中国腐蚀与防护学报(中文版)  2018 , 38 (3): 233-240 https://doi.org/10.11902/1005.4537.2017.170

研究报告

S2-对A710钢在NaCl溶液中腐蚀行为的影响

王玉昆12, 刘静1, 胡骞1, 黄峰1

1 武汉科技大学 省部共建耐火材料与冶金国家重点实验室 武汉 430081 2 北京科技大学 钢铁共性技术协同创新中心 北京 100083
2 北京科技大学 钢铁共性技术协同创新中心 北京 100083

Effect of S2- on Corrosion Behavior of A710 Steel in NaCl Solution

WANG Yukun12, LIU Jing1, HU Qian1, HUANG Feng1

1 State Key Laboratory of Refractories and Metallurgy, Wuhan University of Science and Technology, Wuhan 430081, China
2 Steel Common Synergy Innovation Center, University of Science and Technology Beijing, Beijing 100083, China

中图分类号:  TG142.71

文章编号:  1005-4537(2018)03-0233-08

通讯作者:  通讯作者 刘静,E-mail:liujing@wust.edu.cn,研究方向为高性能钢铁材料及服役性能

收稿日期: 2017-10-17

网络出版日期:  2018-06-20

版权声明:  2018 《中国腐蚀与防护学报》编辑部 《中国腐蚀与防护学报》编辑部

基金资助:  湖北省科技支撑计划 (2015BAA083)

作者简介:

作者简介 王玉昆,男,1990年生,硕士生

展开

摘要

采用室内静态挂片失重实验方法、动电位极化法、FE-SEM表面微观观察和XRD物相分析等技术,研究了A710钢在高S2-含量的3.5%NaCl溶液中的腐蚀行为。结果表明:S2-的加入能够增强钢基体表面的活性,导致维钝电流密度增大,钝化区间变窄,均匀腐蚀速率增加;在含有S2-的NaCl溶液中形成的腐蚀产物膜结构疏松,存在孔隙和裂纹,促进了膜下点蚀的发生。

关键词: 高强钢 ; S2- ; 海洋环境 ; 点蚀

Abstract

The corrosion behavior of A710 steel in high S2- containing 3.5% (mass fraction) NaCl solutions was investigated by means of weight loss measurement, electrochemical measurement, FE-SEM and XRD. Results showed that the addition of S2- could promote the activation of the steel surface, which in turn leads to the increase of passivation current density. The corrosion product scale formed in the S2- containing NaCl solutions was loose with pores and cracks, while pitting corrosion occurred beneath the corrosion product scale.

Keywords: high-strength steel ; S2- ; marine environment ; pitting

0

PDF (6925KB) 元数据 多维度评价 相关文章 收藏文章

本文引用格式 导出 EndNote Ris Bibtex

王玉昆, 刘静, 胡骞, 黄峰. S2-对A710钢在NaCl溶液中腐蚀行为的影响[J]. 中国腐蚀与防护学报(中文版), 2018, 38(3): 233-240 https://doi.org/10.11902/1005.4537.2017.170

WANG Yukun, LIU Jing, HU Qian, HUANG Feng. Effect of S2- on Corrosion Behavior of A710 Steel in NaCl Solution[J]. Journal of Chinese Society for Corrosion and Protection, 2018, 38(3): 233-240 https://doi.org/10.11902/1005.4537.2017.170

随着海洋资源的大量开发,对于高强海洋工程用钢的需求日益增多。A710钢作为一种具有优良耐腐蚀性能和抗氧化性的高强钢,在海洋工程应用中具有广泛前景。本课题组前期的研究表明[1],A710钢在3.5% (质量分数) NaCl溶液中生成的腐蚀产物较致密,保护性好,基体的腐蚀比较均匀和轻微,具有良好的耐蚀性。然而,钢铁材料在海洋环境中除了受到Cl-的侵蚀外,还有可能受到其他侵蚀性离子的作用。比如,近年来发生了多起油井泄露或运输船漏油事件以及沿海化学工业排放的废水、废气,导致海水中S2-浓度逐渐增大,而S2-具有极强的电负性和活性,对金属表面的破坏性较大[2]

