中国腐蚀与防护学报(中文版)  2018 , 38 (5): 487-494 https://doi.org/10.11902/1005.4537.2017.155

研究报告

高温状态下锅炉给水氧化还原电位监测与模拟实验研究

乔越, 朱志平, 杨磊, 刘志峰

长沙理工大学化学与生物工程学院 电力与交通材料保护湖南省重点实验室 长沙 410004

Monitoring and Simulated Experiments of Oxidation-Reduction Potential of Boiler Feedwater at High Temperatures

QIAO Yue, ZHU Zhiping, YANG Lei, LIU Zhifeng

Hunan Provincial Key Laboratory of Materials Protection for Electric Power and Transportation, School of Chemistry and Biological Engineering, Changsha University of Science and Technology, Changsha 410004, China

中图分类号:  TG172.4

文章编号:  1005-4537(2018)05-0487-08

通讯作者:  通讯作者 朱志平,E-mail:zzp8389@163.com,研究方向为锅炉水化学及金属的腐蚀与防护等

收稿日期: 2017-09-27

网络出版日期:  2018-11-05

版权声明:  2018 《中国腐蚀与防护学报》编辑部 《中国腐蚀与防护学报》编辑部

基金资助:  湖南省科技计划重点项目 (2013GK2016) 和湖南省研究生科研创新项目 (CX2017B488)

作者简介:

作者简介 乔越,男,1992年生,硕士生

展开

摘要

通过实验室动态模拟给水实验,研究了氧化还原电位 (ORP) 与溶氧量、pH值、温度、流速的关系,并提出ORP经验计算式。结果表明,水溶液体系ORP随溶氧量的增大而增大,随pH值及温度的升高而减小,且受流速影响较小。相对于常温ORP测量,高温ORP信号有灵敏度高、精确性好的特点,能够实现对痕量溶氧的有效测量。在电厂实际运行中,可根据高温在线ORP监测结果,结合金属电位-pH值图判断金属腐蚀倾向,进而优化给水ORP。

关键词: 氧化还原电位 ; 溶氧量 ; pH值 ; 20#碳钢 ; 高温给水环境

Abstract

Oxidation reduction potential (ORP) measurement can be an effective means for maintaining the state of feedwater for power station to be oxidizing, neutral, or reducing. In order to investigate the characteristics of ORP and its correlation with metal corrosion in high temperature water, a series of experiments including electrochemical measurement and simulated corrosion experiment were carried out. The results show that the ORP increases with the increase of dissolved oxygen content, while decreases with the increase of pH and temperature. Besides the flow rate has no effect on the ORP. It follows that ORP measurements for high-temperature and -pressure waters, as compared to the ones for low-temperature ORP waters, can act as a more sensitive and accurate method to effectively detect the trace amount of dissolved oxygen. In summary, ORP measurements can be used to understand, monitor and control the corrosion of steels in feedwater.

Keywords: oxidation reduction potential ; dissolved oxygen content ; pH value ; 20# carbon steel ; high-temperature feedwater environment

0

PDF (1671KB) 元数据 多维度评价 相关文章 收藏文章

本文引用格式 导出 EndNote Ris Bibtex

乔越, 朱志平, 杨磊, 刘志峰. 高温状态下锅炉给水氧化还原电位监测与模拟实验研究[J]. 中国腐蚀与防护学报(中文版), 2018, 38(5): 487-494 https://doi.org/10.11902/1005.4537.2017.155

QIAO Yue, ZHU Zhiping, YANG Lei, LIU Zhifeng. Monitoring and Simulated Experiments of Oxidation-Reduction Potential of Boiler Feedwater at High Temperatures[J]. Journal of Chinese Society for Corrosion and Protection, 2018, 38(5): 487-494 https://doi.org/10.11902/1005.4537.2017.155

