中国腐蚀与防护学报(中文版)  2018 , 38 (5): 415-423 https://doi.org/10.11902/1005.4537.2017.183

研究报告

X70管线钢在热带海水-海泥跃变区的腐蚀行为研究

邓培昌1, 刘泉兵1, 李子运2, 王贵2, 胡杰珍2, 王勰2

1 广东海洋大学化学与环境学院 湛江 524088
2 广东海洋大学机械与动力学院 湛江 524088

Corrosion Behavior of X70 Pipeline Steel in the Tropical Juncture Area of Seawater-Sea Mud

DENG Peichang1, LIU Quanbing1, LI Ziyun2, WANG Gui2, HU Jiezhen2, WANG Xie2

1 College of Chemistry and Environment, Guangdong Ocean University, Zhanjiang 524088, China
2 College of Mechanical and Power Engineering, Guangdong Ocean University, Zhanjiang 524088, China

中图分类号:  TG174

文章编号:  1005-4537(2018)05-0415-09

通讯作者:  通讯作者 胡杰珍,E-mail:jiezhen0520@163.com,研究方向为海洋环境金属腐蚀与防护

收稿日期: 2017-11-9

网络出版日期:  2018-11-05

版权声明:  2018 《中国腐蚀与防护学报》编辑部 《中国腐蚀与防护学报》编辑部

基金资助:  广东省自然科学基金 (2015A030313619),广东省省级科技计划项目 (2016A020225004) 和湛江市科技计划项目(2015A02024和2014C01003)

作者简介:

作者简介 邓培昌,男,1975年生,博士,副教授

展开

摘要

利用阵列电极技术、线性极化和电化学阻抗等电化学分析技术及腐蚀形貌观察和腐蚀产物物相分析,研究了X70管线钢在海水-海泥跃变区中的腐蚀行为与规律。结果表明,X70管线钢在海水-海泥跃变区形成宏观氧浓差电池,海泥区域及近海水-海泥界面的海水区域为电偶腐蚀阳极区域,海水区域为电偶腐蚀阴极区域;腐蚀后期阶段,海泥下部的电极变为阴极,成为主要的阴极反应区域。海水中的电极腐蚀速率大于海泥中的,而在近海水-海泥界面的区域形成了腐蚀电流峰。海水中高含量的溶解氧促进了电极表面腐蚀产物层的致密化,电荷转移电阻增大;在腐蚀后期,海泥底部硫酸盐还原菌参与了腐蚀反应,生成了硫化物,导致阴极电流密度增大,加快了整个电极的腐蚀速率。

关键词: 阵列电极 ; 海水-海泥跃变区 ; 电偶腐蚀 ; X70管线钢 ; 电化学阻抗谱

Abstract

The corrosion behavior of X70 pipeline steel in the tropical juncture area of seawater-sea mud has been studied by means of wire beam electrode technique, linear polarization, electrochemical impedance spectroscopy and other electrochemical analysis technique, coupled with the methods of corrosion morphology observation and corrosion products analysis. The results show that X70 pipeline steel has formed an oxygen concentration cell in the juncture area of seawater-sea mud, the electrodes in the sea mud and in the vicinity of interface of seawater-sea mud act as anode, and the electrodes in the seawater act as cathode. In the last stage of corrosion, the electrodes in the bottom of sea mud become cathode region where the main cathode reaction is occurred. The corrosion rate of the electrodes in the seawater is greater than the electrodes in the sea mud, and there is a peak of corrosion current in the vicinity of interface of seawater-sea mud. Dissolved oxygen promotes corrosion products gradually firmly and densely, the charge transfer resistance increased with the time, sulfate reducting bacteria in the bottom of the sea mud participate in the reaction, produced iron sulfide, the corrosion rate of the whole electrodes speed up with the cathode current density increased.