已有研究表明,S2-的存在能够导致金属材料的局部腐蚀,如点蚀[2]和晶间腐蚀[3,4];在有应力存在条件下,还会产生应力腐蚀破裂[5]等。S2-能够与金属离子结合生成硫化腐蚀产物,对金属材料的腐蚀具有显著的影响[6,7]。如在Ag-Cu-Al-Y合金的硫化腐蚀过程中,优先与Cu反应生成Cu2S[3]。课题组前期研究结果表明,在含H2S环境中,X65 MS耐酸管线钢表面主要生成3种不同晶相的FeS产物膜,且会随着pH值和H2S浓度的不同而发生变化,其对钢基体不具保护性[8]。另外,S2-能够对金属表面钝化膜起到破坏作用[9,10]。如针对316L不锈钢,S2-使钝化膜钝态电流显著增加,同时降低了不锈钢电极的阻抗值[11]。S2-的存在促进了碳钢的点蚀,主要是通过与Fe形成FeS膜进而与钝化膜的生成起竞争作用[12]。还有研究认为,FeS膜的生成,既有利于阴极极化,又有利于阳极去极化,从而加强了基体金属的腐蚀[13]。而且,不同种类S2-的腐蚀产物对腐蚀的影响也不同,如随着S2-浓度的升高,腐蚀产物由FeS逐渐向FeS2和FeSn转变,FeS较为活泼,容易继续反应;FeS2腐蚀膜层较为致密稳定,能延缓碳钢进一步腐蚀;FeSn腐蚀膜层疏松多孔不能延缓碳钢的腐蚀[14]

综上所述,S2-的存在对于金属材料的腐蚀具有显著的影响,但对作用机制尚不十分明确,特别是针对含S2-对点蚀的影响研究很少。本文利用电化学方法和各种表面观察/分析技术研究了S2-对A710钢在3.5% (质量分数) NaCl溶液中的平均腐蚀速率、腐蚀产物形貌和腐蚀基底形貌及腐蚀产物类型的影响,讨论了A710钢在高S2-含量的3.5%NaCl溶液中的腐蚀机理。研究结果对于了解A710钢在含有S2-的NaCl溶液中的腐蚀行为及其在海洋工程中应用时防护措施的选择均具有参考价值。

1 实验方法

1.1 实验材料与溶液

实验材料取自武钢生产的A710高强钢板,尺寸为:200 mm×200 mm×10 mm,其化学成分 (质量分数,%) 为:C 0.037,Si 0.284,Mn 0.596,Cu 1.094,Al 0.041,Ni 1.191,Cr 0.741,Mo 0.193,Nb 0.031,Fe余量。

本实验中所用的两种溶液分别为:3.5%NaCl和400 mg/L Na2S+3.5%NaCl溶液。所用化学试剂均为分析纯级别。

1.2 测试方法

1.2.1 失重实验 将A710钢切割成30 mm×15 mm×2 mm的试样进行挂片浸泡失重实验,共24片,用水磨砂纸逐级打磨工作面至1000#,再用酒精清洗吹干放在干燥箱中备用。将准备好的试样分别浸泡在3.5%NaCl以及400 mg/L Na2S+3.5%NaCl溶液中,温度设定为 (25±1) ℃。分别在第1,4,16和32 d从各个溶液中取出3个平行样。利用除锈液 (500 mL HCl+500 mL H2O+3.5 g六次甲基四胺) 去除试样表面的腐蚀产物,再用分析天平 (精确到1 mg) 和游标卡尺对试样进行称重和尺寸测量。利用下式计算平均腐蚀速率:

V=8.76104Δm/ρst

式中,V为平均腐蚀速率,单位mm/a;△m为腐蚀失重,单位为g;ρ为钢的密度7.8 g/cm3,s为试样表面积,单位为cm2;t为腐蚀时间,单位为h。

1.2.2 电化学测试 利用线切割机将A710钢切割成10 mm×10 mm×2 mm的片状试样,在其背面焊接铜导线后用环氧树脂封装,水磨砂纸逐级打磨工作面至1000#,用酒精清洗吹干作为工作电极 (WE),将其分别放在25 ℃的3.5%NaCl和400 mg/L Na2S+3.5%NaCl溶液中浸泡,以饱和甘汞电极 (SCE) 为参比电极 (RE),Pt片为辅助电极 (CE) 组装成三电极体系,利用CS350电化学工作站分别在第1,4,16和32 d进行动电位扫描测试。扫描电位区间均为-1.3 ~0.5 V,扫描速率为0.5 mV/s。无特殊说明,文中所有电位均参照饱和甘汞参比电极。