氧化还原电位 (ORP) 是指由贵金属 (Pt或Au) 指示电极、标准参比电极和被测溶液组成的测量电池的电动势[1],是溶液氧化性或还原性相对程度的表征。目前,国内电厂ORP测量主要应用于水的膜处理中加氯和除氯过程的监测,废水处理中氧化性物质或还原性物质的识别。国外核电站则将其作为一种有效的水汽循环系统腐蚀监测手段,用于控制沸水堆 (BWR)、压水堆 (PWR) 一回路的加氢水化学 (HWC) 和PWR二回路的加氧水化学[2,3,4]。特别是在HWC中,ORP可反映系统痕量O2和H2的相对含量,判断蒸汽发生器等应力腐蚀开裂 (SCC) 易发部位的材料腐蚀倾向。在美国、日本等国家的火电厂中,通过对凝结水出口、除氧器进出口和省煤器入口等位点水样进行原位ORP监测,采用PID自动控制氧化剂/还原剂的加药量,控制凝结水-给水系统的腐蚀[5,6,7,8,9,10]。受限于高温高压在线ORP监测技术对电极材料要求严格、现有监测设备价格高昂等问题,该技术在国内电厂并未取得大规模的应用。

随着我国火电的迅猛发展,高参数、大功率机组对汽水品质监督和金属腐蚀监控也提出了更加严格的要求。目前,在给水水质监控中需要考虑pH值、O2、氢电导率等众多参数,而这些参数并不能为运行人员提供直观、全面的腐蚀控制全貌,如何通过水质监测指标正确反映热力系统的腐蚀状况并进行控制就显得至关重要。高温高压在线ORP监测技术具有灵敏度高、响应迅速、无需降压限流等特点,能够实时获取水汽循环系统水化学和腐蚀环境原位信息,了解金属材料服役状态、评估设备腐蚀风险、进一步实现水化学自动反馈控制,对电厂安全经济运行有重要意义。因此,发展火电高温高压水环境ORP在线监测技术势在必行。由于高温高压水的特殊环境,目前国内关于高温ORP原位测量开展的研究工作较少,数据积累不足,还无法做到根据监测信号判断发生的腐蚀类型,也无法实现对腐蚀过程的定量评价。本文通过实验室模拟实验,考查溶氧量 (DO)、pH值、流速、温度等因素与ORP的关系,并采用电化学方法研究20#碳钢在模拟给水环境下的腐蚀特性,分析ORP与金属腐蚀的关系,为高温高压水环境ORP监测提供理论依据。

1 实验方法

1.1 仪器及试剂

为模拟电厂给水管路实际运行环境,在实验室中建立动态模拟装置进行实验。该装置由溶液箱、循环泵、流量计、阀门、密闭测量池、加热器、电极和测量仪表等组成,系统如图1所示。模拟装置最高工作压力3 MPa,最高工作温度150 ℃。实验主要测量仪器为CST500型电位测定记录仪,PHS-3C型pH计,哈希9582溶氧分析仪 (精度0.5 μg),CHI660D电化学工作站。常温电极包括雷磁218型Ag/AgCl参比电极、10 mm×10 mm×0.2 mm Pt电极。高温高压电极为美国CORR仪器公司生产的外压平衡式Ag/AgCl参比电极和Pt对电极,材质为C276合金。实验用水为高纯水 (18.25 MΩ·cm),因模拟水化学溶液为净水体系,参比电极溶液均采用0.1 mol/L的KCl溶液。实验所用主要试剂有KOH,KCl,HNO3,HCl,醌氢醌等 (分析纯)。

