中国腐蚀与防护学报  2017 , 37 (2): 175-182 https://doi.org/10.11902/1005.4537.2016.136

研究报告

湿态电绝缘对电偶腐蚀行为的影响

赵欣1, 胡裕龙1, 董赋1, 张晓东2, 王智峤1

1 海军工程大学理学院 武汉 430033
2 海军工程大学科研部 武汉 430033

Effect of Moistened Electrical Insulation on Galvanic Corrosion Behavior of Dissimilar Metals

ZHAO Xin1, HU Yulong1, DONG Fu1, ZHANG Xiaodong2, WANG Zhiqiao1

1 College of Science, Naval University of Engineering, Wuhan 430033, China
2 Office of Research & Development, Naval University of Engineering, Wuhan 430033, China;

中图分类号:  TG172.5

文章编号:  1005-4537(2017)02-0175-08

通讯作者:  通讯作者 胡裕龙,E-mail:huyl0702@hotmail.com,研究方向为金属腐蚀与防护

收稿日期: 2016-08-31

网络出版日期:  2017-04-20

版权声明:  2017 《中国腐蚀与防护学报》编辑部 《中国腐蚀与防护学报》编辑部

作者简介:

作者简介 赵欣,女,1987年生,硕士生

展开

摘要

采用串联不同阻值电阻和3种不同的湿态绝缘材料进行了模拟异种金属电绝缘连接构件的电偶腐蚀实验,研究了湿态电绝缘状态对船体钢-白铜电偶腐蚀的影响。结果表明:绝缘材料在湿态下可成为电子导电的材料,湿态绝缘材料的电阻既包括离子导电引起的离子电阻Ri,还包括电子导电引起的电子电阻Re。湿态电绝缘下的白铜-船体钢电偶对中船体钢的腐蚀行为主要与湿绝缘材料的Re有关。当Re小于1 kΩ时,串联电阻时的电偶电流可高于直接短接时的电偶电流,船体钢的腐蚀速率可高于直接短接时的;当Re大于1 kΩ时,Re越大,电偶电流越小,船体钢的腐蚀速率越低。湿态绝缘材料Re的形成与绝缘材料的材质有关,选择合适的电绝缘材料是防止白铜-船体钢电偶腐蚀的关键。

关键词: 电偶腐蚀 ; 电绝缘处理 ; 湿态绝缘材料 ; 电子电阻

Abstract

The effect of moistened electrical insulation on galvanic corrosion behavior of dissimilar metals was investigated with a simulated galvanic corrosion setup, which consisted of a cell containing 3%NaCl solution with hull steel and cupronickel as electrodes and then by series connecting resistance elements or moistened insulation materials into the circuit. The results showed that through moistening the insulation material can be transformed into electrical conducting material. The resistance of moistened insulation material (Rm) may involve ionic resistance (Ri) and electrical resistance (Re), which are produced respectively by ionic conducting and electrical conducting. The corrosion behavior of the hull steel for the couple steel/cupronickel beneath a moistened insulation material may relate to the term Re. When Re is not higher than 1 kΩ, the galvanic current of the couple connected with a resistance element of a moistened insulation material may higher than that of the short-circuited couple, and the corrosion rates of hull steel of the couples connected with resistance elements may higher than that the short-circuited couple. When Re is higher than 1 kΩ, the galvanic currents of the couples connected with resistance elements decreased with the increase of Re, whilst the corrosion rate of the hull steel of the couples connected with resistance elements decreased with the increase of Re. The conduction of the moistened insulation material related to the nature of insulation material, the key to prevent galvanic corrosion of couple hull steel/cupronickel is the appropriate selection of insulation material.

