中国腐蚀与防护学报(中文版)  2018 , 38 (3): 289-295 https://doi.org/10.11902/1005.4537.2017.078

研究报告

添加DMF对TiO2薄膜光生阴极保护性能影响研究

邱萍, 杨连捷, 宋玉, 杨鸿飞

中国石油大学 (北京) 材料科学与工程系 油气装备材料失效与腐蚀防护北京市重点实验室 北京 102249

Influence of DMF Modified TiO2 Film on the Photogenerated Cathodic Protection Behavior

QIU Ping, YANG Lianjie, SONG Yu, YANG Hongfei

Beijing Key Laboratory of Failure, Corrosion and Protection of Oil/Gas Facilities, Department of Materials Science and Engineering, China University of Petroleum, Beijing 102249, China

中图分类号:  TG174.41

文章编号:  1005-4537(2018)03-0289-07

通讯作者:  通讯作者 邱萍,E-mail:qiuping@cup.edu.cn,研究方向材料腐蚀与防护

收稿日期: 2017-05-16

网络出版日期:  2018-06-20

版权声明:  2018 《中国腐蚀与防护学报》编辑部 《中国腐蚀与防护学报》编辑部

基金资助:  国家自然科学基金 (51301199) 和中国石油大学优秀青年教师研究项目 (2462015YQ0602)

作者简介:

作者简介 邱萍,女,1979年生,副教授

展开

摘要

在钛酸正丁酯水解溶胶中加入二甲基酰胺 (DMF),通过浸渍-提拉法制备了TiO2膜。应用XRD、Raman光谱、SEM和接触角测量等表征手段对比分析了无添加和添加DMF所制备TiO2膜在组成、微观形貌以及表面润湿性等方面的特性,并结合光电化学技术研究了该体系在紫外光作用下的光响应特征和光生阴极保护能力。结果显示,DMF的添加有效提升了TiO2膜的连续致密性,在光照作用下可对基体金属提供稳定的阴极保护,且表现出更加优异的暗态防护性能,有效阻止溶液中Cl-在膜层中的传输。

关键词: 光生阴极保护 ; 改性TiO2 ; 不锈钢 ; DMF

Abstract

TiO2 film surface normally presents micro porous after annealing treatment, which is one of the key factors on restraining the application of photogenerated cathodic protection of it. This study has prepared DMF modified TiO2 film by sol-gel and dip-coating method on the substrate of FTO glass. The influence of DMF on the corresponding film composition, microstructure and surface wettability are explored by XRD, Raman spectroscopy and SEM. The property of photo response and cathodic protection behavior of the film coupled with 316 stainless steel are studied under UV illumination. The results indicated that the addition of DMF has essentially improved the compact continuity of the TiO2 film, which supplies effective inhibition on the corrosive ions migration to the substrate. And the modified film presents comparable photogenerated cathodic protection property to that of pure TiO2 film.

Keywords: photogenerated cathodic protection ; modified TiO2 film ; stainless steel ; DMF

0

PDF (1401KB) 元数据 多维度评价 相关文章 收藏文章

本文引用格式 导出 EndNote Ris Bibtex

邱萍, 杨连捷, 宋玉, 杨鸿飞. 添加DMF对TiO2薄膜光生阴极保护性能影响研究[J]. 中国腐蚀与防护学报(中文版), 2018, 38(3): 289-295 https://doi.org/10.11902/1005.4537.2017.078

QIU Ping, YANG Lianjie, SONG Yu, YANG Hongfei. Influence of DMF Modified TiO2 Film on the Photogenerated Cathodic Protection Behavior[J]. Journal of Chinese Society for Corrosion and Protection, 2018, 38(3): 289-295 https://doi.org/10.11902/1005.4537.2017.078

丰富的海洋油气资源是我国能源开发的一个重要方向,以各种钢铁材料为主的工程装备为此提供了基础保障。但钢铁材料在海洋环境下腐蚀严重,从而严重影响设施的可靠性[1,2,3,4,5,6]。目前该类设施的防腐通常采用电化学保护与涂层防护相结合的方式。但当结构件尺寸异形时,电化学防腐无法保证其表面电流密度分布均匀,从而存在过保护或者欠保护的风险。而在涂层使用过程中,其表面会出现裂纹或破损等缺陷,将会降低其表面防腐效果[7,8,9,10,11,12,13]。因此,开发环境友好、高性能和长效防腐技术是非常迫切的。

