中国腐蚀与防护学报  2017 , 37 (2): 101-109 https://doi.org/10.11902/1005.4537.2016.202

研究报告

超深冲压用冷轧板在模拟海洋大气环境中的腐蚀行为

毛成亮1, 肖葵12, 董超芳12, 吴俊升12, 颜利丹1, 蒋立1

1 北京科技大学腐蚀与防护中心 北京 100083
2 北京科技大学 腐蚀与防护教育部重点实验室 北京 100083

Corrosion Behavior of Extra Deep Drawing Cold Rolled Sheet in Stimulative Ocean-atmosphere Environment

MAO Chengliang1, XIAO Kui12, DONG Chaofang12, WU Junsheng12, YAN Lidan1, JIANG Li1

1 Corrosion and Protection Center, University of Science and Technology Beijing, Beijing 100083, China
2 Key Laboratory for Corrosion and Protection (MOE), University of Science and Technology Beijing, Beijing 100083, China

中图分类号:  TG172.3

文章编号:  1005-4537(2017)02-0101-09

通讯作者:  通讯作者 肖葵,E-mail:xiaokui@sina.com,研究方向为材料大气环境腐蚀机理和评价技术

收稿日期: 2016-10-14

网络出版日期:  2017-04-20

版权声明:  2017 《中国腐蚀与防护学报》编辑部 《中国腐蚀与防护学报》编辑部

作者简介:

作者简介 毛成亮,男,1989年生,硕士生

展开

摘要

根据万宁海洋大气试验站近3 a的大气环境数据,采用当量折算法,计算中性盐雾实验模拟万宁海洋大气环境所需的折算周期。以超深冲压冷轧板DC06和Q235钢为实验材料,研究二者在中性盐雾实验中的腐蚀行为,并通过灰色关联度法,定量研究中性盐雾加速实验和万宁海洋大气户外暴露实验的相关性。结果表明:DC06和Q235钢中性盐雾实验腐蚀动力学曲线拟合后均符合幂函数规律;DC06和Q235钢经计算周期 (528 ha-1) 和常用周期 (480 ha-1) 中性盐雾实验与万宁户外大气暴露实验的灰色关联度均大于0.6,符合室内外动力学一致性原则;DC06和Q235钢两种材料在折算周期 (528 ha-1) 下的灰色关联度 (0.6761,0.7383) 大于常用周期 (0.6029,0.6050)。

关键词: 超深冲压冷轧板 ; DC06 ; 当量折算 ; 加速实验 ; 灰色关联度

Abstract

The conversion period for the corrosion data of steels acquired respectively by the outerdoor exposure test and the indoor neutral salt spray test, which aims to simulate the corrosivity of the marine atmospheric environment at Wanning, was calculated by means of the equivalent conversion method, while taking the real marine atmospheric environmental data over the past three years at Wanning area into account. Then the corrosion behavior of an extra deep drawing cold rolled sheet DC06 and a carbon steel Q235 was comparatively studied through neutral salt spray test for desired conversion periods. In the meanwhile, the correlation between the results of the indoor neutral salt spray accelerated test and the outdoor air exposure test at Wanning is quantitatively studied by the grey correlation degree method. The results show that the corrosion kinetics curves of DC06 and Q235 by neutral salt spray test are in accordance with the power function law. For DC06 and Q235, their relevant results of neutral salt spray test for the conversion period (528 ha-1) and the common period (480 ha-1) respectively showed gray correlation degrees greater than 0.6 with those of the outdoor atmospheric exposure test at Wanning,indicating that the corrosion dynamics results measured indoor and outdoor respectively are of consistency. It is noted that the grey correlation degrees for the outdoor test results with those of indoor test for the conver sion period are higher than those for the common period.