Keywords: galvanic corrosion ; treatment of electrical insulation ; moistened insulation material ; electrical resistance

0

PDF (1136KB) 元数据 多维度评价 相关文章 收藏文章

本文引用格式 导出 EndNote Ris Bibtex

赵欣, 胡裕龙, 董赋, 张晓东, 王智峤. 湿态电绝缘对电偶腐蚀行为的影响[J]. , 2017, 37(2): 175-182 https://doi.org/10.11902/1005.4537.2016.136

ZHAO Xin, HU Yulong, DONG Fu, ZHANG Xiaodong, WANG Zhiqiao. Effect of Moistened Electrical Insulation on Galvanic Corrosion Behavior of Dissimilar Metals[J]. 中国腐蚀与防护学报, 2017, 37(2): 175-182 https://doi.org/10.11902/1005.4537.2016.136

为满足不同使用性能的需求,船舶 (尤其是舰船) 内存在大量的异种金属连接构件,因此存在较为严重的电偶腐蚀问题[1,2]。在异种金属间进行电绝缘处理是常用的电偶防腐方法,如在金属表面进行表面处理[3]、在异金属连接部位之间添加绝缘材料[4]、将异金属接头绝缘包覆以隔离介质[5]等。对于电绝缘处理的异种金属连接构件,绝缘性能的好坏直接决定着防腐的效果[6,7]。在绝缘材料选用和使用过程中的绝缘性能评价通常采用测量电阻的方法,如海水管路密封垫片的电阻要求不低于500 kΩ[4],使用中的海水管路在干燥后的电阻大于1 kΩ即认为电绝缘处于合格状态。然而,由于异种金属构件的实际使用状态为湿态,干态电阻无法准确地评估湿态下的绝缘性能变化,用干态时的电阻评价电绝缘构件的绝缘效果及其相关的腐蚀问题存在明显的不合理性。绝缘材料由于吸水、老化等原因可导致绝缘性能下降[8-10],从而使电绝缘处理构件的防腐蚀效果下降[11],引起电绝缘构件的异常腐蚀。目前,测量海水中异种金属间的电位差是评价电绝缘状态的主要方法。如当白铜-钢连接的海水管路充满海水时,测量的电位差大于150 mV即认为电绝缘处于合格状态[12]。然而,对于异金属间的电位差评判指标的确定依据,目前还未见相关的系统研究,湿态电绝缘时电偶对中金属的腐蚀行为尚不清楚。因此,非常有必要对电绝缘异种金属构件的绝缘性能的变化及其对电偶腐蚀的影响进行研究,以正确评价电绝缘部件的防腐情况及其阳极性金属的腐蚀行为。

本文通过在船体钢和海水管路用白铜电偶对中分别串联不同阻值的电阻和不同湿态绝缘材料,通过测量绝缘材料的湿态电阻,进行湿态电绝缘异种金属连接构件的模拟实验,以研究湿态绝缘性能对船体钢-白铜电偶对中钢腐蚀行为的影响。

1 实验方法

1.1 实验材料

实验选用低合金高强度船体结构钢 (简称船体钢) 和BFe10-1-1合金 (简称B10合金) 作为实验用金属材料,二者的化学成分 (质量分数,%) 分别见表1

表1   船体钢和B10合金的化学成分

Table 1   Chemical compositions of low-alloy high strength steel (hull steel) and B10 alloy (mass fraction / %)

MaterialCSiMnSPNiCrPbZnCuFe
Hull steel≤0.110.5~0.80.6~0.12≤0.015≤0.0250.5~0.80.6~0.9------0.4~0.6Bal.
B10<0.010---≤0.789<0.005---≤10.73---<0.010≤0.029Bal.≤1.74

新窗口打开

为了考察异种金属间的绝缘电阻对异种金属电偶腐蚀的影响,选用目前船用石棉纤维、氯丁橡胶和聚氯乙烯作为实验用绝缘材料,分别标记为J1,J2和J3。船用石棉纤维和氯丁橡胶片分别由浙江凯灵船厂和江苏科技大学提供,聚氯乙烯板为市场采购的台塑集团产品。

1.2 绝缘材料的性能测试

1.2.1 吸水率实验 参照GB/T 1034中的实验方法,进行绝缘材料吸水率的测定。实验时将表面积为10 cm2的样片浸泡在 (30±1) ℃的3%(质量分数)NaCl溶液中,使用精度为0.0001 g的分析天平定期进行称重,将实验材料的增重 (吸水量) 除以初始重量即为吸水率。

