中国腐蚀与防护学报  2017 , 37 (2): 135-141 https://doi.org/10.11902/1005.4537.2016.009

研究报告

温度对304不锈钢亚稳蚀孔萌生和稳态蚀孔几何特征的影响

艾莹珺1, 杜楠1, 赵晴1, 黄世新1, 王力强2, 文庆杰2

1 南昌航空大学 轻合金加工科学与技术国防重点学科实验室 南昌 330063
2 成都飞机 (集团) 有限责任公司制造工程部 成都 610092

Effect of Temperature on Initiation of Metastable Pits and Geometric Features of Stable Pits for 304 Stainless Steel

AI Yingjun1, DU Nan1, ZHAO Qing1, HUANG Shixin1, WANG Liqiang2, WEN Qingjie2

1 National Defense Key Discipline Laboratory of Light Alloy Processing Science and Technology, Nanchang Hangkong University, Nanchang 330063, China
2 Department of Manufacture Engineering, Chengdu Aircraft Lndustrial (Group) Co., Ltd., Chengdu 610092, China

中图分类号:  TG174.3

文章编号:  1005-4537(2017)02-0135-07

通讯作者:  通讯作者 杜楠,E-mail:d_unan@sina.com,研究方向为材料的腐蚀与防护

收稿日期: 2016-01-8

网络出版日期:  2017-04-20

版权声明:  2017 《中国腐蚀与防护学报》编辑部 《中国腐蚀与防护学报》编辑部

基金资助:  国家自然科学基金 (51561024)

作者简介:

作者简介 艾莹珺,女,1989年生,硕士生

展开

摘要

采用恒电位极化、动电位极化、EIS和三维视频显微技术研究温度对304不锈钢在3.5% (质量分数) NaCl水溶液中点蚀行为和腐蚀形貌的影响。结果表明:随着温度由20 ℃升高至40 ℃,亚稳蚀孔萌生期变短,单位时间形核数目增多,平均峰值电流和平均峰值宽度增大,亚稳蚀孔数目增加导致稳态蚀孔出现几率增加。经0.15 V(vs SCE) 恒电位极化后,单个蚀孔的点蚀电流、蚀孔体积、蚀孔口径和孔深的增长速率均随温度的升高而增加;同一温度下蚀孔口径和孔深的增长速率随时间的延长略微减缓。蚀孔表面具有不完整的花边盖,盖板完整程度随温度升高而降低。

关键词: 304不锈钢 ; 温度 ; 亚稳蚀孔 ; 稳态蚀孔 ; 动力学

Abstract

Effect of temperature on pitting behavior and corrosion morphology of 304 stainless steel in 3.5%NaCl solution was studied by means of potentiostatic polarization, potentiodynamic polarization, electrochemical impedance spectroscopy (EIS) and three-dimensional video microscope. The results showed that as the temperature increased from 20 ℃ to 40 ℃, the initiation period of metastable pits shortened, the number the nuclei formed per unit time increased, the average peak-current and the average peak-width (which could represent the lifetime of metastable pits) increased, therefore, the increasing number of metastable pits led to higher probability for the occurrence of stable pits. The growth rate of pitting current, pit volume, pit mouth diameter and pit depth of single pit increased with the increasing temperature by applied potential of 0.15 V(vs SCE). The growth rate of pit mouth diameter and pit depth gradully decreased with the extension of time at the same temperature. The corrosion pit was incompletely covered by lace-like corrosion products, and of which the integrity decreased with the increase of temperature.

Keywords: 304 stainless steel ; temperature ; metastable pit ; stable pit ; dynamics

0

PDF (1892KB) 元数据 多维度评价 相关文章 收藏文章

本文引用格式 导出 EndNote Ris Bibtex

艾莹珺, 杜楠, 赵晴, 黄世新, 王力强, 文庆杰. 温度对304不锈钢亚稳蚀孔萌生和稳态蚀孔几何特征的影响[J]. , 2017, 37(2): 135-141 https://doi.org/10.11902/1005.4537.2016.009

AI Yingjun, DU Nan, ZHAO Qing, HUANG Shixin, WANG Liqiang, WEN Qingjie. Effect of Temperature on Initiation of Metastable Pits and Geometric Features of Stable Pits for 304 Stainless Steel[J]. 中国腐蚀与防护学报, 2017, 37(2): 135-141 https://doi.org/10.11902/1005.4537.2016.009

