重庆大学化学化工学院 重庆 400044
中图分类号: TG174.46
文章编号: 1005-4537(2017)05-0435-09
通讯作者:
收稿日期: 2017-04-20
网络出版日期: 2017-10-15
版权声明: 2017 《中国腐蚀与防护学报》编辑部 《中国腐蚀与防护学报》编辑部
基金资助:
作者简介:
作者简介 张新芳,女,1990年生,硕士生
展开
摘要
通过在正硅酸乙酯水解过程中加入硅烷偶联剂得到了杂化硅溶胶,进而采用提拉法在AZ31镁合金表面制备了无机-有机杂化硅膜。利用SEM和AFM观察了膜层的表面形貌,利用XPS和FT-IR分析了膜层的组成,通过动电位极化曲线和EIS研究了膜层的防护性能。结果表明,杂化膜层均匀、致密,完整覆盖在镁合金基体表面;杂化膜层的阻值 (1.717×104 Ωcm2) 大于传统铬酸盐转化膜的阻值 (1.611×104 Ωcm2),样品的腐蚀电流密度相对于裸金属的下降了约2个数量级。硅烷偶联剂的位阻效应可以有效调节传统的正硅酸乙酯水解缩聚过程,使形成的杂化硅溶胶在成膜时不易产生团簇,保证了膜层的致密完整,从而能够很好地阻挡腐蚀介质的渗透,对镁合金发挥良好的防护作用。
关键词:
Abstract
The hybrid silane sol was prepared by adding silane coupling agent in the hydrolyzing tetraethyl orthosilicate (TEOS), and then the organic-inorganic hybrid silane-coating was successfully prepared on the AZ31 Mg-alloy using a simple dip-coating method. The morphology and composition of the hybrid coating were characterized by scanning electron microscopy (SEM), atomic force microscopy (AFM), energy dispersion spectroscopy (EDS), X-ray photoelectron spectroscopy (XPS) and Fourier transform infrared spectroscopy (FT-IR). Moreover, the corrosion resistance of the hybrid silane-coating was studied by means of potentiodynamic polarization and electrochemical impedance spectroscopy (EIS). The results showed that the Mg-alloy substrate was completely covered with organic-inorganic hybrid silane-coating, which was uniform and compact. The resistance of the hybrid silane-coating (1.717×104 Ωcm2) is higher than that of the conventional chromate conversion coating (1.611×104 Ωcm2), and correspondingly, the corrosion current density of the AZ31 alloy with coating is about 2 orders of magnitude lower than that of the bare alloy. The steric effect of the silane coupling agent can effectively adjust the traditional hydrolysis polycondensation process of TEOS and prevent the hybrid silane sol from further clustering. The as-prepared coating is compact and uniform, which can resist the corrosive medium and provide excellent protection for Mg-alloy.