1.2.2 绝缘材料湿态电阻的测量 将面积为30 cm2的绝缘材料试样固定在自行设计的测试装置中,采用电化学阻抗法测量绝缘材料的湿态电阻 (Rm),测试仪器为CS350电化学工作站,测试频率6000 Hz,施加20 mV的电位偏振,测试装置及电化学工作站接线如图1所示。

图1   湿态绝缘电阻测量示意图

Fig.1   Schematic outline of resistance measurement ofmoistened insulation materials

1.3 电偶腐蚀实验

金属试样的实验面积为4 cm2,实验面经砂纸打磨至1000#后,用丙酮和无水乙醇依次清洗后干燥待用。将面积比为1∶1的船体钢与B10固定偶接。在电偶对间分别串联10,2,1,0.5和0.2 kΩ的电阻,或串联不同的绝缘材料。将电偶对浸泡在 (30±1) ℃的3%NaCl溶液中,船体钢与B10的实验面间距为5 cm,实验周期为48 h。为了模拟电绝缘构件实际使用中的绝缘状态,将绝缘材料在室温3%NaCl溶液中浸泡90 d后再串联入电偶对外电路进行模拟湿绝缘状态下的实验。试样的连接及电化学测试示意图如图2所示。以饱和甘汞电极 (SCE) 为参比电极、Pt片为辅助电极,使用 CST500电偶腐蚀测试仪定期测量电偶对中两种金属的电位和它们之间的电偶电流,使用CS350电化学工作站测量电偶对中船体钢在腐蚀电位下的电化学阻抗谱,阻抗谱测试时的电位偏振为10 mV,频率范围为105~10-2 Hz。为了对比,同时进行船体钢与B10短路连接的电偶实验。

图2   电偶腐蚀实验装置示意图

Fig.2   Schematic outline of galvanic corrosion experiment device

2 结果与讨论

2.1 绝缘材料的性能测试

2.1.1 吸水率的测量结果 3种绝缘材料的吸水率随浸泡时间的变化曲线如图3所示。可看出,J1的吸水率明显大于J2的,J2的吸水率又明显大于J3的。从吸水率的变化过程看,J1的吸水率先快速增大,浸泡8 d后吸水率基本趋于稳定;J2的吸水率开始增大较快,10 d后吸水率仍缓慢上升;J3的吸水率很小,随着浸泡时间延长吸水率略有增加。

图3   3种绝缘材料吸水率变化曲线

Fig.3   Variations of water absorption rates of three insulation materials

2.1.2 绝缘材料Rm的测量结果 实验用绝缘材料的Rm随浸泡时间的变化曲线如图4所示。在实验初期,J3的Rm明显大于J1的,J1的Rm又明显大于J2的。随着浸泡时间的延长,J1的Rm急剧下降,浸泡8 d后J1的Rm基本趋于稳定,随着浸泡时间的延长略有下降。J2的Rm随浸泡时间的变化不大,甚至随着浸泡时间的延长略有增大。J3的Rm随着浸泡时间的延长而缓慢下降。在浸泡10 d后,J3的Rm明显大于J2的,J2的又明显大于J1的。对比图3和4可看出,对于J1和J3,绝缘材料的Rm与吸水率有明显的对应关系,即随着浸泡时间的延长,材料的吸水率增大,Rm下降;而对于J2,Rm与吸水率之间对应关系不明显。浸泡90 d后,J1,J2和J3的Rm分别约为300,4000和8000 Ω。

图4   3种绝缘材料的湿态电阻 (Rm) 变化曲线

Fig.4   Changes of resistances of three moistened insulationmaterials (Rm)