图1   动态模拟测量试验装置

Fig.1   Dynamic simulating apparatus for ORP measurementat high temperature

1.2 实验步骤

实验介质为实验室配置的模拟不同给水化学工况溶液。因氨水具有易挥发性,通氮除氧过程对溶液pH值的精确控制有一定影响,本实验采用NaOH作为溶液pH值调节碱化剂。

ORP测量实验在模拟装置中进行。实验前,先将装置及电极清洗干净,固定安装两电极系统,并检查装置气密性。电极的清洗及校正参照DL/T 1480。Pt电极依次使用硝酸 (质量分数约50%) 和水洗净后,利用醌氢醌标准溶液校验电极电位[11]。然后,将配置好的体积为2 L的溶液加入溶液箱,通入N2除氧,启泵循环后利用溶氧仪进行测定,待溶氧稳定到期望值 (±2 μg/L) 后停止通氮。打开加热器,加热至设定恒温 (±1 ℃)。实验过程中,通过调节溶液箱出液口阀门的开度控制溶液循环流速。最后,待电位测定仪示值稳定后,读取记录溶液ORP值。同一条件下进行多次重复实验,直至3次ORP测量示值偏差的绝对值不超过5 mV,取平均值记录。所得ORP测量值与参比电极相对于氢电极的电位值之和即为标准电位E(SHE)。本文通过下式将所测高温电位转换为25 ℃下标准氢电极电位[12]

ESHE=Eobs+Eref+ 3×10-6×T-T03-0.0025×T-T02-0.759×T-T0(1)

式中,ESHE为相对氢电极的氧化还原电位,mV;Eobs为所用参比电极实测的氧化还原电位,mV;Eref为所用参比电极25 ℃下相对氢电极的电位,mV;T为所测体系温度,℃;T0为常温 (25 ℃)。

选用炉前系统典型金属材料20#碳钢进行腐蚀实验研究。将暴露面积为10 mm×10 mm的20#碳钢工作电极固定安装于图1所示的密闭装置,在模拟溶液环境下腐蚀40 d,每间隔1 d测量溶液ORP和碳钢金属电位 (ECP)。实验环境温度为恒温80 ℃,初始pH值9.0,DO100 μg/L,流速100 mL/min。

2 结果与讨论

2.1 ORP影响因素考查

火电厂给水中存在多个氧化还原过程,如O2/OH-,Fe/Fe3+等,但由于给水水质受到了严格控制,氢电导率不超过0.15 μS/cm,Fe2+含量也低于10 μg/L。其它电对的氧化还原过程相对于O2/OH-很弱,在给水中对ORP的影响较小。水的ORP测量影响因素除了DO外,主要有pH值、温度、各电对反应性质和电极表面状态等[13,14]。本文主要研究了DO、pH值、温度和流速对ORP的影响。

2.1.1 溶解氧浓度与ORP关系 根据电厂水汽取样分析装置主要技术指标,选取温度为25,35和45 ℃,流速为500 mL/min,模拟常规汽水取样条件下ORP监测情况。测得pH值为 (9.00±0.05) 的NaOH溶液的ORP随DO变化如图2所示。由图可见,ORP随溶解氧浓度的增大呈现正向增大的趋势。结果符合O2/OH-电对的Nernst方程,O2为氧化性物质,其浓度越大ORP越正。分析图2可知,在3个不同温度下,ORP随DO变化趋势一致,在DO为0~0.5 mg/L的低浓度范围内,ORP随DO增大而迅速增大。当DO大于1.0 mg/L时,ORP增加幅度减小。

图2   不同温度下ORP随DO变化曲线

Fig.2   Effect of oxygen concentration on ORP at various temperatures

图3是ORP随lgDO的变化曲线。对25 ℃下测量结果作线性拟合,在DO为0~0.5 mg/L的范围内,曲线满足ESHE=283.14+15.78 lgDO的函数关系,相关系数R2为0.9884。由此可见,在低氧浓度下,ORP与lgDO有一定的线性关系。在模拟溶液中,Na+不参与氧化还原过程,氧化还原电对O2/OH-参与的平衡反应为:

O2(g)+2H2O(l)+4e-4OH- (aq)(2)

其ORP的大小遵循Nernst方程,可得O2/OH-平衡电位的计算公式:

Em=EO2OH-θ+2.303RT4F×lgp(O2)pθ-2.303RTF×pH+0.8288(3)

式中,Em为氧化还原电位,V;Eθ为标准电极电位,V;R为气体常数,8.314 J·mol-1·K-1;T为热力学温度,K;F为Faraday常数,9.64845×104 C·mol-1; p(O2)为氧的绝对压力,kPa;pθ为标准大气压,101.325 kPa。