1.2.3 腐蚀产物形貌观察和物相分析 利用场发射扫描电镜 (SEM,FEI No-va400Nano) 对浸泡不同时间的试样表面腐蚀产物以及锈层厚度进行微观形貌观察。并利用X射线衍射仪 (XRD,Shimadu XRD-6000,CuKα) 对腐蚀产物物相进行表征。浸泡失重实验后,利用酒精清洗试样表面再用冷风吹干,在体式显微镜下观察除锈后试样的表面宏观形貌。

2 结果与讨论

2.1 S2-对平均腐蚀速率的影响

图1给出了A710钢在3.5%NaCl和400 mg/L Na2S+3.5%NaCl的溶液中平均腐蚀速率随时间的变化曲线。从整体上看,A710钢在两种腐蚀介质中的平均腐蚀速率随浸泡时间延长均呈下降的趋势,这是因为A710钢在NaCl溶液中能生成具有保护性的腐蚀产物[1],降低了平均腐蚀速率。进一步观察可见,在含有S2-的NaCl溶液中,A710钢的腐蚀速率较单纯NaCl溶液中的要高,这可能与其在腐蚀介质中生成的腐蚀产物形貌、致密程度以及成分组成有关,这将在后面部分进行详细讨论。

图1   A710钢在两种溶液中浸泡不同时间后的平均腐蚀速率

Fig.1   Average corrosion rates of A710 steel after immersion in two solutions for different time

2.2 S2-对腐蚀产物膜形貌和化学成分演变的影响

A710钢在3.5%NaCl溶液中浸泡不同时间后的微观腐蚀形貌如图2所示。可以清楚观察到,随着浸泡时间的延长,其腐蚀产物越来越多地覆盖在A710钢表面上,并且变得越来越致密,从而能够更好地减缓腐蚀。当溶液中存在S2-时,A710钢浸泡不同时间后的腐蚀形貌如图3所示。可看出,4 d之后,出现大量的腐蚀产物,且这些产物致密的覆盖在钢基体表面,表面有瘤状物生成,这种瘤状物附着在金属表面,形成垢下腐蚀,加速了金属的局部腐蚀[13]。在第32 d时表面的腐蚀产物连成整体,其表面可见裂纹。而腐蚀产物表面出现的孔洞、裂纹也会加速局部腐蚀的产生,比如点蚀[12]。且在实验中观察到溶液中出现大量的黑褐色腐蚀产物,说明其与钢基体表面的结合程度不高,容易发生脱落。

图2   A710钢在3.5%NaCl溶液中浸泡不同时间后的表面微观形貌

Fig.2   Surface micro-morphologies of A710 steel after immersing in 3.5%NaCl solution for 1 d (a), 4 d (b), 16 d (c) and 32 d (d)

图3   A710钢在400 mg/L Na2S+3.5%NaCl溶液中浸泡不同时间后的表面微观形貌

Fig.3   Surface micro-morphologies of A710 steel after immersing in 400 mg/L Na2S+3.5%NaCl solution for 1 d (a), 4 d (b),16 d (c) and 32 d (d)

A710钢在3.5%NaCl和400 mg/L Na2S+3.5%NaCl溶液中浸泡32 d后锈层的截面形貌如图4所示。可以清楚观察到,含S2-溶液中形成的锈层厚度小于在不含S2-溶液中的,而在含S2-溶液中的平均腐蚀速率大于在不含S2-溶液中的,说明了在含S2-溶液中的腐蚀产物与基体发生了分离脱落,且存在裂纹、孔洞与点蚀,这与表面微观形貌和去除腐蚀产物后所观察到的结果相吻合。

图4   A710钢在3.5%NaCl和400 mg/L Na2S+3.5%NaCl溶液中浸泡32 d后锈层截面照片

Fig.4   Cross sections of A710 steel after immersion in 3.5%NaCl (a) and 400 mg/L Na2S+3.5%NaCl (b) solutions for 32 d