目前,TiO2作为光生阴极保护薄膜代替牺牲阳极以达到阴极保护的效果受到重视。其具有良好的化学稳定性,无毒且价格低廉,因此有广阔的应用前景[14,15,16,17,18,19,20,21]。TiO2薄膜的制备方法有很多,包括基于溶胶-凝胶的涂层方法、电沉积、化学气相沉积、物理气相沉积、自组装制膜等[14,22-27]。但是TiO2薄膜在经退火处理后,表面通常会出现大量微裂纹等缺陷,这将大大降低薄膜的阻挡性以及对基体的防护性,因此该体系在暗态条件下对金属表面的防护作用几乎丧失。这是目前限制光生阴极保护涂层未能在防腐工程领域应用的关键问题之一。

针对该类问题,本工作的目的是制备连续致密的TiO2膜层,在不降低光生阴极保护的作用下而进一步提升该膜层的阻挡性以及对基体的防护性。本实验在钛酸正丁酯水解溶胶中加入二甲基酰胺 (DMF),通过浸渍-提拉法制备了TiO2膜,并以316L不锈钢为保护对象,研究了退火后的膜层组成和表面形貌,考察了其光电化学防护效果以及在暗态下的保护性能。

1 实验方法

1.1 TiO2溶胶的制备

参照文献[28]中溶胶的制备工艺,本实验取30.0 mL无水乙醇、10.4 mL钛酸正丁酯与1.0 mL乙酰丙酮,将三者倒入烧杯中混合并在室温下磁力搅拌30 min,制得A溶液。取10.0 mL无水乙醇、1.0 mL 2%(质量分数) 硝酸与 1.0 mL 蒸馏水,将三者倒入烧杯混合,调节pH值为2,得B溶液。A溶液在室温下磁力搅拌 30 min后立即将B溶液通过滴定管缓慢滴加到A溶液中,室温磁力搅拌2 h得到初步的 TiO2溶胶。当在B溶液中混合10 mL的DMF后,再按照上述步骤,将A溶液和含有DMF的B溶液混合,则制得DMF混合的TiO2溶胶。将所得溶胶陈化4 h得到相应的凝胶。实验中所用的试剂均为分析纯。

1.2 薄膜的制备

将得到的溶胶采用浸渍-提拉的方法在氟掺杂氧化锡透明导电玻璃 (FTO) 基体上制备所需薄膜,具体工艺如下:先将20 mm×30 mm规格的FTO依次经过丙酮、无水乙醇以及去离子水超声清洗15 min后待用。用镊子夹持FTO浸入纯TiO2溶胶或DMF/TiO2混合溶胶中,通过浸渍-提拉法可在FTO表面形成一层液膜。然后将FTO放入洗净的陶瓷坩埚中置于90 ℃烘箱中,烘干20 min后得到第一层薄膜。重复上述步骤在FTO上共制备3层薄膜。最后将该样品放入Muffle炉中,以3 ℃/min的升温速率加热至450 ℃,保温2 h后随炉冷却至室温,制备的样品待用。

1.3 金属电极的制备

实验中使用的金属材料为316L不锈钢,其主要成分 (质量分数,%) 为:C 0.02,Si 0.30,Ni 11.00,Cr 18.00,Mn 1.56,S 0.008,P 0.02,Fe余量。试样尺寸为2 cm×1.5 cm×0.2 cm,使用SiC砂纸逐级打磨至2000#后,再分别用乙醇和丙酮在超声波中反复清洗3次,每次5 min,吹干备用。

1.4 样品表征

采用上述溶胶-凝胶法制备的纯TiO2溶胶和添加了DMF的TiO2溶胶经退火处理后,所得干凝胶再研磨制备得到相应的粉末,分别进行XRD测试和Raman光谱测试。样品的晶体结构采用D8 Focus型X射线衍射仪 (XRD,Cu靶材) 测试,其管电压为40 kV,管电流为40 mA,扫描速率5°/min。同时采用HORIBAHR-800 Raman光谱系统分析样品的分子结构,配备激光器波长为514 nm,功率为9 mW。此外,用FEI Quanta 200F 扫描电子显微镜 (SEM) 对比观察TiO2薄膜的表面形貌,工作电压为20 kV。采用美国KINO Industry CO. Ltd公司的SL200KB接触角测量仪对样品的表面润湿性进行进一步分析,样品水平放置,测试液体为去离子水,接触角计算采用单圆拟合法,测试精度±0.1°。

