中国腐蚀与防护学报(中文版)  2018 , 38 (5): 431-437 https://doi.org/10.11902/1005.4537.2017.153

研究报告

Q235和Q450钢在吐鲁番干热大气环境中长周期暴晒时的腐蚀行为研究

王力1, 郭春云2, 肖葵1, 吐尔逊·斯拉依丁2, 董超芳1, 李晓刚1

1 北京科技大学腐蚀与防护中心 北京 100083
2 新疆吐鲁番自然环境试验研究中心 吐鲁番 838200

Corrosion Behavior of Carbon Steels Q235 and Q450 in Dry Hot Atmosphere at Turpan District for Four Years

WANG Li1, GUO Chunyun2, XIAO Kui1, Tuerxun·Silayiding2, DONG Chaofang1, LI Xiaogang1

1 Corrosion and Protection Center, University of Science and Technology Beijing, Beijing 100083, China
2 Xinjiang Turpan Natural Environmental Test Research Center, Turpan 838200, China

中图分类号:  TG172

文章编号:  1005-4537(2018)05-0431-07

通讯作者:  通讯作者 董超芳,E-mail:cfdong@ustb.edu.cn,研究方向为腐蚀与防护和腐蚀集成计算与评价

收稿日期: 2017-09-20

网络出版日期:  2018-11-05

版权声明:  2018 《中国腐蚀与防护学报》编辑部 《中国腐蚀与防护学报》编辑部

基金资助:  国家重点研发项目 (2017YFB0702300),国家自然科学基金 (51671029) 和中央高校基本科研基金 (FRF-TP-17-002B)

作者简介:

作者简介 王力,男,1992年生,硕士生

展开

摘要

在吐鲁番干热大气环境中对Q235和Q450钢进行4 a大气暴晒实验。结果表明,两种钢表面均有较为明显的锈层,Q450耐候钢4 a的平均腐蚀速率为12 g·m-2·a-1,Q235钢平均腐蚀速率为14 g·m-2·a-1,Q450钢腐蚀速率相对较低,腐蚀坑深度较浅。腐蚀产物主要由α-FeOOH,γ-FeOOH和Fe2O3·H2O组成,其中Q450钢腐蚀产物中α-FeOOH比例相对较高,腐蚀产物致密。电化学阻抗测试结果表明:Q450钢腐蚀产物电阻远大于Q235钢的,表面电荷转移电阻也大于Q235钢的,即Q450钢耐蚀性较好,腐蚀产物对基体保护作用相对较好。

关键词: 碳钢 ; 吐鲁番 ; 大气腐蚀

Abstract

Atmospheric exposure of carbon steels Q235 and Q450 were conducted for 4 a in dry hot atmospheric environment at Turpan district of Xinjiang Uygur Autonomous Region. The results showed that the surface of the two steels presented obvious corrosion products scale. The average corrosion rate of Q450 and Q235 was 12 and 14 g·m-2·a-1 respectively. Thus, Q450 steel exhibits corrosion rate lower than Q235 steel, and while the corresponding corrosion pits were relatively shallow. The corrosion products of the two steels composed mainly of α-FeOOH, γ-FeOOH and Fe2O3·H2O, while the proportion of α-FeOOH for Q450 was higher than that for Q235. The corrosion products on Q450 were relatively dense. Thereby, it hindered the absorption of water and sediment, leading to the decrease of corrosion rate. The result of EIS demonstrated that the resistance of corrosion products and surface charge transfer of Q450 was greater than that of Q235, i.e. the corrosion products of Q450 had better protectiveness.