Keywords: extra deep drawing cold rolled sheet ; DC06 ; equivalent conversion ; accelerated test ; rey relational degree

0

PDF (3324KB) 元数据 多维度评价 相关文章 收藏文章

本文引用格式 导出 EndNote Ris Bibtex

毛成亮, 肖葵, 董超芳, 吴俊升, 颜利丹, 蒋立. 超深冲压用冷轧板在模拟海洋大气环境中的腐蚀行为[J]. , 2017, 37(2): 101-109 https://doi.org/10.11902/1005.4537.2016.202

MAO Chengliang, XIAO Kui, DONG Chaofang, WU Junsheng, YAN Lidan, JIANG Li. Corrosion Behavior of Extra Deep Drawing Cold Rolled Sheet in Stimulative Ocean-atmosphere Environment[J]. 中国腐蚀与防护学报, 2017, 37(2): 101-109 https://doi.org/10.11902/1005.4537.2016.202

冷轧低碳钢和超低碳钢具有良好的冲压性能、焊接性能和较高的尺寸精度,因而被广泛应用于各种汽车零部件的制造,按用途可分为一般用、冲压用、深冲压用、深冲压用和超深冲压用。超深冲压用冷轧板 (DC06) 具有比特深冲压用更为优异的延展性、冲压性及拉伸性,适用于超深冲成形和生产极复杂的变形零部件[1,2]

目前,各车企评价汽车零部件耐蚀性能的主要方法有户外大气环境下暴露实验和室内加速实验,室内加速实验以中性盐雾实验 (NSS) 为主。盐雾实验具有周期短、操作性强的优点,可以在室内条件下快速评价汽车零部件的耐蚀性能。盐雾实验是一种人工模拟盐雾环境条件下评估金属材料耐腐蚀性能的环境实验。实验中将样板斜置于盐雾箱中,经一定时间腐蚀后观察样板表面锈蚀、气泡和腐蚀蔓延的程度,已成为评估汽车金属零部件耐蚀性能的必备实验。中性盐雾实验中,可根据模拟环境的气候特点,利用当量折算法,设计加速实验所需的环境谱。通常,选择腐蚀电量Q相等作为当量准则,腐蚀电流I作为参考准则,通过室内外腐蚀电流IcIc'来确定加速当量关系[3]

海南万宁大气站位于北纬18°58′05″,东经110°30′31″,坐落于海南岛东海岸海滨,三面毗邻乡村,东面临海,属于典型的北热带湿润区海洋性乡村气候,暴露场中心位置距海水线不超过350 m,大气中富含Cl-,同时具有降水丰富、日照充足、太阳辐射强和天气变化多端等特点[4],海南万宁大气站特殊的地理位置决定了其独特的大气环境,具有明显的高温、高湿和高盐雾特征明显。温度、湿度和海盐离子是影响海洋大气腐蚀最主要的环境因素,其次是降水量、气溶胶颗粒、SO2和其它污染物等,在所有环境因素中,Cl-的影响尤为重要[5,6]。研究[7]表明,常用金属材料和高分子材料在海南万宁大气站的腐蚀速率都比较快。万宁大气站属于典型的高腐蚀地区,具有十分严酷的大气环境。

本文对海南万宁大气站2012~2014年环境气象数据进行分析、整理,运用当量折算法计算室内中性盐雾加速实验模拟万宁海洋大气环境所需的环境谱。以Q235和DC06钢作为研究对象,通过中性盐雾加速实验模拟万宁海洋大气户外暴晒实验。采用腐蚀动力学、腐蚀微观形貌、X射线衍射 (XRD)、极化曲线、灰色关联度等方法,研究模拟万宁海洋大气环境下,DC06中性盐雾加速实验的腐蚀行为,建立室内中性盐雾实验和万宁户外暴露实验的关联性,本文对于汽车零部件耐蚀性能的评价和选择具有重要意义。

1 实验方法

1.1 环境谱设计

表1和2中列出设计本环境谱需的换算系数[8],表3给出万宁实验站降雨、雾及温湿度累积谱。

表1   潮湿空气与标准潮湿空气的折算系数

Table 1   Reduction factor of moist air and standard moist air

MaterialRH / %Temperature / ℃
20253035
Steel700.138620.020490.240660.34024
800.125900.141730.445440.59702
900.082260.322990.572821.00000

新窗口打开

表2   不同浓度NaCl与水介质的折算系数

Table 2   Reduction factor of different concentration(mass fraction) of NaCl in water medium

MaterialConcentration / of NaClα
Steel0.5%0.485
1.7%0.417
3.5%0.320
7.0%0.310

新窗口打开

表3   万宁实验站降雨、雾及温湿度累积谱

Table 3   Accumulation of precipitation, fog, temperature and humidity in Wanning station