1.5 薄膜的电化学性能及防护能力表征

本实验的光电化学测试所采用的光源为德国ZAHNER公司的LED光源,入射紫外光波长为340 nm。电化学工作站为IM6eX型电化学工作站。本次实验采用双电池体系。涂有TiO2薄膜的FTO置于光电解池中作为光阳极,电解液为0.2 mol/L Na2SO4溶液。在腐蚀电解池中采用三电极体系,其中工作电极为316L不锈钢,辅助电极为铂片,参比电极为饱和甘汞电极 (SCE),实验介质为3.5% (质量分数) NaCl溶液,两个电解池之间用盐桥连接,FTO与工作电极之间用导线连接。光致电压测试为两个循环周期,每个循环光照和暗态各持续5 min。电化学阻抗谱 (EIS) 测试在腐蚀电位或光生电位下进行,扰动电压为5 mV,测试频率范围是104~10-2 Hz。极化曲线测试范围设定为相对于开路电位的±120 mV区间,扫描速率为0.5 mV/s。

2 结果与讨论

2.1 TiO2表征

本实验采用溶胶-凝胶法制备了纯TiO2溶胶和添加了DMF的TiO2溶胶,进行退火处理后将得到的干凝胶经研磨制备得到粉末。对两种粉末样品分别进行XRD测试。所得结果见图1。两个样品在衍射角25.4°,38.1°和47.5°附近均出现了明显的特征峰,这是典型的锐钛矿型TiO2特征峰,表明样品主要成分为锐钛矿型TiO2。然而,添加了DMF的TiO2粉末的 (101) 晶面衍射峰的峰强稍有所减弱同时半高宽有所增加,这表明该样品的TiO2结晶程度减弱并且晶粒尺寸减小[29,30]

图1   退火处理后纯TiO2粉末和添加DMF的TiO2粉末的XRD谱以及对应的 (101) 晶面衍射峰的拟合结果

Fig.1   XRD spectra of pure TiO2 film and TiO2 film with DMF addition after annealing treatment at 450 ℃ (a) and corresponding (101) diffraction peak fitting as Lorentzian distribution (b)

对所制备粉末样品的结构和成分也进行了Raman光谱分析,如图2所示。可以看到,二者均在约151 cm-1出现一个强峰,其为Eg对称类型的O—Ti—O变角振动峰,对应锐钛矿相的特征峰。在398,514和638 cm-1处出现3个中等强度的峰分别对应于B1g,A1g或B1g以及Eg的Raman振动模。进一步分析可见,151 cm-1处特征峰的位置在添加DMF后略有蓝移且强度明显降低,这表明DMF的添加导致TiO2的晶格中缺陷增加,结晶程度降低[31]

图2   退火处理后纯TiO2粉末和添加DMF的TiO2粉末的Raman光谱以及对应的151 cm-1处Raman特征峰

Fig.2   Raman spectra of pure TiO2 film and TiO2 film with DMF addition after annealing treatment at 450 ℃ (a) and corresponding Raman shift of 151 cm-1 band (b)

本实验以钛酸正丁酯为钛源,制备了TiO2溶胶。图3a和b分别为未添加和添加DMF的溶胶经陈化4 h后的对比图。对于未添加DMF的体系,溶胶颜色较深,这是由于钛酸正丁酯的水解速率相对较快,形成胶粒比较大。而体系中加入DMF后,相应颜色较淡,这表明添加DMF可有效减缓胶凝速度,胶粒变小,分散均匀,这将有效减小溶胶在干燥时的内部应力,改善其在热处理过程中出现的膜层收缩开裂倾向。

图3   溶胶-凝胶法制备的纯TiO2溶胶和添加了DMF的TiO2溶胶经4 h陈化后的照片

Fig.3   Images of pure TiO2 sol (a) and TiO2 sol with DMF addition (b) after 4 h aging

为此,进一步表征了采用浸渍-提拉法在FTO基底上制备的薄膜经热处理后的表面微观形貌。图4a为纯TiO2薄膜的形貌图。可以看出,纯TiO2薄膜经过退火处理后,表面出现明显的裂纹,且局部出现涂层脱落现象。图4b是添加了DMF的TiO2薄膜的微观形貌,该薄膜相对致密连续,表面裂纹明显减少。