2.2 串联不同电阻时的电偶腐蚀实验结果

2.2.1 电位 船体钢的自腐蚀电位及电偶对中船体钢的腐蚀电位随时间的变化曲线如图5a所示。在浸入3%NaCl溶液后,船体钢的自腐蚀电位及电偶对中船体钢的腐蚀电位迅速负移,自腐蚀电位在实验2 h后基本趋于稳定,而电偶对中船体钢的腐蚀电位约在实验12 h后基本趋于稳定。浸泡36 h后,船体钢的自腐蚀电位约为-0.610 V。对于电偶对中的船体钢,串联不同电阻时的稳定电位相差不大,浸泡36 h后,腐蚀电位为-0.650~-0.665 V。在实验时间内,相对于自腐蚀电位,电偶对中的船体钢的电位发生了明显的负移,负移的电位值约为50 mV。以上实验结果表明,电偶作用对船体钢的腐蚀行为产生了明显的影响。司卫华[13]在研究钛合金与钢的电偶腐蚀行为中也发现,在实验时间低于5 d时,电偶对中钢的电位也低于自腐蚀电位,但随着实验时间的延长,电偶对中钢的电位正于自腐蚀电位。实验初期船体钢电位的迅速负移,应与腐蚀初期试样表面状态的变化有关。

图5   串联电阻的电偶对的腐蚀电位变化曲线

Fig.5   Changes of corrosion potentials of the couples containing series resistors: (a) hull steel, (b) B10 alloy

B10合金的自腐蚀电位及电偶对中B10的腐蚀电位随时间的变化曲线如图5b所示。在浸入溶液初期,B10的自腐蚀电位也发生负移,在浸泡8 h后,B10的自腐蚀电位基本处于稳定。而对于电偶对中的B10,在浸入溶液初期,B10的腐蚀电位也发生负移,但负移的程度与串联的电阻密切相关,串联的电阻R越大,电位负移越小;在浸泡12 h后,电偶对中B10的电位基本处于稳定,串联的电阻越大,B10的电位越正。

在浸泡24 h后,B10合金与船体钢的平均自腐蚀电位差约为350 mV,电偶对中B10与船体钢的电位差∆E (3个平行试样的平均值) 与串联电阻R的关系如图6所示,电偶对的电位差∆E随着串联电阻R的增大而增大。

图6   B10与船体钢的电位差∆E与串联电阻R的关系

Fig.6   Potential difference (∆E) of B10-hull steel couple as a function of series resistance

2.2.2 电偶电流 船体钢和B10合金之间的电偶电流Ig与实验时间的关系曲线如图7所示。可以看出,在实验初期 (小于4 h),当串联电阻R>1 kΩ时,初始电偶电流较小,电偶电流随着时间的延长而快速增大;而当R≤1 kΩ时,初始电偶电流较大,随着时间的延长电偶电流快速减小。这表明串联电阻的大小对电偶腐蚀初期有明显的影响。电偶电流的大小与串联电阻、船体钢和B10之间的电位差有关。当串联电阻较小时,电偶电流受电偶对的电位差影响较大,随着腐蚀的进行,电偶对中金属的互相极化而使电位差变小,因而电偶电流随着时间的延长而快速减小;而当串联电阻较大时,电偶电流受串联电阻的影响较大,初始的电偶电流较小,随着实验时间的延长,船体钢试样表面氧化膜逐步遭到破坏而使电偶电流快速增大。在实验12 h后,电偶电流基本趋于稳定。实验24 h后的平均稳态电偶电流与R的关系曲线如图8所示。当串联电阻R>1 kΩ时,R越大,电偶电流越小。而当R≤1 kΩ时,R对电偶电流影响不大,电偶电流基本接近于直接短路时的电偶电流,这可能与试样表面状态有关[14]

图7   串联电阻的电偶对电偶电流Ig随时间的变化曲线

Fig.7   Changes of galvanic currents (Ig) of the couples containing different series resistors with time: (a) R≥1 kΩ, (b) R<1 kΩ