图3   不同温度下ORP与lgDO的关系

Fig.3   Relationships of ORP and lgDO at various temperatures

根据Henry定律,在稀溶液中,O2在液面上的分压力可用下式求得:

pB=kc,b×cB(4)

式中,PB为该气体B在液面上的分压力,kPa;kc,b为Henry定律常数;cB为气体的物质的量浓度,mol/m3

25 ℃下, EO2OH-θ=0.4009 V,kc,B=7.8532×10-1 atm·mol-1·m3。带入式 (4),计算得:

EO2OH-=1160.6+14.8lgDO-59.2pH(5)

将本实验条件pH值为9.0代入式 (5),得 EO2OH-=627.8+14.8 lgDO。其中,DO单位为μg/L; EO2OH-为电位,mV。由式 (5) 可知,在DO低于0.5 mg/L条件下,理论计算式与实验拟合式中lgDO项的系数大致吻合。但同一溶氧浓度下,水溶液ORP实际测量值远低于理论计算值,如DO为100 μg/L时,ORP测量值为315 mV,计算值为657 mV,相差342 mV。黄茜等[15]认为在贵金属电极表面上的O2/OH-反应是一个极为缓慢的反应,即使在溶氧达到饱和的情况下,ORP也难以达到O2/OH-的平衡电位,因此,测量值远低于计算值。Macdonald[3]研究表明,在275 ℃下模拟BWR水化学溶液中,只有在高碱性 (0.1 mol/L LiOH,pH值为10.45),[O2]≥7 mg/L的条件下,ORP测量值与计算值有良好的一致性,其它情况下都要远远小于理论值,差值约为300 mV。其认为一方面是由于Pt电极存在极微弱的O2的氧化污染,测得电位为Pt的氧化与O2的还原过程的混合电位。另一方面,随着水环境pH值及O2浓度的增大,氧气还原反应中正逆反应的交换电流密度增大,而Pt电极氧化过程交换电流密度极小,所以氧气电极反应的可逆程度增大,ORP测量值越接近平衡电位。Hoare[16]也指出,在含氧体系中Pt电极不是完全惰性的,在其表面会有极其微弱、缓慢的Pt氧化过程的发生。

模拟火电厂低压加热器典型温度和水化学环境,在80,100,120 ℃下进行ORP测量,所得pH值为9.0的NaOH溶液ORP随DO变化关系曲线如图4所示。可以看出,高温下ORP与溶氧浓度的对数也呈正相关的关系。表1列出了ORP与lgDO的线性拟合式与其相关系数R 2。在0~1 mg/L的溶氧浓度范围内,ORP随着温度的升高而降低,且随着温度的升高,曲线斜率正向增大。结合式 (5) Nernst方程可知,系数RT/nF决定了ORP-lgDO的斜率,温度越高,斜率越大,测量结果与理论预测一致。由于缺少部分高温电极过程动力学基础参数,对高温ORP进行精确计算存在一定困难。与本实验结果类似的,Niedrach等[17]也研究得到了高温下电位与lgDO的线性经验拟合式,证明DO在一定浓度范围条件下,ORP与lgDO可用线性关系式表达。对比高温与常温测量结果,高温下ORP对痕量溶氧的变化波动更大,如10~100 μg/L的DO变化,对应常温下ORP波动为16 mV,100 ℃下为76 mV,波动明显。近年来,国内电厂已多次发生因氧化皮剥落、堆积、堵塞造成爆管等事故[18],过热器和再热器蒸汽侧氧化皮生成与剥落问题受到重视。作为可能的影响因素之一,给水和蒸汽DO应受到更加严格地监控[19,20],高温ORP在线测量无疑为痕量DO的精确控制提供了一种可行方案。

表1   不同温度下ORP-lgDO线性拟合式

Table 1   Fitting equations of ORP-lgDO at various temperatures

Temperature℃Fitting equation (x : lgDO/μgL-1, z : ORP/mV)R 2
80z =71.72x+114.480.9928
100z =76.45x+89.600.9922
120z =89.62x+38.530.9904