图4   退火处理后纯TiO2膜和添加DMF的TiO2膜的SEM像

Fig.4   SEM images of pure TiO2 film (a) and TiO2 film with DMF addition (b) after annealing treatment at 450 ℃

图5为纯TiO2膜和添加DMF的TiO2膜经热处理后,表面的固液平衡接触角对比情况。5组平行样的平均测试结果显示,纯TiO2样品的接触角为 (93.4±3.2)°,而添加DMF的样品为 (79.6±2.1)°。可以看出,DMF处理后样品表面润湿性得到改善。已有研究[32]指出,固体表面的平衡接触角与粗糙度密切有关,纯TiO2样品表面凹凸不平,既存在浸润的液体,又有滞留的气体,从而严重影响到溶液的铺展。

图5   退火处理后纯TiO2膜和添加DMF的TiO2膜表面水的接触角

Fig.5   Contact angle images of pure TiO2 film (a) and TiO2 film with DMF addition (b) after annealing treatment at 450 ℃

2.2 光生阴极保护效应

上述结果显示,DMF的添加有效改善了TiO2膜的微观结构、形貌和表面润湿性。该部分将进一步采用光电化学方法对比研究DMF的添加对TiO2薄膜在波长为340 nm的紫外光照射下的光生电位、离子传输特性以及防护性能的影响。

图6为316L不锈钢电极在3.5%NaCl溶液中分别与两种薄膜相耦合后,在光照和暗态条件下测得的光生电位随时间变化曲线。在紫外光照射下,纯TiO2薄膜所连接的不锈钢电极电位瞬间下降至-0.22 V,随后基本稳定在-0.2 V。而对于添加了DMF的TiO2薄膜所连接的不锈钢电极电位降低的幅度略小于纯TiO2薄膜的,稳定在约-0.16 V。对比不锈钢电极在3.5%NaCl溶液中的自腐蚀电位0.338 mV (vs SCE),两类薄膜均在光照作用下对不锈钢金属基体提供了必要的阴极保护作用。当两个体系在停止紫外光照射后均表现出迅速的光电响应。但添加了DMF的TiO2薄膜所连接的不锈钢电位回升速度稍快于纯TiO2薄膜的。这可能是由于添加了DMF的TiO2薄膜具有相对比较低的比表面积,导致有效荷电区域不足造成的,因此光生载流子的复合速度较快。另外,该类薄膜连接的不锈钢电位在暗态下约稳定在-42.3 mV (vs SCE),低于不锈钢基体的自腐蚀电位,这是不锈钢与该类薄膜Fermi能级平衡的结果。

图6   光照和暗态下与纯TiO2膜和添加DMF的TiO2膜耦连的316L不锈钢电极在3.5%NaCl溶液中的光生电位随时间变化关系

Fig.6   Time dependences of open circuit potential of 316L SS coupled with pure TiO2 film and TiO2 film with DMF addition in 3.5%NaCl solution under the illumination and dark conditions

光生电压结果显示,DMF的添加影响到TiO2薄膜的光电性能,但其暴露在腐蚀介质中后,体系的离子或电子的传输行为是另一项评价防护能力的重要指标。图7是316L不锈钢耦接了纯TiO2薄膜或添加DMF的TiO2薄膜在紫外光照射和暗态下的EIS谱。可以看出,未耦接的不锈钢样品的EIS谱与耦接的样品均呈现两个时间常数,但是在Nyquist图中耦接体系的低频区均出现了一个平台,在此近似处理为金属界面处还原过程的扩散效应所致。考虑到固体电极的弥散效应,因此该体系的电容元件用常相位角元件来代替。图8a为未耦接的不锈钢界面的拟合等效电路,图8b为耦接体系的拟合等效电路。其中,Rs为溶液电阻,R1和CPE1分别代表电极的膜电阻和电容性质,R2和CPE2分别对应的是界面处电荷转移电阻和双电层电容性质,W对应的是扩散引起的Warburg阻抗。根据上述两种等效电路对阻抗谱进行拟合后得到的结果见表1。与未耦接的不锈钢样品相对比,耦接后样品在暗态下电阻明显增加,这说明暗态下薄膜可以通过物理阻隔方式阻碍金属基体表面腐蚀,而且添加了DMF的TiO2薄膜体系的电阻增加更为显著,因此该体系更有效地阻止了介质中侵蚀性Cl-向基体的迁移,从而表现出更加优异的暗态防护性能。而在光照条件下,耦接后样品在光照下的电荷转移电阻大幅下降,这可以理解为光生电子的注入促进了界面处的电化学反应。