图8   稳态电偶电流与串联电阻之间的关系曲线

Fig.8   Stable galvanic current vs series resistance

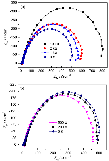
2.2.3 电化学阻抗谱 腐蚀48 h时,测定了电偶对中船体钢的电化学阻抗谱,如图9所示。以LRs(QRp) 为等效电路,使用Zsimpwin软件对电化学阻抗谱进行拟合,拟合所得的Rp(3次平行实验的平均值) 及相应串联电阻时的稳定电位差 (24 h后的平均值) 如表2所示。从图9表2可看出,当电偶对中串联电阻R≥1 kΩ时,船体钢的阻抗谱容抗弧半径均明显大于直接短接时的阻抗谱,阻抗谱容抗弧的半径明显随着串联电阻的增大而增大,电偶对中船体钢的极化电阻Rp明显随串联电阻的增大而增大;但当串联电阻R<1 kΩ时,电阻的影响不是很明显,串联电阻时的船体钢的阻抗谱容抗弧半径甚至小于直接短接时的阻抗谱,串联电阻时的船体钢的Rp甚至小于直接短接时的。孙保库等[15]在研究串联电阻与B10-Tup紫铜电偶腐蚀实验中也发现,随串联电阻增大,电偶腐蚀效应有先增大后减小的变化趋势。

图9   串联电阻的电偶对腐蚀48 h后船体钢的电化学阻抗谱

Fig.9   EIS of hull steel in the couples containing series resistors after immersion for 48 h: (a) R≥1 kΩ, (b)R<1 kΩ

表2   电偶对的稳定电位差∆E和EIS拟合的船体钢极化电阻Rp随串联电阻R的变化

Table 2   Variations of potential difference (∆E) of the couple and fitted polarization resistance (Rp) of hull steel with series resistance (R)

R / ΩE / mVRp of hull steel / Ωcm2
00467.2
20029500.4
50034475.0
100049589.5
2000120663.5
10000252950.6

新窗口打开

2.3 串联不同绝缘材料时的电偶腐蚀实验结果

串联入电偶对的J1,J2和J3的实测Rm分别为1600,4400和7300 Ω,J1的Rm明显高于2.1节中的测试值,这应与试样的吸水量有关。在进行串联湿态绝缘材料的电偶腐蚀实验时,由两个紫铜片夹住绝缘材料并浸泡在3%NaCl溶液中,绝缘材料承受一定的压力,这使绝缘材料的吸水量低于前面单独进行Rm测试时的吸水量。由于J1的吸水率大,电偶腐蚀实验时实际的吸水率会明显低于2.1节中Rm测试时的吸水率,导致J1的Rm测试值明显增大。

2.3.1 电位 船体钢的自腐蚀电位及电偶对中船体钢的腐蚀电位随时间的变化曲线如图10a所示。电偶对中船体钢的腐蚀电位约在腐蚀12 h后基本趋于稳定,浸泡36 h后,船体钢的腐蚀电位约为-660 mV。B10的自腐蚀电位及电偶对中B10的腐蚀电位随时间的变化曲线如图10b所示。串联的绝缘材料的湿态电阻越大,B10的电位越正。这表明串联绝缘材料时也产生了明显的电偶效应,电偶的作用使B10的电位明显负移,负移程度与湿态电阻明显相关。绝缘材料的湿态绝缘电阻越大,B10的电位负移程度越小。

图10   串联湿态绝缘材料的电偶对的腐蚀电位随时间变化曲线

Fig.10   Changes of corrosion potentials of the couples containing moistened insulation materials with time: (a) hull steel, (b) B10

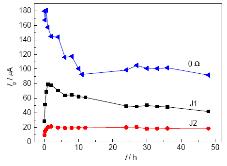
2.3.2 电偶电流 船体钢和B10之间的电偶电流与时间的关系曲线如图11所示。图中未给出串联J3时的电偶电流,这是由于串联J3时的船体钢和B10之间的电偶电流很小,接近断路。从图11可看出,在浸泡初期,串联J1和J2的电偶电流很小,随着浸泡时间的延长而迅速增大,电偶电流在浸泡2 h时达到最大。这是由于J1和J2的电阻较大,电偶电流主要受串联电阻的影响,随着浸泡时间的延长,由于船体钢试样表面氧化膜逐步遭到破坏而使电偶电流快速增大。随着电偶腐蚀继续发展,电偶电流逐渐趋于稳定,直接短路时的稳定电偶电流明显大于串联J1时的电偶电流,串联J1的稳定电偶电流又明显大于串联J2时的,即串联的绝缘材料的湿态电阻越大,电偶电流越小。这表明,电子可以流过电偶间串联的湿态绝缘材料而产生电偶电流。对比前面的吸水率实验结果可知,电子流过绝缘材料的阻力与吸水率、湿态电阻有关,吸水率越大,湿态电阻越小,电子流动的阻力越小,电偶电流越大,电偶效应越明显。以上表明,绝缘材料在湿态下可成为电子导电的材料,这可能与渗入的水分、离子和电场作用下产生的空间电荷有关[16-20]。但这种作用与材料的材质有关,串联湿态J3时,基本不发生电子导电。