Keywords: carbon steel ; Turpan ; atmospheric corrosion

0

PDF (3568KB) 元数据 多维度评价 相关文章 收藏文章

本文引用格式 导出 EndNote Ris Bibtex

王力, 郭春云, 肖葵, 吐尔逊·斯拉依丁, 董超芳, 李晓刚. Q235和Q450钢在吐鲁番干热大气环境中长周期暴晒时的腐蚀行为研究[J]. 中国腐蚀与防护学报(中文版), 2018, 38(5): 431-437 https://doi.org/10.11902/1005.4537.2017.153

WANG Li, GUO Chunyun, XIAO Kui, DONG Chaofang, LI Xiaogang. Corrosion Behavior of Carbon Steels Q235 and Q450 in Dry Hot Atmosphere at Turpan District for Four Years[J]. Journal of Chinese Society for Corrosion and Protection, 2018, 38(5): 431-437 https://doi.org/10.11902/1005.4537.2017.153

“一带一路”是我国高瞻远瞩、统揽全局、面向新时代提出的重大战略,材料是建设各地区基础设施的支柱和重要基础[1],材料的腐蚀与失效决定着设施建设的安全性及长久性。据统计,我国因为腐蚀损耗每年人均约承担1500元的成本,所以各地区大气腐蚀数据的积累显得尤为重要,可为基础设施建设和装备制造提供选材与防护指导。

吐鲁番地区具有典型高温差、低湿度、长日照的干热大气环境,属大陆性干热带荒漠气候,年平均气温17.4 ℃,年总辐射量5513 MJ/m2,年总日照时数3200 h,年平均降雨量16.4 mm,相对湿度27.9%,昼夜温差大,这种高温差、低湿度、长日照环境对材料的耐蚀性能提出了更高的要求[2]

碳钢及耐候钢常用于铁路及车辆用钢,钢材的腐蚀与失效决定了其使用环境及寿命。通常认为[3,4]影响大气腐蚀性的主要环境因素有3个:(1) 温度在零度以上时湿度超过临界湿度 (80%) 的时间 (润湿时间);(2) SO2的含量;(3) 盐粒子、灰尘粒子的含量[5]。郝献超等[6]研究了Q235钢在西沙大气环境中的腐蚀行为,结果表明,西沙的高温、高湿和高盐的苛刻环境使得Q235碳钢表面很快形成连续锈层,锈层较厚;而且由于Cl-的侵蚀作用,锈层比较疏松、多裂纹。李东亮等[7]研究了在湿热海洋大气环境中SO2污染对Q235钢耐蚀性影响,研究表明Cl-和SO42-的存在,协同加快了材料的腐蚀。汪川等[8]研究了碳钢与耐候钢在西双版纳、万宁、江津3个暴晒试验站腐蚀规律,研究表明碳钢在海洋大气的腐蚀速率极高,该地区碳钢年腐蚀速率分别是工业大气的8.6倍,是热带雨林大气的29.4倍。综上,在不同气候条件下,碳钢的腐蚀速率和机理有所不同。之前已对Q235碳钢和Q450耐候钢在吐鲁番地区大气暴晒的初期腐蚀规律进行了研究,结果表明,两种钢的腐蚀速率随时间的延长不断减小,且两者腐蚀速率差异不断增大。然而,关于碳钢与耐候钢在吐鲁番干热大气环境中长周期实验的研究较少。

本文研究了Q235碳钢和Q450耐候钢在吐鲁番干热大气环境中暴晒4 a后的腐蚀行为及其演变规律。利用能谱分析 (EDS) 和X射线衍射 (XRD) 分析了腐蚀产物的主要组成。同时,通过电化学阻抗谱 (EIS) 测试阐明两种钢在吐鲁番干热大气环境中的腐蚀机理。研究为一带一路建设材料长周期使用及防护提供指导。

1 实验方法

1.1 实验材料

实验材料为Q235钢与Q450钢,主要成分见表1。其中,Q450耐候钢含有Cu、Cr、Ni等合金元素。将材料制成200 mm×100 mm×4 mm的大气投放试样,经过车铣、打孔标记、打磨、除污清洗及干燥,使用精度为0.01 g分析天平称量原始重量并记录,之后在吐鲁番干热大气环境中进行2012.07~2016.07为期4 a暴晒实验,吐鲁番2012.07~2013.07气象数据见表2

表1   Q235和Q450钢的化学成分

Table 1   Chemical compositions of Q235 and Q450 steels(mass fraction / %)

SteelCSiMnSPCuNiCrFe
Q2350.140.130.440.0310.015---------Bal.
Q4500.0670.191.360.0040.0170.360.190.57Bal.