Keywords: wire beam electrode ; juncture area of seawater-sea mud ; galvanic corrosion ; X70 pipeline steel ; electrochemical impedance spectroscopy

0

PDF (6074KB) 元数据 多维度评价 相关文章 收藏文章

本文引用格式 导出 EndNote Ris Bibtex

邓培昌, 刘泉兵, 李子运, 王贵, 胡杰珍, 王勰. X70管线钢在热带海水-海泥跃变区的腐蚀行为研究[J]. 中国腐蚀与防护学报(中文版), 2018, 38(5): 415-423 https://doi.org/10.11902/1005.4537.2017.183

DENG Peichang, LIU Quanbing, LI Ziyun, WANG Gui, HU Jiezhen, WANG Xie. Corrosion Behavior of X70 Pipeline Steel in the Tropical Juncture Area of Seawater-Sea Mud[J]. Journal of Chinese Society for Corrosion and Protection, 2018, 38(5): 415-423 https://doi.org/10.11902/1005.4537.2017.183

海洋石油工业迅速发展,管线钢是海上石油平台和石油输运的重要材料。侯保荣等[1,2]对钢铁材料在海水-海气交换区和海水-海泥跃变区的腐蚀行为进行了研究,结果表明在两种环境跃变区存在腐蚀峰[3]。金属在海水-海泥跃变区和海水-海气交换区的腐蚀行为规律成为国内外腐蚀科技工作者重点关注的问题之一。

国内外科研工作者[4,5,6,7,8]开展了大量的金属在海水-大气交换区的腐蚀研究。其中,王佳等[9]应用阵列电极技术研究了Q235碳钢在水线区的腐蚀,获得了水线区的电流分布及其变化信息,观察到了阴阳极极性反转。Tan等[10]对缓蚀剂条件下碳钢的水线腐蚀过程的动态变化进行了监测,表明腐蚀深度分布图与显微镜观察到的具有良好的一致性。国内外已对金属的水线腐蚀进行了系统的研究,建立了水线腐蚀的机理模型。然而,有关金属在海水-海泥跃变区的腐蚀行为与机理的报道则较少。侯保荣等[11]对金属在海泥中的腐蚀行为规律进行了探讨,表明海泥的类型对金属的腐蚀有一定影响。作者所在课题组[12]对模拟海泥-海水环境跃变区碳钢的腐蚀进行了研究,分析了海水/海泥界面附近阴阳极分布区域的变化规律。为了研究实海环境中管线钢在海水-海泥跃变区的腐蚀行为规律与机理,本文采用贴近自然环境的海泥-海水跃变区环境腐蚀实验方法,利用阵列电极技术、线性极化和电化学阻抗技术、失重法、腐蚀形貌观察和腐蚀产物物相分析等方法,对X70管线钢在海水-海泥跃变区的腐蚀行为与机理进行了探讨和分析。

1 实验方法

1.1 海泥-海水环境跃变区腐蚀实验方法

海泥取自湛江湾,取样面积为直径1.0 m的圆形,取样深度为0.8 m,海泥在挖取和搬运过程中保持层结构的完整性。最下层海泥的类型为粘土,中层为砂泥,上层为细海砂。将海泥逐层放置于直径1.0 m,高为0.8 m的圆形塑料桶中。圆形桶放置于2 m×4 m×5 m的海水水池中,加入海水,海水每7 d更换两次,海泥和海水的物理化学性质如表1所示。

表1   海泥和海水物理化学性质

Table 1   Physicochemical properties of the sampling seawater and sea mud

ContentEhmVConductivity μScm-1TpH
Seawater4794560032.28.32
Sea mud-topside476370031.48.12
Sea mud-middle4167.1229.57.64
Sea mud-bottom3275.3829.77.26

新窗口打开

1.2 样品加工及挂样方式

实验所用材料为X70管线钢, 其化学成分 (质量分数,%) 为: Mn 1.51,Cr 0.2,Ni 0.2,Cu 0.23, Mo 0.19,Si 0.19,C 0.05,Fe余量。试样切割成直径40 mm、厚2 mm的圆片形,将工作面用砂纸逐级打磨至1000#,清洗,干燥,称重。

金属试样安装在由水管接头、导线和橡胶圈组成的新型阵列电极[13]中,共5列电极。其中,A列和B列用于电化学测试;C列,D列和E列为电连接挂样,用于腐蚀形貌观察、腐蚀产物分析和腐蚀失重分析。每列电极上装有13个单电极,金属试样圆心之间的距离为10 cm。

阵列电极垂直埋入海泥中,从下往上依次为1~13号电极,1~6号电极埋入海泥中,7号电极处于海泥和海水界面处,其余浸在海水中。在实验中,每一列电极中的各电极之间处于电连接状态。