不锈钢具有良好的力学性能和机械加工性能,耐腐蚀性能优良,在建筑、石油、机械、造船、核电、军工等行业中应用十分广泛[1-4]。但是在某些特殊环境介质 (如侵蚀性阴离子Cl-) 当中,不锈钢依然会发生点蚀。点蚀[5-7]具有“口小孔深”的特点,孔口又常常被腐蚀产物覆盖,使其隐蔽不易被发现,严重时能导致设备穿孔,在实际生产中存在很大的隐患[8]

近年来,国内外许多学者研究了环境因素对不锈钢点蚀行为的影响[9-11]。吴玮巍等[12]研究发现,304不锈钢的临界点蚀温度在0 ℃以下。Steensland[13]指出点蚀电位Eb和保护电位Ep随温度升高而线性下降,说明温度越高点蚀敏感性越大;蚀孔数目随温度升高而增加,表明高温能促进点蚀形核。Ernst等[14]研究发现低温环境下点蚀生长速率变慢。但目前有关温度影响的研究大多着眼于点蚀敏感性方面,针对温度对不锈钢点蚀动力学过程以及亚稳蚀孔向稳态转变的影响报道较少。本工作利用恒电位极化、动电位极化以及EIS等方法研究304不锈钢在质量分数为3.5%NaCl水溶液中的点蚀行为,得到了不同温度下单个蚀孔的电流-时间曲线以及蚀孔的几何特征参数,对于丰富点蚀动力学具有一定的意义。

1 实验方法

1.1 实验材料及溶液

实验材料为304不锈钢,其化学成分 (质量分数,%) 为:C 0.035,Si 0.52,Mn 1.18,P 0.036,S 0.026,Cr 17.59,Ni 8.03,Fe 余量。热处理工艺为:1060 ℃保温0.5 h,水冷;650 ℃保温2 h,空冷,以利于点蚀的发生[15]。将其分别线切割成直径10 mm和1 mm的圆片作为工作电极。电极用酚醛树脂镶嵌,焊接导线,非工作面用环氧树脂密封。实验前工作面依次用600,1200,1500和2000号的Al2O3水砂纸打磨,用酒精、丙酮依次擦拭,经去离子水洗并吹干后,放入干燥皿中备用。

腐蚀介质为3.5%NaCl溶液,采用分析纯NaCl和二次蒸馏水配置而成,溶液未经除氧处理。

1.2 测试方法

采用Autolab PGSTAT 302N电化学工作站进行腐蚀电化学测试。工作电极为304不锈钢,辅助电极为Pt片,参比电极为饱和甘汞电极 (SCE)。文中所有电位均为相对于SCE电位。用恒温水浴锅控制溶液温度分别为20,30和40 ℃;溶液pH值为7。

测定304不锈钢的恒电位极化曲线 (极化电压0.15 V)、动电位极化曲线 (扫描速率5 mV/s) 和电化学阻抗谱 (频率为105~10-2 Hz,幅值为5 mV)。为屏蔽外界信号干扰,电化学测试在屏蔽箱中进行。电极进行电化学测试前,先在-1.3 V下阴极极化5 min,以去除表面氧化膜,再浸泡3 h,使表面生成稳定的钝化膜[16]。实验结束后电极用超声波加稀硝酸清洗,用KH-7700型三维视频显微镜观察蚀孔形貌,获得几何参数 (由于恒电位极化是为了获得单个蚀孔的电流-时间曲线,故实验结束后用显微镜观察电极表面时,若多于一个孔则数据无效)。