Keywords:
镁合金被誉为“21世纪绿色工程材料”,在汽车、航天、电子、化工、医学等行业具有广泛的应用前景[1-4]。但镁合金具有极高的化学和电化学活性 (纯Mg的电极电位仅为-2.37 V),极易腐蚀[5-7],因此采用合适的表面处理技术有效提高镁合金的耐蚀性是拓展其应用的关键。目前报道的镁合金表面处理方法主要有:化学转化、阳极氧化、微弧氧化、溶胶-凝胶等[8-11]。其中,溶胶-凝胶法因为处理过程简单、对基体形状要求宽松等优点而得到人们的重视[11-14]。特别是SiO2溶胶-凝胶膜已经成为常用的镁合金表面防护膜之一[15,16]。
SiO2溶胶-凝胶膜通常由正硅酸乙酯水解形成溶胶,进而通过提拉等方法在镁合金表面形成凝胶膜。但研究[17,18]表明,这种情况形成的溶胶在镁合金表面成膜时容易形成团簇,致使最后得到的凝胶膜有龟裂纹,严重影响膜层的防护性能。为解决此问题,本文利用硅烷偶联剂γ-氨基丙基三甲氧基硅烷(γ-APS) 的位阻效应调节传统的正硅酸乙酯水解缩聚过程,形成无机-有机杂化硅溶胶,进而通过提拉处理,最终在AZ31镁合金表面制备了无机-有机杂化硅膜。采用电化学方法研究了杂化硅膜样品的耐蚀性,并与未处理样品及铬酸盐化学转化样品进行了比较。采用多种表面分析技术表征了膜层的形貌和组成。在此基础上,探讨了膜层的形成机制及耐蚀机理。
实验材料为AZ31镁合金,其化学成分 (质量分数,%) 为:Al 3.05,Zn 1.02,Mn 0.2,Si 0.8,Fe 0.003,Cu 0.01,Ni 0.001,Mg余量。试样切割为底面积1.0 cm2、厚度0.3 cm的圆片。电化学测试时,将镁合金圆片安装到电极套中,只暴露1.0 cm2的工作面积。
所用试剂主要有无水乙醇、正硅酸乙酯、K2Cr2O7、丙酮、NaOH、硝酸、NaCl和γ-APS。除正硅酸乙酯为化学纯外,其它试剂均为分析纯。所有溶液均由纯水配制。
镁合金的前处理:镁合金基体→依次用300#、800#的水砂纸打磨至表面光滑平整→纯水冲洗→脱脂 (丙酮超声3 min)→纯水冲洗→冷风吹干→碱蚀处理 (50 ℃下,在0.01 mol/L KOH溶液中浸泡20 min)→热纯水冲洗→纯水冲洗→冷风吹干。
杂化硅溶胶的制备:移取10 mL无水乙醇于50 mL干燥烧杯中,然后再分别移取2.6 mL正硅酸乙酯和1.0 mL的硅烷偶联剂γ-APS缓慢加到上述烧杯中,摇匀,然后在室温下静置4 h,即得杂化硅溶胶。
杂化硅膜 (HC) 的形成:将经过前处理的镁合金试样浸没于杂化硅溶胶中1 min,然后匀速取出于空气中干燥1 min,再重新浸入溶胶中,重复提拉5次,之后在室温下自然干燥24 h。经扫描电子显微镜 (SEM,DFC295) 观察样品断面确定杂化硅膜的厚度约为150 nm。
铬酸盐转化膜 (CCC) 的形成[19]:将经过前处理的镁合金试样浸入30 ℃的铬酸盐处理液 (重铬酸钾:硝酸:水=11.7:22.8:65.6,质量分数) 中5 min,取出,纯水冲洗,冷风吹干。经SEM观察样品断面,确定铬酸盐转化膜的厚度约为150 nm。
利用AJ-III 型原子力显微镜 (AFM) 、配有能量色散谱 (EDS) 探头的VEGA II LMU型SEM、ESCALAB250型X射线光电子能谱仪 (XPS) 和Nicolet IN 10型红外光谱仪 (FT-IR) 表征杂化硅膜的形貌及组成。电化学方法测试膜层防护性能在CHI660C型电化学工作站上进行。电化学阻抗谱 (EIS) 及极化曲线测量采用三电极体系,参比电极为饱和甘汞电极,辅助电极为Pt电极 (3 mm×3 mm),工作电极分别为杂化硅膜试样、铬酸盐转化膜试样及空白镁合金试样 (Blank)。腐蚀介质为0.005 mol/L NaCl溶液,测试温度为30 ℃。极化曲线测量前,先将工作电极浸泡在腐蚀介质中进行100 s自腐蚀电位扫描,待自腐蚀电位Ecorr稳定后再进行测试。极化曲线的电位扫描范围为Ecorr-300 mV~Ecorr+250 mV,扫速为0.5 mV/s。EIS测量在开路电位下进行,频率范围为105~10-1 Hz,所加交流信号幅值为±5 mV。