1.3 电化学测试与表面分析

在实验的第1,6,10,15,30和45 d对A列进行电偶电流测量。对B列进行线性极化和电化学阻抗谱 (EIS) 测试,测试仪器为CS350电化学工作站。采用三电极体系,工作电极为每串阵列电极中的单电极,测试面积为8.97 cm2,辅助电极为Pt片,参比电极为饱和甘汞电极 (SCE)。线性极化的扫描范围为相对开路电位下-40~15 mV,扫描速率为0.5 mV/s。EIS测试在开路电位下进行,扫描频率范围为105~10-2 Hz,信号幅值为10 mV。在实验进行到15,30,45 d时,分别取出C,D,E列的电极,用Quanta 200型环境扫描电子显微镜 (ESEM) 观察试样表面的腐蚀形貌并用能量色散谱仪 (EDS) 分析腐蚀产物元素组成,结合X Pert Pro MRD型X射线衍射仪 (XRD) 分析腐蚀产物的物相组成。

2 结果与讨论

2.1 腐蚀形貌观察

通过腐蚀形貌观察可见,处于海泥区的试样表面均呈现灰黑色,以局部腐蚀为主;随时间增加,腐蚀程度加重。处于海水区的试样表面腐蚀产物的颜色均呈现红棕色;随时间的增加,腐蚀产物增多、增厚并密集地分布在试样表面。处于海水-海泥线的C7,D7和E7试样在海泥区域和在海水区域部分的腐蚀产物颜色和腐蚀程度存在明显差异。处于海泥中的6号电极相对于在海泥底部的电极局部腐蚀更严重,存在较大的腐蚀坑。与之对应的,处于海水中的8号和9号电极相对于在海水上部的电极表面腐蚀产物更厚且颜色更深,说明处于海水-海泥跃变区附近的试样腐蚀程度相对处于同样区域的电极更严重。

微观腐蚀形貌如图1所示。X70管线钢在海水-海泥跃变区中暴露15 d后,处于海泥底部和中部的C1试样和C4试样表面没有明显的腐蚀产物积累,腐蚀轻微。位于海水-海泥线的C7试样埋入海泥部分的表面零星分布着疏松的颗粒状腐蚀产物,浸入海水部分被大面积的腐蚀产物覆盖,腐蚀严重。离海水-海泥线较远的C10和C13试样表面积累着大量的红棕色腐蚀产物,腐蚀相对均匀。30 d后,D1和D4试样表面也出现疏松的大小不规则的颗粒状腐蚀产物;D7试样在海泥区域部分颗粒状腐蚀产物分布更加密集;而处于海水区域的则出现较大的腐蚀坑,腐蚀程度加重;D10和D13试样表面腐蚀产物继续积累,厚度增加。45 d后,E1和E4试样表面腐蚀产物增多,点蚀坑开始蔓延;E7试样在海泥区域形成的腐蚀层在表面开裂并形成一定大小的空隙;在海水区域腐蚀更严重,腐蚀产物出现规则的疏松枝晶;E10和E13试样表面腐蚀产物层变厚,腐蚀严重,但腐蚀产物疏松不致密,容易脱落。

图1   C列,D列和E列电极在海水-海泥跃变区中分别暴露15,30和45 d后的微观腐蚀形貌

Fig.1   Surface morphologies of the electrodes on C, D and E arrays after corrosion in the juncture area of seawater-seamud for 15 d (a1~a6), 30 d (b1~b6), 45 d (c1~c6): (a1) C1, (a2) C4, (a3) C7-M, (a4) C7-W, (a5) C10, (a6) C13, (b1) D1, (b2) D4, (b3) D7-M, (b4) D7-W, (b5) D10, (b6) D13, (c1) E1, (c2) E4, (c3) E7-M, (c4) E7-W, (c5) E10, (c6) E13

2.2 腐蚀产物分析

图2是X70管线钢在海水-海泥跃变区中分别暴露15,30和45 d后腐蚀产物的EDS分析结果。可知,处于海泥中的X70管线钢的腐蚀产物的主要元素是O和Fe,含有微量的C,腐蚀产物中可能存在Fe(CO3)x;处于海水中的X70管线钢腐蚀产物还含有Na,Mg,Al,Si,Ca及Cl等元素。在45 d时,X70管线钢腐蚀产物中的Ca含量相当高,说明电极表面含有藻类植物;此外在海泥中腐蚀产物含有一定量的S,可以推测电极表面存在硫酸盐还原菌 (SRB),发生腐蚀反应,生成了FeS。