对在含S2-溶液中浸泡不同时间的试样,除去表面腐蚀产物后,用三维体式显微镜观察基体的微观腐蚀形貌,结果如图5所示。可见基体上有点蚀发生,而且随着浸泡时间的延长,点蚀的个数逐渐增多,尺寸增大,并逐渐合并为更大的腐蚀坑。但从腐蚀深度来看,点蚀并未随浸泡时间的延长而深入发展,32 d之内都未超过10 μm。而A710钢在不含S2-溶液中浸泡1 d后,基体均可见轻微的腐蚀,打磨痕迹仍然可见,16 d后基体仍存在少量较浅的腐蚀坑 (见文献[1]图6a~c),有明显的点蚀发生[1]。说明S2-的存在能够导致腐蚀产物膜下基体的点蚀,这可能是由于硫化物腐蚀产物膜的生成造成的。

图5   在400 mg/L Na2S+3.5%NaCl溶液中浸泡不同时间后A710钢基体的腐蚀形貌

Fig.5   Corrosion morphologies of A710 steel after immersed in 400 mg/L Na2S+3.5%NaCl solution for 1 d (a), 4 d (b), 16 d (c) and 32 d (d)

另外,为了进一步确定含与不含S2-溶液中腐蚀产物的差别,将浸泡16和32 d的试样表面腐蚀产物收集起来,进行XRD物相分析,结果如图6所示。在3.5%NaCl中,A710钢腐蚀产物主要为Fe3O4,α-FeOOH,β-FeOOH和γ-FeOOH。一般认为,α-FeOOH是腐蚀后期形成的一种稳定腐蚀产物,具有较好的连续性和致密性,能够有效阻止腐蚀性介质对基体的侵蚀,对基体具有很好的保护作用[15]。这也是A710钢在NaCl溶液中腐蚀较为轻微的原因。当溶液中有S2-存在时,腐蚀产物除了上述组成外,还检测到FeS的存在。而常温常压下生成的FeS通常是疏松多孔,并不具有物理屏障作用。同时,由于其具有阴离子选择性[16],成为Cl-的扩散通道,进而会促进基体点蚀生成。

图6   A710钢在两种溶液中浸泡16和32 d后腐蚀产物的XRD谱

Fig.6   XRD spectra of corrosion products of A710 steel after immersion in 3.5%NaCl (a) and 400 mg/L Na2S+3.5%NaCl (b) solutions for 16 and 32 d

2.3 S2-对A710钢动电位极化行为的影响

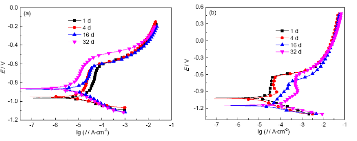
浸泡不同时间后,对A710钢进行动电位扫描测试,结果如图7所示。在所有测试时间内,在两种介质中动电位极化曲线的阳极段均呈现出明显的钝化行为,说明在两种介质中A710钢在阳极极化的条件下能够生成具有保护作用的氧化产物。阴极均呈现活化极化行为。

图7   A710钢在两种溶液中浸泡不同时间后的动电位极化曲线

Fig.7   Potentiodynamic polarization curves of A710 steel after immersed in 3.5%NaCl (a) and 400 mg/L Na2S+3.5%NaCl (b) solutions for different time

为了定量分析S2-对A710钢在3.5%NaCl溶液中均匀腐蚀速率的影响,对上述动电位极化曲线进行拟合,拟合结果见表1,其中维钝电流密度Ipass随时间的变化如图8所示。从表和图中可看出,当存在S2-时,Ipass均明显大于不含S2-的情况,而且随着浸泡时间的延长,Ipass逐渐由第1 d的27.6 μA·cm-2增大至第16 d的33.3 μA·cm-2,而第32 d显著增大至278.2 μA·cm-2。这说明S2-能够破坏A710钢表面钝化膜的保护性,且随时间的延长这种破坏作用越明显。这与上述的含与不含S2-溶液中形成的腐蚀产物形貌和化学成分不同有关。

表1   A710钢在两种溶液中浸泡不同时间的Ecorr和钝化电位区间

Table 1   Ecorr and passivation potential range of A710 steel after immersed in two solutions for different time