分别利用AFM、SEM和EDS表征了制备的杂化硅膜的表面形貌和主要元素分布,见图1。图1a和b的SEM结果显示,膜层致密平整,无龟裂纹。图1c和d的EDS分析结果表明,元素Si和O在膜层中分布均匀、密集,说明膜层完整均匀地覆盖在镁合金基体表面。进一步利用AFM对膜层进行表征 (图1e),结果显示膜层由大量纳米颗粒均匀紧密排列组成。
为了更深入地了解膜层的组成,对杂化硅膜样品进行了XPS和FT-IR表征,结果分别见图2和3。图2a为杂化硅膜的XPS全谱,可以看出膜层含有F、O、Si和C 4种元素。图2b~e分别为F 1s,O 1s,Si 2p和C 1s的高分辨谱。F 1s高分辨谱显示其结合能为688.9 eV,对应于C—F中的F[20]。O 1s高分辨谱可以拟合成结合能分别为532.9,532.4和532.0 eV的3个峰,其中位于532.9 eV的峰一般对应于—Si—O—Si中的O[21],而其他两个峰分别对应于—Si—O—H的O[22]。Si 2p高分辨谱可以拟合成结合能分别为103.0和102.4 eV的两个峰,分别对应于Si—O和Si—C中的Si[23]。C 1s高分辨谱则可以拟合为结合能分别为286.6,285.2和284.7 eV的3个峰,这3个峰分别对应于—CF3,—CF2,—CH2—CH3中的C[24]。分析样品的FT-IR谱 (图3),位于3388和800 cm-1处的宽峰可归属于Si—O—H的伸缩振动和变形振动吸收峰,1116和460 cm-1附近的强吸收峰则是Si—O—Si的伸缩振动峰和面内弯曲振动峰[15,25],在2929和2896 cm-1处出现的弱吸收峰为—CH2—CH2—中C—H键的不对称和对称伸缩振动,1445 cm-1处则出现了—CH2的剪式振动[20],1242 cm-1附近的谱带则对应于C—F的振动吸收峰[25,26]。上述XPS和FT-IR结果证实了制备的膜层为无机-有机杂化硅膜。
图1 膜层表面SEM、AFM形貌图和元素面分布
Fig.1 SEM micrographs (a, b) and elemental EDS mapping images (c, d) of the surface of as-prepared hybrid silane coating, and AFM surface micrograph (e)
图2 膜层表面的XPS全谱及F 1s,O 1s,Si 2p和C 1s的高分辨谱
Fig.2 Survey spectrum (a) and high-resolution spectra of F 1s (b), O 1s (c), Si 2p (d) and C 1s (e) of hybrid silane coating
2.2.1 极化曲线 图4为空白试样、传统铬酸盐转化膜试样和杂化硅膜试样在0.005 mol/L NaCl腐蚀介质中的动电位极化曲线。采用极化曲线Tafel区外推法对图4中的极化曲线进行分析,可以得到腐蚀电位 (Ecorr)、Tafel斜率 (ba和bc) 和腐蚀电流密度 (Icorr) 等参数,如表1所示。可以看出,与空白试样相比,两种膜层试样的腐蚀电位均发生正移,阴极支与阳极支均向低电流密度方向移动。其中,杂化硅膜试样的腐蚀电流密度比空白试样的小了约2个数量级,比传统铬酸盐转化膜试样的小了约1个数量级。这表明杂化硅膜试样的抗腐蚀能力远远优于空白试样的,也优于传统铬酸盐转化膜试样的,杂化硅膜对镁合金基体具有很好的防护作用。
图4 不同镁合金试样在0.005 mol/L NaCl溶液中的极化曲线
Fig.4 Polarization curves of three kinds of samples in 0.005 mol/L NaCl solution
表1 解析
Table 1 Electrochemical parameters derived from polarization curves shown in
| Sample | Ecorr(vs SCE) V | bc mVdec-1 | ba mVdec-1 | Icorr Acm-2 |
|---|---|---|---|---|
| Blank | -1.525 | 158.5 | 111.4 | 7.76×10-5 |
| CCC | -1.449 | 182.7 | 133.0 | 6.58×10-6 |
| HC | -1.467 | 137.8 | 81.6 | 8.24×10-7 |