新窗口打开

表2   吐鲁番暴晒试验场2012.07~2013.07气象数据[5]

Table 2   Average weather date of Turpan atmospheric exposure station in the period of 2012.07~2013.07[5]

DateAverage temperature / ℃Average highest temperature / ℃Average lowest temperature / ℃Precipitation
mm
Average relative humidity / %Average wind speed / ms-1
2012.0735.839.830.40213.4
2012.0833.839.228.40143.7
2012.0927.132.821.50202.2
2012.1016.325.211.20262.4
2012.111.66.2-2.1030.12.5
2012.12-6.7-2.6-9.9059.31.5
2013.01-12.6-7.2-16.4080.01.0
2013.021.56.0-2.9042.82
2013.0316.420.67.7017.42.1
2013.0423.027.014.10.0215.12.6
2013.0528.932.020.9014.13.3
2013.0633.237.728.6018.34.1

新窗口打开

1.2 实验与分析方法

将暴晒4 a后的Q235和Q450钢两种试样回收,对表面宏观形貌进行拍照。利用Quanta-250型环境扫描电镜 (ESEM) 对表面及截面腐蚀产物进行微观形貌及EDS分析。按照GB/T16545-1996对试样表面腐蚀产物进行清除,清洗干燥后称重,计算试样暴晒4 a后的腐蚀速率。采用激光共聚焦对去除腐蚀产物后的试样表面腐蚀坑进行统计观察。腐蚀产物的主要成分通过XRD进行分析。电化学测试使用Modulab XM电化学工作站,采用传统三电极体系,开路30 min体系稳定后测试EIS,测试频率范围为105~10-2 Hz,信号幅值为10 mV正弦波,用ZSimpwin软件进行等效电路拟合。

2 结果与讨论

2.1 宏观形貌

Q235钢和Q450钢在吐鲁番干热大气环境中暴露4 a后的宏观形貌如图1所示。两种钢表面宏观形貌并无较大差异,表面已无金属光泽,均出现较为均匀的红褐色腐蚀产物锈层。

图1   Q235和Q450钢吐鲁番大气环境中暴晒4 a后的宏观形貌

Fig.1   Maco morphologies of Q235 (a) and Q450 (b) steels after exposure in atmospheric enviroment in Turpan area for 4 a

2.2 微观形貌

使用SEM对两种钢表面及截面微观形貌进行观察,结果见图2。可知,Q235钢腐蚀产物主要呈疏松的颗粒状,易脱落;Q450钢表面腐蚀产物为片状结构,较为致密。随着暴露时间的延长,Q235钢表面腐蚀产物对基体的保护作用较弱,导致耐蚀性下降;而Q450钢腐蚀产物较为致密,将基体与大气介质环境有效隔离,阻碍了基体本身的进一步腐蚀。

图2   Q235和Q450钢经吐鲁番大气环境中暴晒4 a后的表面显微形貌

Fig.2   Surface morphologies of Q235 (a) and Q450 (b) steels after exposure in atmospheric enviroment in Turpan area for 4 a

2.3 腐蚀速率

按照GB/T16545-1996用除锈液去除表面腐蚀产物,之后酒精清洗,干燥后称量。按照下式计算腐蚀失重速率。

ω=G0-G14×[2×(a×b+a×c+b×c)](1)

其中,ω为腐蚀失重速率,g·m-2·a-1;G0为试样原始重量,g;G1为去除腐蚀产物后重量,g;a,bc分别为试样长度、宽度、厚度,m。图3为两种钢在吐鲁番大气环境中暴露4 a的腐蚀速率变化 (注:1 a腐蚀速率数据来源于文献[2],2~3 a腐蚀数据来源于文献[9]),Q450和Q235钢4 a的平均腐蚀速率分别为12和14 g·m-2·a-1,即Q450钢的腐蚀速率低于Q235钢的,两种钢在吐鲁番大气中的耐蚀性均属于C2等级。随着暴晒时间的延长,两种钢腐蚀速率不断减小,但是腐蚀速率差异先增大后减小;暴晒时间为3 a时,腐蚀速率差异最大,相差6 g·m-2·a-1。由表1可知,Q450钢中含有少量Cu、Cr等提高耐蚀性的元素。研究[10]表明,Cr能通过促使钢表面形成致密的氧化膜提高耐蚀性,Cr还能阻止干湿交替过程中干燥时锈层的还原过程,从而保证锈层的稳定性;当Cr与Cu同时加入时,耐蚀性提高更加明显。