图11   串联湿态绝缘材料的电偶对的电偶电流Ig随时间的变化曲线

Fig.11   Changes of galvanic currents (Ig) of the couples containing moistened insulation materials with time

对比图11图4可知,绝缘材料的湿态电阻与普通电阻并不完全对应。绝缘材料的湿态电阻可用图12的等效电路表示,湿态电阻既包括离子导电引起的离子电阻Ri,还包括电子导电引起的电子电阻Re[20],而普通电阻则没有Ri的部分。J1和J2的湿态电阻既包含Ri,也包含Re,而J3的湿态电阻基本不包含Re。对比图11图7可知,浸泡过程中J1和J2的湿态电阻分别约为1.5和4.5 kΩ,与串联电阻时的情况明显不同;串联J1和J2时的电偶电流明显小于串联等阻值电阻时的电偶电流。湿态绝缘材料中电荷流动应主要与Re有关,根据电偶电流与电位差的关系,可近似获得湿态绝缘材料的Re。浸泡24 h时,串联J1和J2的电偶对的金属间电位差分别为254和275 mV,电偶电流分别为49.06和19.79 μA;浸泡48 h时,串联J1和J2的电偶对的金属间电位差分别为247和255 mV,电偶电流分别为41.45和18.15 μA。由此可得,J1的Re约为5 kΩ,而J2的Re约为14 kΩ。串联J3时的电偶电流接近为0,这表明湿态J3的Re非常大。

图12   湿态绝缘材料的等效电路模型

Fig.12   Equivalent circuit model of moistened insulation material

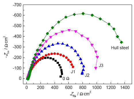
2.3.3 电化学阻抗谱 在浸泡48 h时,对串联绝缘材料电偶对中的船体钢进行了电化学阻抗谱测试,得到的电化学阻抗谱如图13所示。以LRs(QRp) 为等效电路,使用Zsimpwin软件对电化学阻抗谱进行拟合,拟合所得的Rp(3次平行实验的平均值)及相应串联绝缘材料时的稳定电位差∆E (24 h后的平均值) 如表3所示,自腐蚀时的Rp平均值为1754 Ωcm2。从图13可看出,船体钢自腐蚀时的电化学阻抗谱的容抗弧明显大于串联J3时的阻抗谱,串联J3的阻抗谱容抗弧半径明显大于串联J2的,串联J2的阻抗谱容抗弧半径明显大于串联J1的,而串联J1的阻抗谱容抗弧半径明显大于直接短接时的。电化学阻抗谱的结果表明,串联湿态绝缘材料后,船体钢腐蚀时的极化电阻明显大于电偶对短路连接时的极化电阻,而且极化电阻随着绝缘材料湿态电阻的增大而增大;也就是说,串联绝缘材料后,船体钢的腐蚀速率明显降低,而且腐蚀速率随着湿态电阻的增大而减小。电化学阻抗谱的结果同时也表明,串联湿态电阻时的船体钢的极化电阻明显低于船体钢自腐蚀时的,说明湿态绝缘处理的电偶对中船体钢的腐蚀速率大于其自腐蚀时的。

图13   串联湿态绝缘材料的电偶对浸泡48 h后船体钢的电化学阻抗谱

Fig.13   EIS of hull steel of the couples containing moistened insulation materials after immersion for 48 h