图2   X70管线钢在海水-海泥跃变区中分别暴露15,30和45 d后腐蚀产物的EDS结果

Fig.2   EDS analysis results of corrosion products formed on X70 pipeline steel after exposure in the juncture area of seawater-sea mud for 15 d (a1~a4), 30 d (b1~b4) and 45 d (c1~c4): (a1) C1, (a2) C7-M, (a3) C7-W, (a4) C10, (b1) D1, (b2) D7-M, (b3) D7-W, (b4) D10, (c1) E1, (c2) E7-M, (c3) E7-W, (c4) E10

图3是X70管线钢在海水-海泥跃变区中暴露45 d后腐蚀产物的XRD谱。由图3a可见,埋入海泥中电极的腐蚀产物含有FeO,Fe(OH)2,FeO(OH),同时存在FeS,说明SRB参与了X70管线钢的腐蚀。而浸泡在海水中电极的腐蚀产物主要以稳定的FeO和FeO(OH) 为主 (图3b),这与腐蚀形貌中观察到的红棕色腐蚀产物相一致。

图3   X70管线钢在海水-海泥跃变区中暴露45 d后腐蚀产物的XRD谱

Fig.3   XRD patterns of the corrosion products formed on X70 pipeline steel after exposure in the juncture area of seawater-sea mud for 45 d: (a) sea mud, (b) seawater

2.3 腐蚀动力学分析

X70管线钢在海水-海泥跃变区不同周期下的腐蚀速率如图4所示。X70管线钢在海泥中的腐蚀速率低于海水中的。其中,在海泥区域的2号电极与5号电极的腐蚀速率相差不大,腐蚀速率在0.06~0.12 mm/a之间。近海水/海泥界面的海水区域因缺乏氧成为腐蚀体系的阳极区,8号电极的腐蚀速率显著增大,腐蚀速率达到0.32 mm/a。11号电极处于远离界面的海水区,腐蚀速率前期较大,随时间增加,腐蚀速率减小。

图4   X70管线钢在海水-海泥跃变区暴露不同周期的腐蚀速率

Fig.4   Corrosion rates of X70 pipeline steel after exposure in the juncture area of seawater-sea mud for different time