2.2.2 电化学阻抗谱 图5a为空白试样、传统铬酸盐转化膜试样和杂化硅膜试样在0.005 mol/L NaCl腐蚀介质中的EIS。根据阻抗谱特征,设计了如图5b和c所示等效电路分别用于解析图5a中空白试样和膜层试样的阻抗谱。其中,Rs为溶液电阻,Rt为电荷转移电阻,Cdl为双电层电容,Rc为膜层电阻,CPEc为代表膜层电容的常相位角元件,解析结果列于表2中。可以看出,空白试样的Rt值 (2.712×103 Ωcm2) 较小,表明其抵抗腐蚀的能力很弱,极易发生腐蚀;杂化硅膜HC的阻值 (1.717×104 Ωcm2) 大于传统铬酸盐转化膜CCC的阻值 (1.611×104 Ωcm2),而HC的电容值 (4.52 μFcm-2) 小于CCC的电容值 (40.32 μFcm-2),表明杂化硅膜比传统铬酸盐转化膜更为致密,对镁合金基体具有更好的防护性能。
图5 不同镁合金试样在0.005 mol/L NaCl溶液中的EIS和相应的等效电路图
Fig.5 Nyquist diagrams of different samples in 0.005 mol/L NaCl solution (a), equivalent circuits used for fitting EIS experimental data of the blank sample (b) and the coating samples (c)
表2 解析
Table 2 Fitting parameters of EIS for different samples in 0.005 mol/L NaCl solution
| Sample | Rs / Ωcm2 | Yc / Ω-1cm-2sn | n | Rc / Ωcm2 | Cc / μFcm-2 | Rt / Ωcm2 | Cdl / μFcm-2 |
|---|---|---|---|---|---|---|---|
| Blank | 5.5 | --- | --- | --- | --- | 2.712×103 | 0.37 |
| CCC | 6.9 | 53.02×10-6 | 0.89 | 1.611×104 | 40.32 | --- | --- |
| HC | 10.3 | 5.81×10-6 | 0.71 | 1717×104 | 4.52 | --- | --- |
为进一步考察杂化硅膜的稳定性和耐久性,还测试了杂化硅膜试样在0.005 mol/L NaCl溶液中于不同浸泡时间的阻抗谱 (图6a),并设计了图6b等效电路用于解析图6a中的阻抗谱结果。各参数物理意义同前,解析结果列于表3中。可以看出,在前4 h,由于腐蚀性Cl-的侵入,杂化硅膜的阻值随着浸泡时间的延长缓慢下降,表明膜层受到破坏。但从5 h开始,杂化硅膜的阻值又逐渐增大,这可能是由于腐蚀过程产生OH-,使受损膜层的—Si—OH重新缩聚,对膜层有所修复,这种自修复行为使制备的杂化硅膜具有较为持久的防护作用。
图6 杂化硅膜试样在0.005 mol/L NaCl溶液中于不同浸泡时间的EIS及等效电路图
Fig.6 Nyquist diagrams of magnesium alloy treated with hybrid silane coating after immersion in 0.005 mol/L NaCl solution for 6 h (a) and corresponding equivalent circuit used for fitting EIS experimental data (b)
表3 解析
Table 3 Electrochemical parameters derived from Nyquist diagrams shown in
| Time / h | Rs / Ωcm2 | Yc / Ω-1cm-2sn | n | Rc / Ωcm2 | Cc / μFcm-2 | Rt / Ωcm2 | Cdl / μFcm-2 |
|---|---|---|---|---|---|---|---|
| 1 | 5.09 | 5.09×10-6 | 0.89 | 1.023×104 | 4.77 | 5.570×103 | 2.9 |
| 2 | 7.12 | 5.42×10-6 | 0.89 | 9.479×103 | 5.09 | 4.967×103 | 3.4 |