新窗口打开

图4   高温条件下ORP与氧含量对数的关系

Fig.4   Variations of ORP with dissolved oxygen concentration at various temperatures

2.1.2 pH值与ORP关系 图5为25 ℃,500 mL/min流速下,ORP随pH值变化关系曲线。可见,ORP随pH值的增大而逐渐减小。实验结果符合Nernst电位理论,即氧化还原电位通常随着H+活度的增加而增大,随着OH-活度的增加而减小。实验测得在25 ℃下,ORP与pH值线性关系明显,pH值每升高一个单位,ORP降幅约为52 mV。对比式 (5),理论上pH值每增加一个单位,ORP下降59.2 mV,实验结果与理论计算相差不大。

图5   常温下ORP与pH值的关系

Fig.5   Effect of pH on ORP at 25 ℃ in water containing various oxygen concentrations

实验考查了不同温度下ORP与pH值的变化关系,结果如图6所示,拟合式列于表2。可以看出,ORP与pH值变化呈负相关,且具有线性关系。事实上,pH值测量的本质就为H+作用下的电位测量,一定温度下,pH值与对应的电位值可转换成线性关系。对比图5,pH值每增大1个单位,高温下ORP的降幅远大于常温测量结果,其主要是因为ORP受到了温度变化的影响。根据式 (3),ORP-pH曲线的斜率为 -2.303RTFpH(T)pH(25°C),高温pH(T) 对pH(25 ℃) 有下式所示的近似换算关系:

pKw(25°C)pKw(T)=pH(25°C)pH(T)(6)

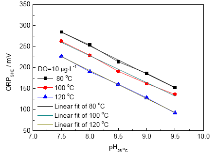
式中,pKw为水的离子积的负对数。计算得100 ℃下,直线理论斜率为-64 mV/pH,实验结果为-71 mV/pH。所以,在温度一定,DO极低的条件下,ORP可反映pH值的大小。在火电厂实际给水pH值控制中,pH值波动范围一般不会超过0.5,但高温下ORP对pH值波动的响应是十分明显的。在溶氧和pH值都波动较大的高温环境下,可采用常温pH值表辅助测量,以明确是否因DO波动而造成电位大幅度变化。

图6   高温下ORP与pH值的关系

Fig.6   Effect of pH on ORP at high temperatures

表2   不同温度下ORP-pH线性拟合式

Table 2   Fitting equations of ORP-pH at various temperatures

Temperature℃Fitting equation (y : pH, z : ORP/mV)R 2
80z =797.46-68.20y0.9954
100z =803.17-70.88y0.9917
120z =789.91-73.52y0.9966

新窗口打开

2.1.3 水样流速与ORP关系 根据火电厂汽水取样测量装置中水样流量一般控制在0~1000 mL/min,考察80 ℃下水样流量对ORP的影响,结果如图7所示。在较低的溶氧浓度下,水样流量变化对ORP造成了轻微的波动,ORP随水流量的增大而正向增加;在较高的溶氧浓度下,水样流量对ORP无影响。Chen等[21]研究表明,受流体动力学条件对金属表面电化学反应极限电流大小的影响,金属电极电位也随流体条件的改变而变化,包括线性流速、雷诺数Re、流体运动粘度、流通直径等。在极低的氧浓度条件下,由于氧的还原为扩散步骤控制的电极过程,反应粒子自溶液本体向电极表面迁移扩散的传质速率取决于流体动力学条件。增加流速降低了扩散层的厚度,增大了传质速率,加速了金属表面物质 (特别是氧化剂) 的电化学反应,导致电位的增大。流速对电位的影响是存在一定争议的,Macdonald等[22]和Eason等[23]则认为流速对电位并没有明显的影响。在本实验结果中,水流速对痕量溶氧下的水溶液ORP测量只有轻微影响。但在电厂其它ORP仪表使用环境中,如对加氯和除氯过程监测,氧化还原反应过程、ORP测量值与流体动力学条件的关系仍有待研究。考虑到ORP很难用计算方法加以校正,在实际测量中应当预先选定恰当的水样流速范围。