2.4 电偶电流分析

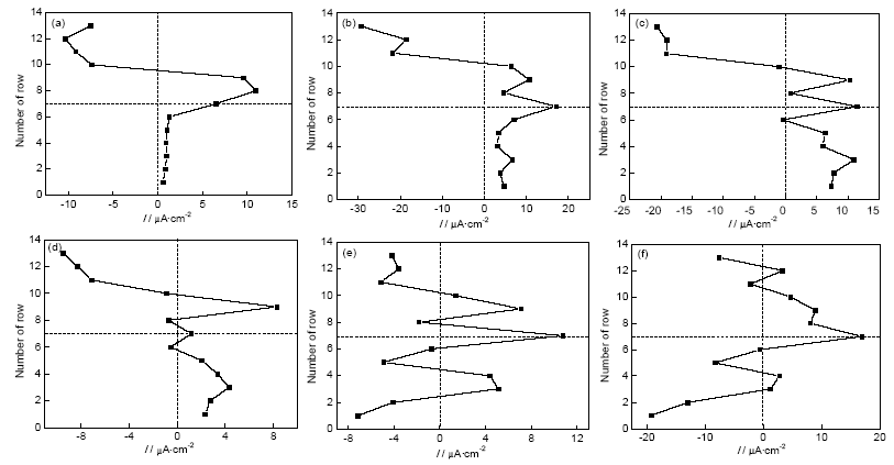
图5和6分别是阵列电极在海水-海泥跃变区中暴露不同时间的电偶电流测试记录图和电偶电流密度分析图,电偶电流为负值是阴极电流,正值是阳极电流。图5a和6a分别是阵列电极暴露1 d后的电偶电流测试记录图和电流密度分析图。由图可知,单个电极的阴阳极电流密度较小,阵列电极表面出现分布相对均匀的阴阳极区域,在海泥中的电极为阳极区,海水中的电极为阴极区,海水中部分电极的电偶电流却为正值,阴阳极面积不相等,但阴阳极电流密度总和相差不大,整体表现出宏观氧浓差电池的特征。海水区的上部与大气中的O2交换速率快,溶解氧含量高,O2传输到电极表面的速率快,有利于氧去极化过程的进行,因此该区域表现为阴极电流。海泥区域及附近海水区域溶解氧含量低,为贫氧环境,海泥区域结构密实,氧传输困难,到达电极表面的速度慢,导致阴极过程受阻。从图6b可以看出,浸泡第6 d,单个电极的阴阳极电流密度显著增大,其中最大阳极电流密度为17 μA·cm-2,阴极电流密度达到29 μA·cm-2,阵列电极的腐蚀速率较大,并且海水中的10号电极发生极性反转,由阴极变为阳极。随着腐蚀过程的进行,10号电极区域的氧被耗尽,来不及得到补充,溶解氧充足的海水上部依然发生氧的去极化过程而作为腐蚀反应的阴极区,氧气匮乏的区域则发生阳极溶解反应而成为腐蚀反应的阳极区。第10 d时,电极的电偶电流密度略有下降,阳极电流密度减小,阵列电极的腐蚀速率下降,其中6号电极和10号电极的电流极性发生逆转,由阳极变为阴极,但从图6c可知,两个电极的电流密度都较小。到第15 d时,阵列电极的阴阳极电流显著减小,金属的腐蚀反应速率则大幅度下降,8号电极的电流由阳极电流转变为阴极电流,但电流密度变化幅度较小,随着溶解氧的扩散,导致此电极的阴极反应速率略大于阳极反应速率,电流极性发生反转。第30 d时,从图5e可知,海水区域的上部电偶电流密度变小,海泥区域的1号,2号和5号电极的电流极性发生逆转,由阳极电流变为阴极电流,10号电极的电偶电流由阴极电流变为阳极电流。海水区域上部的电极表面生成的腐蚀产物增加、增厚,影响了氧在电极表面的传输,使氧去极化过程受到阻碍,所以阴极电流密度减小。海泥是个贫氧环境,存在大量的SRB,SRB对金属会产生阴极去极化作用[14,15],使SO42-氧化电极表面吸附的氢加快析氢腐蚀反应;SRB产生的S2-与电极作用产生FeS附着在电极表面上形成阴极,FeS在电极表面的形成导致浓差电池的产生,加快了腐蚀反应的进行。第45 d时,由图6f可知,海水区域上部电极的电流密度继续减小,海泥区域的阴极电流密度呈现增加的趋势,最大达到-19 μA·cm-2。海水区域上部的电极表面腐蚀产物增加,降低阴极氧去极化反应速率,阴极电流密度偏小,海泥区域中SRB对电极的去极化作用加强,导致阴极电流密度增大,从而加快了整个电极的腐蚀速率。

图5   阵列电极在海水-海泥跃变区暴露不同时间的电偶电流记录图

Fig.5   Galvanic currents of the wire beam electrodes during exposure in the juncture area of seawater-sea mud for 1 d (a), 6 d (b), 10 d (c), 15 d (d), 30 d (e) and 45 d (f)

图6   阵列电极在海水-海泥跃变区暴露不同时间的电偶电流密度分析图

Fig.6   Galvanic current densities of the wire beam electrodes during exposure in the juncture area of seawater-sea mud for 1 d (a), 6 d (b), 10 d (c), 15 d (d), 30 d (e) and 45 d (f)

2.5 腐蚀电流腐蚀电位分析

图7为X70管线钢在海水-海泥跃变区的腐蚀电流与腐蚀电位随时间的变化曲线。由图7a可知,海水中的瞬时腐蚀电流比海泥中的略大,其中1号和6号电极出现腐蚀电流峰,随时间的延长,腐蚀电流逐渐增大,第45 d时,1号和6号电极腐蚀电流密度分别达到61 和78 μA·cm-2,说明此时电极的瞬时腐蚀反应速率急剧增大,这跟海泥中的SRB参与腐蚀反应有关,导致阴极电流密度增大,加快了腐蚀反应速率。从图7b可以看出,海水中的腐蚀电位高于海泥中的,海水中的腐蚀电位相对海泥中的发生正移,由下向上腐蚀电位逐渐正移,腐蚀电位差值变化明显,而海泥中相对稳定。但第45 d时,海水中的电极发生负移,海泥中的电极发生正移,其中海泥中的1号,2号和6号电极出现腐蚀电位峰。由于阴极电流密度增大,电极表面形成氧化物且氧化物的面积增大,导致腐蚀电位正移,这与电偶电流分析和腐蚀形貌观察结果一致。