2 结果与讨论

2.1 温度对亚稳蚀孔萌生的影响

图1为304不锈钢在不同温度下3.5%NaCl溶液中亚稳蚀孔的暂态电流随时间的变化曲线。蚀孔进入稳定生长阶段前,电流会有一些小波动,每一个清晰可辨的波动可被看作一个亚稳蚀孔的形核和再钝化[17],不同温度下亚稳蚀孔萌生期 (t )、每100 s亚稳蚀孔形核数目 (N )、平均峰值电流 (I ) 以及平均峰值宽度 (τ,可以表征亚稳蚀孔的寿命) 等参数见表1。由图1表1可知,温度升高,亚稳蚀孔萌生期缩短,单位时间形核数目增多,因此稳态蚀孔出现的概率随之增加。平均峰值电流随温度升高而显著增大,说明温度越高蚀孔内部金属溶解反应越剧烈。龚小芝[18]指出,亚稳态点蚀的峰值电流越大,其发展成为稳态点蚀的概率也就越大。平均峰值宽度随温度升高而增大,说明温度升高亚稳蚀孔寿命延长,其从萌生到再钝化的过程延长。表明温度升高能够促进亚稳蚀孔形核,且蚀孔的钝态难以建立,亚稳蚀孔转变成稳态蚀孔的几率增加。这主要是因为温度升高使得钝化膜上氧的热运动加剧,造成氧的脱附;加之Cl-活性增强,与304不锈钢表面钝化膜的接触几率增大,吸附于氧空位上,并与钝化膜上的金属离子结合形成可溶性氯化物,导致钝化膜发生局部破裂,造成亚稳蚀孔的萌生。

图1   304不锈钢在不同温度下3.5%NaCl溶液中亚稳蚀孔暂态电流随时间的变化

Fig.1   Curves of transient current vs time for metastable pits of 304 stainless steel in 3.5%NaCl solution at all test temperatures (a) and only 20 ℃ (b)

表1   不同温度下亚稳蚀孔萌生参数

Table 1   Parameters about initiation of metastable pitting at different temperatures

Temperature / ℃t / sNI / μAτ / s
20351.310.20.8
30199.921.34.0
4090.7319.26.4

(Note: t-initiation period of metastable pit, N-nucleationnumber per unit time, I-average peak current, τ-average peak width)

新窗口打开

2.2 电化学分析及温度对稳态蚀孔几何特征的影响

图2为304不锈钢分别在20,30和40 ℃的3.5%NaCl水溶液中的动电位极化曲线,其拟合结果见表2。由图可知,在不同温度的3.5%NaCl水溶液中,阳极区电流密度随温度的升高而迅速增大,说明温度升高,Cl-等侵蚀性阴离子在电极表面积聚及化学吸附增加,使得钝化膜局部破坏程度加剧,导致活性点数目增多,阳极溶解加快。由表可知,随着温度的升高自腐蚀电位 (Ecorr) 呈负移趋势,自腐蚀电流密度 (Icorr ) 明显增大,Eb负移,Eb-Ep值增大,维钝电流也随之增大。从上述结果可知,随温度升高,304不锈钢的腐蚀倾向增加,点蚀敏感性增大,腐蚀加剧。温度会影响304不锈钢的热力学状态以及动力学过程,温度越高,金属的钝态越难以建立和维持,导致Cl-活性增强,吸附在钝化膜表面,使得膜上活性区域增多;同时钝化膜的稳定性及修复能力降低,导致不锈钢的耐点蚀性能减弱。而维钝电流的增大也说明了不锈钢在低温下钝化性能更好。

图2   304不锈钢在不同温度的3.5%NaCl水溶液中的动电位极化曲线

Fig.2   Dynamic potential polarization curves of 304 stainless steel during immersion in 3.5%NaCl solution at different temperatures

表2   304不锈钢在不同温度的3.5%NaCl水溶液中的极化曲线拟合结果

Table 2   Fitting data of polarization curves for 304 stainless steel in 3.5%NaCl solution at different temperatures

Temperature℃Ecorr (SCE)VIcorrnAcm-2EbVEpVEb-EpV
20-0.2799.7110.3400.1200.220
30-0.28913.7430.2550.0110.244
40-0.28423.6930.230-0.0150.245

新窗口打开

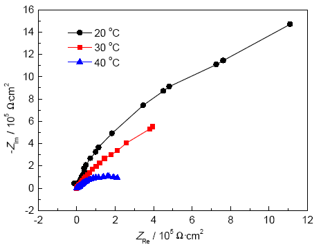
图3和4分别为304不锈钢在不同温度的3.5%NaCl水溶液中的Nyquist图及其等效电路图,拟合结果见表3。其中,Rs代表溶液电阻;Rct为电化学反应电阻;考虑到双电层电容会存在一定的“弥散效应”,故使用常相位角元件Q代替纯电容C,Q=Y0-1/ ()n,其中Y0为导纳常数,n为弥散指数,ω为角频率,j= -1。由图3可知,304不锈钢在不同温度的3.5%NaCl水溶液中的EIS均呈现出单一的容抗弧特征,随着温度的升高容抗弧半径明显减小。一般认为,容抗弧表示电化学反应,其半径代表反应阻力。温度升高使得反应活性增加,且有利于离子的扩散和迁移,电化学反应更易进行,导致反应电阻减小,表现为容抗弧半径变小。通常,Rct可以反映腐蚀速率的大小,其值越大,腐蚀速率越小[19]。由表3可知,温度升高,Rct明显减小,说明腐蚀速率明显增加,这与极化曲线的结果一致。