图7   80 ℃下ORP随水样流量变化趋势图

Fig.7   Variations of ORP with flow of water containing various oxygen concentrations at 80 ℃

2.1.4 温度与ORP关系 图8是ORP随温度的变化曲线。可见,ORP随温度的升高而逐渐降低。温度不仅影响Nerest方程中的T,还可以影响电子转移数和氧化剂还原剂浓度,从而也影响对数项的大小。同时,氧化还原电对O2/OH-电极反应的标准电极电势也随温度的升高而降低,且并非遵从简单的线性关系[24]。所以,ORP的测量值难以进行温度补偿,应避免被测体系温度有较大的波动。

图8   ORP与温度的关系

Fig.8   ORP as a function of temperature in water containing 10 μgL-1 oxygen (DO=10 μg/L, pH=9.0)

2.2 ORP经验拟合式

根据式 (3),在一定温度下,ORP与lgDO、pH值符合简单的二元一次方程。由表1和2拟合式,利用Mathmatica软件得三者关系如图9所示。在pH值为7~9.5,溶氧浓度为0~1 mg/L的范围内,本实验所得ORP经验拟合式列于表3

图9   不同温度下ORP与DO、pH值的关系

Fig.9   ORP as a function of dissolved oxygen and pH at various temperatures

表3   不同温度下ORP-DO-pH线性拟合式

Table 3   Fitting equations of ORP-DO -pH at various temperatures

Temperature ℃Fitting equation (x : lgDO/μgL-1; y: pH; z : ORP/mV)
80z =71.72x-68.20y+728.2
100z=76.45x-70.88y+720.5
120z =89.62x-73.52y+700.2

新窗口打开

为检验计算式是否与实验结果具有良好的一致性,利用SPSS软件中Wilcoxon检验模块对不同条件下ORP的计算值与测量值进行两配对样本的非参数检验。此检验方法是在数据总体分布不甚了解的情况下,通过两组配对样本的分析,推断样本来自的两个总体的分布是否存在显著性差异的方法。

实验中采用Wilcoxon检验模块对ORP计算值与测量值配对进行检验,并输出描述性统计量。原假设为,ORP实验测量值与经验计算值无显著差异。秩和检验的结果如表4和5所示,表中给出的是Z统计数和近似的p值。80 ℃下,渐进显著性 (双侧) 为0.721,说明概率p值为0.721,远大于显著性水平0.05,因此,原假设成立。同理,150 ℃下原假设也成立。可见ORP经验计算式所得结果与实验测量值的差异并无统计学显著性意义,二者具有一致性,即可根据经验计算式对ORP值进行计算与预测。

表4   80 ℃下ORP经验计算值与测量值Wilcoxon检验统计结果

Table 4   Wilcoxon test results of the calculated and measured values of ORP at 80 ℃

NumberDOpHCalculated valueMeasured valueTest statisticsa
1108254.3261.6Z=-0.357b
2109186.1192.3
3308288.5295.4Asymp. Sig. (2-tailed)=0.721
4309220.3224.7
51008326.0329.1
61009257.8249.9
72008347.6340.3
82009279.4276.7
93008360.3353.4
103009292.1285.7

Note: a: Wilcoxon signed ranks test, b: based on negative ranks

新窗口打开

表5   120 ℃下ORP经验计算值与测量值Wilocoxon检验统计结果

Table 5   Wilocoxon test results of the calculated and measured values of ORP at 120 ℃

NumberDOpHCalculated valueMeasured valueTest statisticsa
1108201.7210.4Z=-0.765b
2109128.1135.2
3308244.4239.6Asymp. Sig. (2-tailed)=0.444
4309170.9167.6
51008291.3288.2
61009217.8213.2
72008318.3323.4
82009244.7235.6
93008334.0342.7
103009201.7210.4

(Note: a: Wilcoxon signed ranks test, b: based on negative ranks)