按照GB/T16545-1996去除腐蚀产物后使用激光共聚焦显微镜对试样表面进行观察[11],结果见图4。可知,两种钢表面均出现明显的腐蚀坑,对5个视野内 (每个视野700 μm×500 μm) 腐蚀坑深度进行统计,实验结果见图5。Q235钢最大腐蚀坑深度为54.542 μm,平均深度为40.47 μm;Q450钢最大腐蚀坑深度为52.851 μm,平均深度为38.43 μm,Q235钢腐蚀坑相对较多。由此可知,Q235钢在吐鲁番干热大气环境中腐蚀相对Q450钢较为严重,Q450钢由于表面会形成一层较为致密的腐蚀产物,将基体材料与大气环境隔离,阻碍了材料的进一步腐蚀,提高了材料的耐蚀性。

图3   Q235和Q450钢在吐鲁番大气环境中暴晒不同时间的腐蚀速率

Fig.3   Corrosion rates of Q235 and Q450 steels exposed in Turpan area for different time

图4   Q235和Q450钢在吐鲁番大气环境中暴晒4 a的腐蚀坑深度分布图

Fig.4   Corrosion pit depth distributions of Q235 (a) and Q450 (b) steels after exposure in atmospheric enviroment in Turpan area for 4 a

图5   Q235和Q450钢在吐鲁番大气环境中暴晒4 a的腐蚀坑深度

Fig.5   Corrosion pit depths of Q235 and Q450 steels after exposure in atmospheric enviroment in Turpan area for 4 a

2.4 腐蚀产物成分

图6和7为两种材料截面微观形貌[12]。可以看出,Q235钢表面腐蚀产物层较厚,最厚处约为80 μm,腐蚀产物间存在较宽裂缝;而Q450钢表面腐蚀产物相对较薄,最厚处约为65 μm,腐蚀产物间裂缝相对较窄。由此可知,Q235钢表面腐蚀产物间的粘附力相对较差,导致腐蚀产物易开裂、脱落,进而对基体失去保护作用。对两种钢截面腐蚀产物进行EDS成分分析,表明Q235钢内层腐蚀产物含有较多Ca,而Q450钢腐蚀产物外层含有较多Cr和Mn。两种钢腐蚀产物中均含有少量S和Cl等元素,主要是由于大气环境中风沙中携带含有硫酸盐、氯化物等土壤残留[1],沉积于试样表面,加速了碳钢的大气腐蚀[13]。Q450钢表面腐蚀产物中含有较多Cr和Mn等,能够很好地促使表面形成较为稳定且致密的腐蚀产物,从而对基体起到很好的保护作用,提高了材料的耐蚀性。

图6   Q235钢吐鲁番大气环境中暴晒4 a的腐蚀产物截面形貌及EDS分析结果

Fig.6   Section morphology and EDS result of the corrosion products of Q235 steel after exposure in atmospheric enviroment in Turpan area for 4 a

图7   Q450钢吐鲁番大气环境中暴晒4 a的腐蚀产物截面形貌及EDS结果

Fig.7   Section morphology and EDS result of the corrosion products of Q450 steel after exposure in atmospheric enviroment in Turpan area for 4 a

对表面腐蚀产物进行XRD分析,结果见图8。可知,两种钢腐蚀产物都主要由α-FeOOH,γ-FeOOH和Fe2O3·H2O组成[14]。研究[15,16]表明,γ-FeOOH不易形成相对致密的氧化膜,不利于提高材料的耐蚀性;α-FeOOH的存在容易形成致密的氧化膜,从而很好地将基体与环境隔绝起来,提高了材料的耐蚀性。为了确定腐蚀产物中各相的比例,根据相对比强度法 (RIR) 由X'pert Highscore Plus软件进行半定量分析。由分析结果可知,Q235钢腐蚀产物中α-FeOOH与γ-FeOOH的比例为14∶100,Q450耐候钢腐蚀产物中α-FeOOH与γ-FeOOH的比例为21∶100,即Q235钢腐蚀产物中该比例较低,材料耐蚀性较差;Q450钢这一比例相对较高,所以表面腐蚀产物较致密,耐蚀性较好。综上可知,α-FeOOH对提高材料耐蚀性具有重要作用。