图7   在3.5%NaCl溶液中316L不锈钢电极及其与两种薄膜相耦合后,在光照和暗态条件下测得的EIS谱

Fig.7   Nyquist (a) and Bode (b) plots of 316L SS electrode uncoupled and coupled with pure and DMF added TiO2 films in 3.5%NaCl solution under the dark and illumination conditions

图8   3.5%NaCl溶液中316L不锈钢电极以及与两种薄膜相耦合后阻抗谱的拟合等效电路

Fig.8   Equivalent circuits used to fit EIS spectra of 316L SS electrode uncoupled (a) and coupled (b) with pure and DMF added TiO2 films in 3.5%NaCl solution under the dark and illumination conditions

表1   电化学阻抗谱拟合结果

Table 1   Impedance parameters obtained by fitting EIS data according to the equivalent circuits in Fig.8

ConditionRs
Ω·cm2
CPE1R1
Ω·cm2
CPE2R2
kΩ·cm2
W-R
kΩ·cm2
Y0 / 103 Ω-1·cm-2·snnY0 / 104 Ω-1·cm-2·snn
No photoanode1.120.840.58120.32.120.81216.7---
Pure TiO2, illuminated1.844.130.86323.17.940.7752.617.11
TiO2/DMF, illuminated13.61.260.91640.57.760.7572.336.39
Pure TiO2, dark1.822.360.75223.35.970.82617.04.87
TiO2/DMF, dark13.88.330.82485.54.710.89120.43.32

新窗口打开

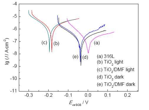
图9是316L不锈钢耦接了纯TiO2薄膜和添加DMF的TiO2薄膜在紫外光照射和暗态下的极化曲线。相应的电化学参数列于表2。从实验结果可以看出,光照条件下纯TiO2薄膜和添加DMF的TiO2薄膜所耦接的不锈钢的腐蚀电位均出现了明显的下降,分别下降147和157 mV,低于316L不锈钢的腐蚀电位。此时不锈钢明显处于极化状态,薄膜对不锈钢提供了有效的阴极保护。此外,两类耦联体系在光照下的电流密度相差不大,且由于光生电子注入不锈钢基体导致其表面发生极化作用,相应的阳极极化电流密度增加显著,而阴极极化电流密度变化不大。由拟合结果可以看出,光照下的电流密度比暗态下的增加了近10倍,因此极化作用下界面电化学反应将加速进行。

图9   316L不锈钢电极在NaCl溶液中的极化曲线

Fig.9   Polarization curves of 316L SS electrode uncoupled and coupled with pure and DMF added TiO2 films in 3.5%NaCl solution in the dark and illumination conditions

表2   极化曲线拟合结果

Table 2   Fitting electrochemical parameters of polarization curves

Conditionβa
mV·dec-1
Βc
mV·dec-1
Icorr
μA·cm-2
Ecorr
mV·SCE-1
No photoanode158.4-68.90.5890.338
Pure TiO2,illuminated120.7-93.45.252-183
TiO2/DMF,illuminated145.5-100.25.941-195
Pure TiO2, dark154.3-99.20.721-36.3
TiO2/DMF, dark127.8-102.70.101-38.2

新窗口打开

TiO2薄膜在热处理后表面出现的微裂纹等缺陷,限制了其对金属表面的防护作用。该研究工作中,虽然DMF的添加小幅影响到TiO2薄膜的光电性能,但该体系的膜电阻增加显著,因此采用此简单方式对TiO2薄膜进行改性,是一种有效的提升其防护性能的手段。同时,下一步研究工作也有必要在此基础上提升该体系的光电性能。

3 结论

(1) DMF的添加有效减小了TiO2溶胶在干燥时的内部应力,改善了其在热处理过程中出现的膜层收缩开裂倾向,膜层更加致密连续且浸润性显著提升。同时,由于结晶程度有所损失,造成光生阴极保护电位略有衰减。

(2) 添加DMF后TiO2薄膜暗态电阻显著提升,可有效阻止介质中侵蚀性Cl-向基体的迁移,从而表现出更加优异的暗态防护性能。

The authors have declared that no competing interests exist.


/