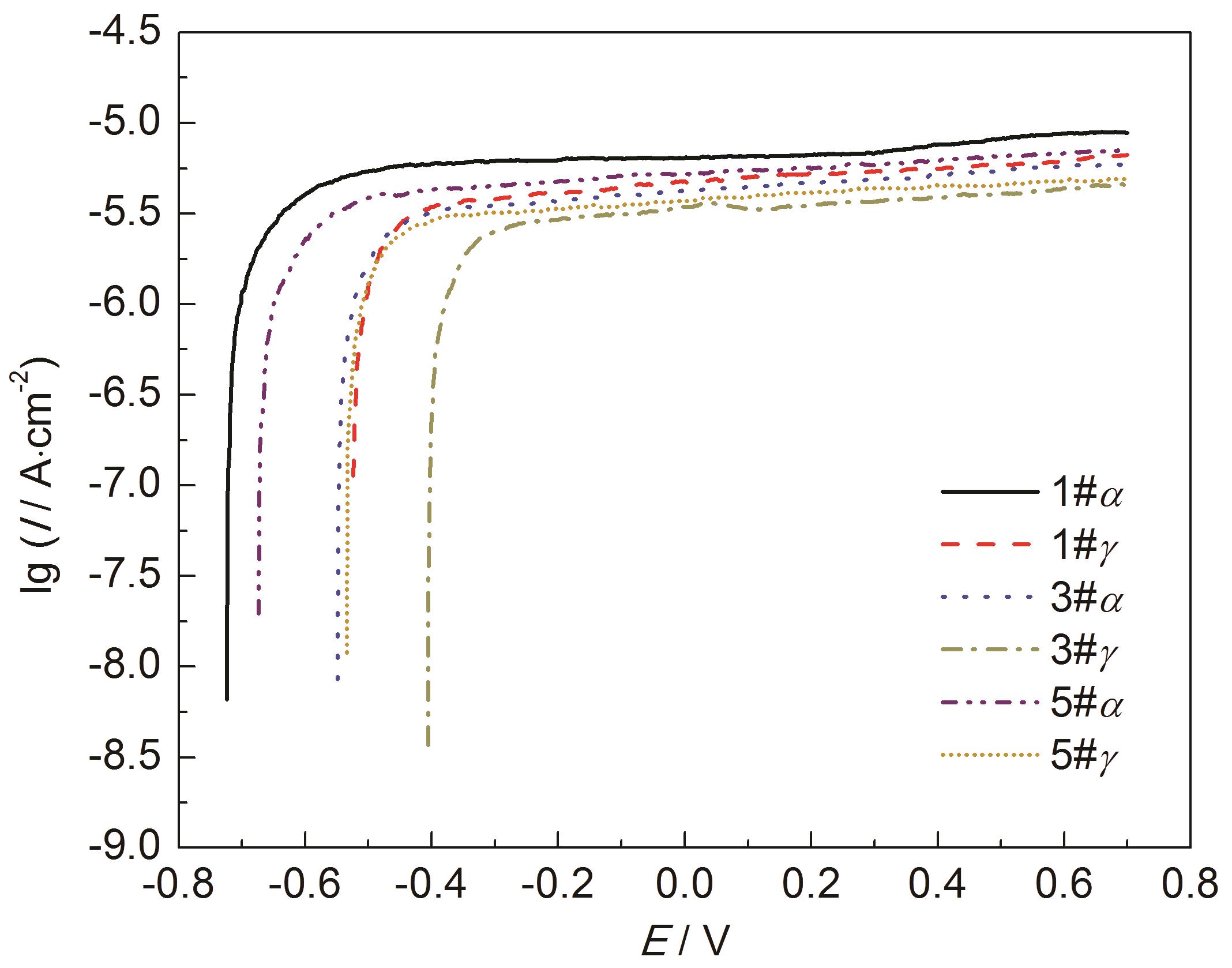
| 图6 1#、3#和5#试样中两组成相上的微区极化曲线 |
| Fig.6 Micro-potentiodynamic polarization of single phases of 1#, 3# and 5# |
|