图3   304不锈钢在不同温度的3.5%NaCl水溶液中的Nyquist图

Fig.3   Nyquist plots of 304 stainless steel in 3.5%NaCl solution at different temperatures

图4   304不锈钢在不同温度的3.5%NaCl水溶液中EIS的等效电路图

Fig.4   Equivalent circuit diagram for EIS of 304 stainless steel in 3.5%NaCl solution at different temperatures

表3   304不锈钢在不同温度的3.5%NaCl水溶液中EIS的拟合结果

Table 3   Fitting data of EIS of 304 stainless steel in 3.5%NaCl solution at different temperatures

Temperature℃RsΩcm2Y0μSsncm-2ndlRctMΩcm2
2026.434.8030.86673.962
3018.185.0550.84560.223
4015.475.9930.81100.205

新窗口打开

图5为304不锈钢在不同温度下3.5%NaCl溶液中单个蚀孔的点蚀电流随时间的变化曲线,极化电位为0.15 V,其拟合曲线见图6表4是实验结束经超声波加稀硝酸清洗试样表面后测得的蚀孔几何参数。由图5可知,在20 ℃下,304不锈钢萌生期较长,点蚀电流在一定时间内维持在一个较低值,且点蚀电流增大速率较为缓慢;在40 ℃下,304不锈钢很快进入蚀孔稳定生长期,点蚀电流增长迅速。表明稳态蚀孔生长相同时间后,温度越高点蚀电流越大,点蚀生长速率也更快。从表4中也可看出,随着温度的升高,孔口直径、孔底直径、蚀孔深度以及蚀孔体积不断增大,金属溶解加剧。说明温度在一定程度上会影响金属表面的溶解活性以及蚀孔内外溶液的离子扩散速率[20],导致反应动力学过程加强,加速金属溶解,进而影响点蚀孕育期长短以及亚稳蚀孔向稳态蚀孔转变的快慢。同时由于温度升高,使得金属离子在一定范围内浓度富集,反应驱动力增大,自催化作用增强,离子的迁移速度增大,导致点蚀生长速率变快。

图5   304不锈钢在不同温度下3.5%NaCl溶液中单个蚀孔点蚀电流随时间的变化

Fig.5   Curves of dissolution current vs time for single pit of 304 stainless steel in 3.5%NaCl solution at different temperatures

图6   304不锈钢在不同温度下3.5%NaCl溶液中单个蚀孔点蚀电流随时间变化的拟合曲线

Fig.6   Fitted results of dissolution current vs time curves for single pit of 304 stainless steel in 3.5%NaCl solution at 20 ℃ (a), 30 ℃ (b) and 40 ℃ (C)

表4   不同温度下极化后单个蚀孔的几何参数

Table 4   Geometrical parameters of single pit after polarization at different temperatures

Temperature / ℃Surface diameter
μm
Base diameter
μm
Depth
μm
Volume
μm3
2071.13735.99028.3716.45×104
3080.29344.59833.2037.05×104
4088.45952.68539.2689.92×104

新窗口打开

由于金属溶解量正比于电量,可以推出下式:

V=M0tidtzFρ(1)

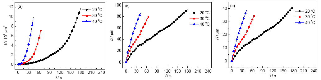
其中,V为蚀孔体积,M为原子质量 (55.83 g/mol),t为蚀孔生长时间,i为点蚀电流,z为金属离子的价态 (平均值为2.19),F为Faraday常数,ρ为金属密度 (7.93 g/cm3)。以电流密度达到100 μA/cm2作为点蚀开始的标志[6],据此计算出蚀孔体积随时间的变化关系,如图7a所示。

图7   304不锈钢在不同温度下3.5%NaCl溶液中单个蚀孔体积、口径和深度随时间的变化

Fig.7   Evolutions of pit volume (a), mouth diameter (b) and pit depth (c) of single pit of 304 stainless steel in 3.5%NaCl solution at different temperatures