图8   Q235和Q450钢在吐鲁番大气环境中暴晒4 a后表面锈层的XRD谱

Fig.8   XRD patterns of the corrosion products formed on Q235 and Q450 steels after exposure for 4 a in Turpan atmospheric environment

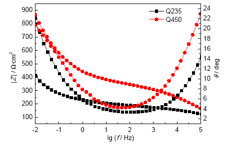
2.5 电化学阻抗谱

为了比较Q235钢和Q450钢腐蚀产物对于基体的保护作用,测试了两种钢在吐鲁番干热大气环境中暴晒4 a后在0.1 mol/L Na2SO4溶液中的电化学阻抗谱,实验结果如图9所示。通过ZSimpwin软件进行拟合,等效电路如图10所示,其中,Rs为溶液电阻,CPEf为腐蚀产物层电容,Rf为电极表面腐蚀产物层电阻,CPEdl为工作电极表面的双电层电容,Rt为工作电极表面反应的电荷转移电阻[17],Ws为腐蚀区域内基底金属的有效扩散层阻抗。拟合得到的各元件参数值见表3。由实验结果可知,两种钢阻抗谱等效电路中均含有扩散层阻抗,但扩散层阻抗差异不大。Q235钢的Rf为121.2 Ω·cm2;Q450钢的Rf为2570 Ω·cm2,远大于Q235钢的。Q450钢的Rt为322.2 Ω·cm2,Q235的Rt为142.2 Ω·cm2,即Q450钢的Rt也相对较大。由腐蚀产物微观形貌可知,Q450钢腐蚀产物更致密,腐蚀产物间裂缝较少,阻碍了基体与介质的反应,从而导致Rf较大,且Q450钢含有Cr和Cu等元素,材料本身耐蚀性相对较好,所以Rt也相对较大。

图9   Q235和Q450钢在吐鲁番大气环境中暴晒4 a后在0.1 mol/L Na2SO4溶液中的EIS曲线

Fig.9   EIS result of Q235 and Q450 steels after exposure in atmospheric enviroment in Turpan area for 4 a

图10   EIS结果拟合电路

Fig.10   Electrochemical equivalent circuit of EIS

表3   EIS拟合电路各元件参数值

Table 3   Fitting values of various parameters based on EIS

SteelRfΩcm2CPEfμFcm-2RtΩcm2CPEdlμFcm-2WΩcm2
Q235121.24.0×10-3142.22.579×10-60.019
Q4502570.05.6×10-3322.28.530×10-60.014

新窗口打开

3 结论

(1) Q235钢和Q450耐候钢在吐鲁番大气环境中暴晒4 a后表面均出现明显的红褐色锈层,平均腐蚀速率分别为12和14 g·m-2·a-1。两种钢表面腐蚀坑平均深度分别为40.47和38.43 μm,Q235钢腐蚀较为严重。

(2) Q235和Q450两种钢腐蚀产物均含有α-FeOOH,γ-FeOOH和Fe2O3· H2O。Q235钢腐蚀产物中含α-FeOOH较少,腐蚀产物疏松多孔,存在明显的裂缝;Q450钢表面腐蚀产物中含α-FeOOH较多,腐蚀产物相对致密,从而阻碍了环境中吸附水和沉积物的进入,进而提高了材料的耐蚀性。

(3) Q450钢腐蚀产物层电阻和电荷转移电阻都大于Q235钢的,即Q450钢材料本身不易发生腐蚀,且腐蚀产物对于基体的保护作用也相对较好。Q450钢在吐鲁番干热大气环境中的耐蚀性优于Q235钢的。

The authors have declared that no competing interests exist.


/