Immersion time / d3.5%NaCl400 mg/L Na2S+3.5%NaCl
Ecorr / mVPassivation potential range / mVΔE / mVEcorr / mVPassivation potential range / mVΔE / mV
1-965-855~-633222-1012-872~-656216
4-955-877~-645232-1030-843~-657186
16-871-785~-631154-1153-844~-739105
32-862-784~-612172-1141-785~-621164

新窗口打开

图8   A710钢在两种溶液中浸泡不同时间的Ipass变化曲线

Fig.8   Blunted current densities of A710 steel after immersed in two solutions for different time

为了进一步分析S2-对极化行为的影响,对极化曲线中自腐蚀电位和钝化电位区间进行了比较 (表1)。在相同的浸泡时间内,存在S2-时A710钢的Ecorr明显低于不含S2-Ecorr,这说明S2-的加入能够增强A710钢表面的电化学活性。而且,随浸泡时间的延长,钝化区向右移动,说明S2-破坏了钝化膜的稳定性。而随着浸泡时间的延长,不含S2-溶液中的Ecorr逐渐正移,而含S2-溶液中的Ecorr逐渐负移,腐蚀倾向增加。在相同的浸泡时间内,存在S2-时,A710钢的钝化电位区间与不含S2-的相比变窄,说明更容易发生点蚀,这与基体表面观察到的点蚀相吻合。

2.4 S2-对A710钢在3.5%NaCl溶液中腐蚀的影响机理探索

为了更直观说明S2-对A710钢在3.5%NaCl溶液中腐蚀的影响机理,建立A710钢在两种腐蚀介质中腐蚀过程示意图,如图9所示。在NaCl溶液中,Cl-首先吸附在试样表面缺陷处,发生阳极反应;同时缺陷周围试样表面为阴极区,发生吸氧腐蚀[17],其反应方程式如下:

阳极反应: Fe-2e-Fe2+(1)

FeCl2+2H2OFe(OH)2+2H++2Cl-(2)

阴极反应: O2(g)+2H2O+4e-4OH-(aq)(3)

图9   S2-对A710钢在3.5%NaCl溶液中腐蚀过程影响示意图

Fig.9   Effect of S2- on the corrosion process of A710 steel in 3.5%NaCl solution

当溶液中含有S2-时,开始发生的反应和在NaCl溶液中的反应相同。然而随着反应的进行,S2-到达缺陷处,一方面与Cl-发生竞争吸附作用,另一方面直接参与反应。所以当Fe2+遇到溶液中的OH-和S2-就会生成Fe(OH)2和FeS,如下式所示:

Fe2++2OH-Fe(OH)2(4)

Fe2++S2-FeS(5)

产生的FeS和Fe(OH)2覆盖在钢基体表面,由于生成的Fe(OH)2不稳定,随着反应的持续进行还将发生一系列的氧化还原反应见下式:

4Fe(OH)2+2H2O+O24Fe(OH)3(6)

Fe(OH)3FeOOH+H2O(7)

8FeOOH+Fe2++2e-3Fe3O4+4H2O(8)

6Fe(OH)2+O22Fe3O4+6H2O(9)

XRD的分析结果 (图6) 也证实了上述产物的存在。在NaCl溶液中,由于FeOOH和Fe3O4较致密且与钢基体表面的结合程度高,能够阻碍Cl-进入,所以会抑制腐蚀的进一步发生。而当有S2-存在时,生成的FeS腐蚀产物疏松、结合能力较差,且具有阴离子选择性,提供了Cl-进入的通道,使蚀坑内的Cl-继续富集从而导致点蚀的发生。

3 结论

(1) A710钢在含与不含S2-的NaCl溶液中随着浸泡时间的延长,腐蚀速率均呈现下降趋势,且S2-的添加加速了A710钢在NaCl溶液中的平均腐蚀速率。

(2) S2-的添加增加了A710钢在NaCl溶液中的电化学活性,使其稳定钝化区变窄,维钝电流密度提高;且随着浸泡时间的延长,维钝电流密度持续增大。

(3) 当存在S2-时,生成的FeS腐蚀产物疏松、结合能力较弱,保护性较差,导致了膜下点蚀的发生;且随着浸泡时间的延长,点蚀的个数逐渐增多,尺寸增大,并逐渐合并为更大的腐蚀坑。

The authors have declared that no competing interests exist.


/