新窗口打开

2.3 ORP与金属腐蚀的关系

在金属腐蚀过程中,电位是金属阳极溶解过程的控制因素,溶液的pH值则是金属腐蚀产物稳定性的控制因素[25]。应用这两个参数,可把金属-水溶液体系中各个反应在给定条件下的平衡关系用电位-pH平衡图表示,进而了解金属腐蚀的可能性和腐蚀产物的稳定性,为电厂水化学工况的调节与优化提供依据。采用热力学软件HSC Chemistry绘制电位-pH图见图10和11。平衡计算中有关离子的浓度均取10-6 mol/L,H2和O2的分压为标准压力 (100 kPa)。根据图10中不同区域物质的稳定存在状态,可划分为Fe的免蚀区、腐蚀区和钝化区。由先前实验结果可知,在80 ℃,pH值为9.0,DO>10 μg/L的条件下,给水环境ORP>170 mV,对应图中区域为Fe2O3的热力学稳定区,Fe表面上可能形成完整、致密的氧化物保护膜,从而抑制其溶解,降低腐蚀速率。而对于Cu-H2O体系,相同pH值、ORP条件下,对应图11中Cu2O或Cu(OH)2的热力学稳定区,在氨存在的条件下易发生氨腐蚀,进而引发Cu的迁移与沉积。因此,在凝结水-给水系统含铜合金的电厂中一般采用还原性全挥发处理,加入还原剂联胺使给水ORP<-200 mV。所以,将ORP测量值与体系pH值结合起来,利用金属电位-pH图能够判断锅炉机组水化学调节方式是否合理。

图10   80 ℃下Fe-H2O体系电位-pH图

Fig.10   Potential-pH diagram of Fe-H2O system at 80 ℃

图11   80 ℃下Cu-H2O体系电位-pH图

Fig.11   Potential-pH diagram of Cu-H2O system at 80 ℃

腐蚀实验测得20#碳钢腐蚀电位与溶液ORP的关系如图12所示。可见,金属腐蚀电位先逐渐增大,在18 d后电位逐渐稳定。ORP则逐渐减小,在碳钢腐蚀电位稳定后ORP也趋于稳定。可见,碳钢在高ORP、高pH值条件下逐渐发生钝化,腐蚀生成的Fe3O4或Fe2O3覆盖在金属基体表面,形成氧化物保护膜,导致金属电位的增大。当保护膜趋于完整时,金属腐蚀速率降低,金属电位也逐渐稳定。随着金属的氧化和溶氧的消耗,密闭环境中溶液的ORP逐渐降低。

图12   20#碳钢腐蚀电位与溶液ORP关系图

Fig.12   Relationship diagram of the corrosion potential of 20# steel and ORP at different corrosion time

为探究ORP与ECP的相关性,第30 d通入O2进行扰动实验。溶氧增大到500 μg/L后,ORP与ECP都立即正向增大,随后ORP趋于稳定,ECP则继续缓慢增大。这是因为虽然腐蚀电位和ORP是以类似的方式测量,但前者反映的是发生在金属表面上的腐蚀反应。当金属电极表面形成完整的钝化膜后,金属氧化腐蚀的速率极低,与惰性电极类似,金属氧化膜表面提供了氧化还原电对反应的场所。所以,此时ECP与ORP的变化是一致的,但ORP更为灵敏,且一般大于金属腐蚀电位。

3 结论

(1) 水溶液体系ORP随DO的增大而增大,随pH值的增大而减小,且与二者都具有一定的线性关系。ORP随温度的升高而降低,但其影响机理复杂,难以进行温度补偿。ORP受溶液流速影响较小。

(2) 提出了ORP在80和120 ℃下的经验计算式,并采用Wilcoxon检验进行验证,该计算式与实验结果具有良好的一致性。

(3) 钝化后的20#碳钢的金属电位与ORP变化趋势一致,但无简单的定量关系。将来仍需深入研究ORP信号与不同金属的腐蚀过程及腐蚀机理之间的对应关系,现阶段可根据金属电位-pH图判断金属腐蚀倾向,通过调节DO、pH值等水化学参数优化给水ORP。

The authors have declared that no competing interests exist.


/