表4中不同温度下极化后单个蚀孔的几何参数以及利用三维视频显微镜观察蚀孔形状可知,大部分蚀孔呈“口宽底窄”的锥台形。根据锥台体积公式:

V=D2+d2+DdπH12(2)

其中,D为蚀孔口径,d为蚀孔底径,H为孔深。并通过H/DH/dV的关系,推导出DH随时间的变化曲线,如图7b和c所示。

图7a可知,20 ℃时点蚀开始阶段,蚀坑体积增加并不明显,随着时间的延长增长率缓慢增加;温度升高,蚀孔体积的增长率处于持续增加状态。就总体而言,各曲线斜率均随时间延长而增大,表明蚀孔体积的增大是一个加速过程,这是因为温度升高,金属离子受到的晶格束缚能相对降低,蚀孔内部金属更易溶解,同时由于金属离子水解使得蚀孔内部溶液pH值降低。正是由于水解反应,使蚀孔内部溶液持续酸化,再加上孔内处于缺氧状态,而且高温加速了Cl-向蚀孔内迁移和富集,使得蚀孔钝态无法维持,加速了金属的离子化进程[21]。由图7b和c可知,蚀孔生长相同时间口径和深度随温度的升高而增大。不同温度下,初始阶段蚀孔口径和深度随时间的变化基本上呈线性关系,而且温度越高曲线斜率越大。说明温度越高,蚀孔口径和深度增长得越快,这主要是由于温度升高蚀孔内部的Cl-和H+以及金属离子的浓度梯度满足蚀孔稳定生长的条件,造成蚀孔内金属的持续溶解。然而随着时间的延长,曲线斜率的增加减缓,这是因为当金属溶解到一定程度时,由于孔口腐蚀产物积聚,使得蚀孔内外物质交换变缓,金属溶解速度变慢。

图8为304不锈钢在不同温度下3.5%NaCl溶液中的腐蚀形貌。可以看出,不同温度下的蚀孔表面均具有不完整的网状花边盖,花边盖上的孔洞随温度的升高而增大。这是由于温度升高Cl-反应活性增强,离子扩散率增大,金属的钝态难以建立,结果是金属的溶解加剧,盖板破裂所需时间缩短且完整程度降低。Ernst等[22]的研究表明,金属的进一步溶解会产生根切,使蚀孔表面形成花边状盖板,花边状盖板表面覆盖有钝化膜且处于相对开放的环境中,因此盖板的破裂主要是由于下表面溶解以及渗透压的共同作用引起的。

图8   304不锈钢在不同温度下3.5%NaCl溶液中的蚀孔形貌

Fig.8   Pit corrosion morphologies of 304 stainless steel in 3.5%NaCl solution at 20 ℃ (a), 30 ℃ (b) and 40 ℃ (c)

由上述结果可知,温度升高304不锈钢耐点蚀性能降低。在亚稳蚀孔萌生阶段,温度升高造成钝化膜上氧的脱附,影响试样表面氧的还原反应速率,导致钝化膜稳定性下降,蚀孔的钝态难以建立,对基体金属的保护作用降低,促进亚稳蚀孔形核。在稳态蚀孔生长阶段,温度升高使得溶解氧向试样表面扩散的速率加快,且有利于阳极反应的离子化进程,从而加快反应速率,使得金属溶解加剧;同时由于Cl-反应活性增强,其穿越双电层的能力相应增加,导致钝化膜上活性区域增多,点蚀发展变得更容易。

3 结论

(1) 随着温度从20 ℃升高至40 ℃,304不锈钢在3.5%NaCl溶液中的亚稳蚀孔萌生期变短,单位时间形核数目增多,平均峰值电流和平均峰值宽度 (反映亚稳蚀孔寿命) 增大,说明温度升高亚稳蚀孔转变为稳态蚀孔的几率增加。

(2) 随着温度从20 ℃升高至40 ℃,304不锈钢点蚀破裂电位 (Eb) 负移,电化学反应电阻 (Rct) 减小,表明温度升高试样的耐点蚀性能降低,腐蚀速率增大。

(3) 304不锈钢在3.5%NaCl溶液中经0.15 V(vs SCE) 恒电位极化后,单个蚀孔的点蚀电流、蚀孔体积、蚀孔口径和孔深的增长速率均随温度的升高而增加;同一温度下蚀孔口径和孔深的增长速率随时间的延长略微减缓。

The authors have declared that no competing interests exist.


/