表3   串联湿态绝缘材料的电偶对的稳定电位差∆E和EIS拟合的船体钢极化电阻Rp

Table 3   Potential differences (∆E) of the couples containing moistened insulation materials and fitted polarization resistances (Rp) of hull steel

ConditionE / mVRp of hull steel / Ωcm2
Open circuit3501754
Series connectionJ1247765.2
with insulationJ2263897.7
materialJ34171454

新窗口打开

对比表2和3的结果可知,串联的电阻和湿态绝缘材料对B10-船体钢电偶对中船体钢的腐蚀有明显的影响。当电偶对中串联电阻时,金属间的电位差∆E随着串联电阻的增大而增大,当串联电阻大于1 kΩ时,随着串联电阻的增大,船体钢腐蚀速率减小。根据表3的数据估算,当金属间的电位差∆E为150 mV时,金属间的电阻约为4 kΩ,此时船体钢腐蚀时的Rp约为750 Ωcm2。当电偶对中串联湿态绝缘材料时,串联3种绝缘材料时的∆E均大于150 mV,∆E与湿态绝缘材料的种类有关,∆E随着绝缘材料湿态电阻中电子电阻的增大而增大。对比两种条件下的实验结果可知,用∆E来评价湿态电绝缘状态并不是很准确。如串联湿态石棉橡胶 (J1) 时,虽然电位差∆E显著大于150 mV,但船体钢仍处于较快的腐蚀状态,船体钢腐蚀速率与串联电阻时∆E为150 mV时的腐蚀状态相当。

当前的评判标准为:海水中使用的管路干燥后,若无短路并且电阻大于1 kΩ时即认为电绝缘处于合格状态[12]。从本研究的结果看,串联电阻最低的湿态绝缘材料J1时,实验时的湿态电阻 (湿态绝缘材料在3%NaCl溶液中) 已大于1 kΩ,干燥时 (湿态绝缘材料在空气中) 的电阻也必高于1 kΩ,由于J1在湿态下成为了可电子导电的材料而使船体钢处于较快的腐蚀状态。因此,用管路干燥后的电阻值评判电绝缘的保护状态是不合理的。

以上分析表明,充满溶液时的电位差及干燥后的电阻都不能准确判断异金属连接管路的电绝缘保护状态。湿态电绝缘下的B10-船体钢电偶对中船体钢的腐蚀状态主要与绝缘材料的电子导电性有关[20]。湿态时的电子导电性与绝缘材料的性质有关,因此选择合适的电绝缘材料是防止B10-船体钢电偶对中船体钢腐蚀的关键,绝缘材料湿态时电子导电性的产生与材质的关系还有待进一步研究。

3 结论

(1) 绝缘材料的湿态电阻测量值与吸水率有明显的对应关系,随着浸泡时间的延长,材料的吸水率增大,电阻值下降;绝缘材料的湿态电阻与普通电阻并不完全对应,绝缘材料在湿态下可成为电子导电的材料;绝缘材料的湿态电阻既包括离子导电引起的离子电阻Ri,还包括电子导电引起的电子电阻Re;电子电阻Re的形成与绝缘材料的材质有关。

(2) 在B10-船体钢电偶对中,串联的电阻或湿态绝缘材料对船体钢的电位影响不明显,但对B10的电位有明显的影响,电子电阻Re越大,B10的电位越正,B10与船体钢之间的电位差∆E越大。当电子电阻Re小于1 kΩ时,串联电阻时的电偶电流可高于直接短接时的电偶电流,船体钢的腐蚀速率可高于直接短接时的;当电子电阻Re大于1 kΩ时,电阻越大,电偶电流越小,船体钢的腐蚀速率越低。

(3) 湿态电绝缘下的B10-船体钢电偶对中船体钢的腐蚀状态主要与湿绝缘材料的电子电阻Re有关。采用充满海水时的电位差及干燥后的电阻不能准确评价异金属连接构件的电绝缘保护状态,选择合适的电绝缘材料是防止B10-船体钢电偶对中船体钢腐蚀的关键。

The authors have declared that no competing interests exist.


/