| 3 | 7.25 | 5.80×10-6 | 0.89 | 9.476×103 | 5.51 | 4.897×103 | 4.0 |
| 4 | 7.31 | 6.26×10-6 | 0.89 | 9.437×103 | 5.85 | 4.919×103 | 4.8 |
| 5 | 6.27 | 6.47×10-6 | 0.89 | 1.017×104 | 6.05 | 5.056×103 | 5.0 |
| 6 | 5.12 | 6.77×10-6 | 0.88 | 1.118×104 | 6.18 | 5.675×103 | 6.2 |
2.2.3 浸泡实验 图7和8分别为空白试样、传统铬酸盐转化膜试样和杂化硅膜试样在0.005 mol/L NaCl溶液中浸泡不同时间的数码照片和光学显微镜像。可以看出,空白试样浸泡1 d后表面就有明显的腐蚀现象,3 d后开始出现严重的腐蚀坑;铬酸盐转化膜试样3 d后也出现了明显的黑色腐蚀产物;而杂化硅膜试样经过7 d的浸泡,膜层表观基本无变化。这再次证实了杂化硅膜对镁合金良好的防护性能。
图7 不同镁合金试样在0.005 mol/LNaCl溶液中浸泡不同时间的数码照片
Fig.7 Digital photos of blank (a, d, g, j), CCC (b, e, h, k) and HC (c, f, i, l) samples after immersed in 0.005 mol/L NaCl solution for 0 d (a~c), 1 d (d~f), 3 d (g~i) and 7 d (j~l)
图8 不同镁合金试样在0.005 mol/L NaCl溶液中浸泡不同时间的光学显微像
Fig.8 Optical micrographs of blank (a, d, g, j), CCC (b, e, h, k) and HC (c, f, i, l) samples after immersed in 0.005 mol/L NaCl solution for 0 d (a~c), 1 d (d~f), 3 d (g~i) and 7 d (j~l)
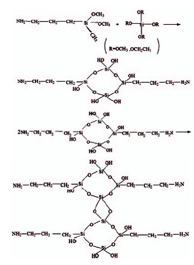
2.3.1 成膜机制 采用单一的正硅酸乙酯水解制备硅溶胶、进而通过提拉等方法在镁合金表面形成凝胶膜时,由于制备的溶胶中含有羟基等极性高的基团,表面能很高,会自发团聚以降低表面能,所以溶胶很容易发生团簇现象,致使最后得到的凝胶膜有龟裂纹,严重影响膜层的防护性能。而硅烷偶联剂具有很大的位阻,其水解后的产物通常无法形成立体网络结构,大部分产物用于与正硅酸乙酯缩聚形成的SiO2网络表面的羟基脱水缩合,生成更多的Si—O—Si键,起到表面修饰作用,阻止团簇的形成。因此,本文利用硅烷偶联剂硅烷的位阻效应对正硅酸乙酯的水解缩聚过程进行调节,从而形成有机-无机杂化硅溶胶用于制备镁合金表面防护膜层。杂化硅溶胶的形成过程推测如下面反应式所示[27]:

制备的杂化硅溶胶呈碱性,而镁合金表面在碱性条件下容易被活化生成氧化物或水合物质,易与杂化溶胶中的硅醇发生反应而紧密结合在一起。
2.3.2 耐蚀机理 利用硅烷偶联剂的位阻效应对正硅酸乙酯的水解缩聚过程进行调节,可以有效抑制溶胶中团簇的形成,从而可以在镁合金表面制备均匀、致密、完整的膜层。且由于制备的杂化硅膜兼具无机物和有机物的性质,有机相与无机相之间以化学键相连,形成无明显界面的整体,因此可以有效提高试样的耐蚀性。另外,杂化硅溶胶与镁合金基体之间结合紧密,这也有助于改善膜层对基体的防护效果。因此,杂化硅膜试样表现出良好的耐蚀性。
(1) 利用硅烷偶联剂的位阻效应调节正硅酸乙酯的水解缩聚过程以有效抑制溶胶中团簇的形成,进而通过提拉处理在AZ31镁合金表面制备了厚度约为150 nm的无机-有机杂化硅膜。该膜层由大量纳米颗粒均匀紧密排列组成。膜层均匀、致密、完整,无龟裂纹产生。
(2) 杂化硅膜对镁合金具有很好的防护效果:膜层的阻值为1.717×104 Ωcm2,大于传统铬酸盐转化膜的阻值1.611×104 Ωcm2,样品的腐蚀电流密度相对于裸金属下降了约2个数量级。并且,由于杂化硅膜的自修复行为,这种高效防护作用比较持久。
The authors have declared that no competing interests exist.
/
| 〈 |
|
〉 |