2.6 电化学阻抗分析

图8和9分别是海水-海泥跃变区中不同位置的电极随时间变化的Nyqusit图和Bode图。图8a和b分别是处于海泥中的1号和6号电极的EIS结果。可知,曲线由具有一个时间常数的容抗弧构成,低频区未出现扩散阻抗,说明反应还未由扩散控制。随着腐蚀过程的进行,阻抗谱的容抗弧半径呈现减小的现象,表现为电荷转移电阻减小,电极表面对电极过程的阻力较小。从图9a和b可知,随着时间的延长,电极的阻抗值在减小。1号电极处于海泥底部,腐蚀相对轻微,电极表面附着疏松的腐蚀产物,并且有SRB参与反应,将氧化物转化为硫化物,在一定程度上增加了电极的反应活性,导致阻抗值较低。6号电极处于近海水-海泥线附近的细海砂中,细海砂孔隙率较大,有利于氧的传输和电荷在电极表面的转移,加快了腐蚀过程的进行,电极的阻抗值呈现减小的趋势。图8c是处于海水-海泥界面的7号电极的Nyquist谱,容抗弧半径先减小后增大,阻抗值也相应先减小后增大;第45 d时,阻抗值又急剧下降 (图9c)。腐蚀初期,溶解氧含量高,浸泡在海水区域的电极腐蚀加快,随着腐蚀过程的进行,形成厚实的腐蚀产物覆盖在电极表面,对电极腐蚀反应产生一定的阻力,电荷转移阻力增大,腐蚀速率减小;而到第45 d时,腐蚀产物出现裂痕,容易脱落,导致电极表面腐蚀反应速率加快,阻抗值迅速减小。8号电极的Nyquist谱如图8d所示,容抗弧半径呈现与7号电极一样的变化趋势,先减小后增大,阻抗值先增大后减小 (图9d);由于生成的腐蚀产物层阻碍了电荷转移,抑制了阴阳极反应,阻抗值增大。腐蚀后期,8号电极发生极性反转,由阴极电流密度变为阳极电流密度 (图5f),说明此时电极发生了阳极溶解反应,电极腐蚀速率加快 (图4)。由图9e和f可知,10号电极和12号电极的阻抗值都呈现出先增大后减小的趋势。Nyquist曲线中电极的容抗弧半径增大,电荷转移电阻增大,海水中高含量的溶解氧加快了电极的腐蚀,促进了电极表面腐蚀层的致密化。阻抗值发生减小的现象可能与电极发生电流极性逆转有关。由于SRB参与腐蚀反应,导致海泥底部的电极阴极电流增大,整个电极的腐蚀速率增大。

图7   X70管线钢在海水-海泥跃变区暴露不同时间的腐蚀电流与腐蚀电位变化曲线

Fig.7   Corrosion current density (a) and corrosion potential (b) of X70 pipeline steel after exposure for different time in the juncture area of seawater-sea mud

图8   海水-海泥跃变区中不同位置的电极随周期变化的Nyquist谱

Fig.8   Nyquist plots of EIS diagrams of 1# (a), 6# (b), 7# (c), 8# (d), 10# (e) and 12# (f) electrodes after exposure for different time in the juncture area of seawater-sea mud

图9   海水-海泥跃变区中不同位置的电极随周期变化的Bode图

Fig.9   Bode plots of EIS diagrams of 1# (a), 6# (b), 7# (c), 8# (d), 10# (e) and 12# (f) electrodes after exposure for different time in the juncture area of seawater-sea mud

3 结论

(1) X70管线钢在海水-海泥跃变区形成宏观腐蚀电池,发生电偶腐蚀。在腐蚀起始阶段,阴阳极面积不等,海泥区域及近海水-海泥界面的海水区域为电偶腐蚀阳极区域,部分海水区域为电偶腐蚀阴极区域。随着腐蚀过程的进行,电极的阴阳极电流密度增大,阴极和阳极反应区域相互交错。

(2) 海水中的电极腐蚀速率大于海泥中的。处于近海水-海泥界面区域的电极具有腐蚀电流峰,腐蚀程度较严重。

(3) 海泥中缺氧,电极腐蚀相对轻微,但在腐蚀后期海泥底部硫酸盐还原菌参与了腐蚀反应,生成了硫化物,导致阴极电流密度增大,加快了整个电极的腐蚀。

The authors have declared that no competing interests exist.


/