YearTemperature / ℃Precipitation / hFog / hHumidity / h
RH=70%RH=80%RH=90%
201220162.8170.5---1217.71099.7
25146.4167.4---2482.1545.4
3082.520.3---1545.5---
20132065.798.1528.5601.4639.4
25233.2204.1---1531.31448.5
3068.879.5---1491.1---
20142090.3119.6---1171.2538.6
25168.7149.5---1998.31045.1
3089.820.9---1542.5---

新窗口打开

本文以中性盐雾实验的标准实验条件为基础来制定加速实验环境谱。使用5% (质量分数) NaCl溶液来模拟万宁海洋大气环境中的盐雾,T=35 ℃,RH=90%作为标准潮湿空气,将表3中的相关环境参数按以下当量折算法换算成标准空气作用小时数:

各温度下潮湿空气作用小时数折算:

ta-2012=1217.7×0.12590+1099.7×0.08226+2482.1×

0.14173+545.4×0.32299+1545.5×0.44544=1460.1h(1)

ta-2013=528.5×0.13862+601.4×0.12590+639.4×

0.08226+1531.3×0.14173+1461.3×

0.32299+1448.5×0.44544=1535.8h(2)

ta-2014=1171.2×0.12590+538.6×0.08226+1998.3×

0.14173+1045.1×0.32299+1542.5×0.44544=1499.6h(3)

降雨作用小时数折算:

tb-2012=162.8×0.08226+146.4×0.32299+82.5×0.57282=107.9h(4)

tb-2013=65.7×0.08226+233.2×0.32299+68.8×0.57282=120.1h(5)

tb-2014=90.3×0.08226+168.7×0.32299+89.8×0.57282=113.4h(6)

雾作用小时数折算:

tc-2012=170.5×0.08226+167.4×0.32299+20.3×0.57282=79.7h(7)

tc-2013=98.1×0.08226+204.1×0.32299+79.5×0.57282=119.5h(8)

tc-2014=119.6×0.08226+149.5×0.32299+20.9×0.57282=70.1h(9)

由以上可得万宁实验站大气环境谱每年相当于标准潮湿空气作用小时数:

t2012=ta-2012+tb-2012+tc-2012

=1460.1h+107.9h+79.7h=1647.7h(10)

t2013=ta-2013+tb-2013+tc-2013

=1535.8h+120.1h+119.5h=1778.4h(11)

t2014=ta-2012+tb-2012+tc-2012

=1499.6h+113.4h+70.1h=1683.1h(12)

t1=(t2012+t2013+t2014)/3=1703.1h(13)

表2可知,3.5%和7%NaCl溶液相对潮湿空气的折算系数α分别为0.320和0.310,其倒数分别为3.125和3.226,插值法得5%NaCl溶液的折算系数为α1=0.316。因此加速实验环境谱作用1 h相当于标准潮湿空气作用t2=3.168 h。加速实验环境谱的当量加速关系为β=t1/t2=537.6 (ha-1)。因此,该加速实验环境谱实验22.4 d,相当于户外暴晒1 a。

1.2 加速实验及表征

实验材料为DC06冷轧板和Q235钢碳钢板,其化学成分见表4。平板试样线切割尺寸为150 mm×75 mm×1.2 mm和150 mm×75 mm×1.8 mm。电化学试样线切割尺寸为10 mm×10 mm×1.2 mm和10 mm×10 mm×1.8 mm。切割后的试样依次用150#、240#、400#和800#砂纸打磨,再用去离子水冲洗,乙醇脱水,吹风机吹干,然后放置于干燥器中备用。使用前用游标卡尺测量试样尺寸,并用精度为0.1 mg的天平称初始重量。电化学试样用导线焊接,环氧树脂封装,砂纸打磨至2000#,电化学工作面积预留1 cm2

表4   Q235和 DC06钢主要化学成分

Table 4   Chemical compositions of Q235 and DC06 steels (mass fraction / %)

SteelCSMnSiTiPFe
Q2350.19000.00420.390.26---0.0076Bal.
DC060.00530.00450.22---0.120.0190Bal.

新窗口打开

中性盐雾实验使用ATLAS CCX2000型盐雾实验箱。实验周期为11,22,33,44,55和66 d。腐蚀介质为 (50±1) gL-1的NaCl溶液,pH值为6.5~7.2,实验温度为 (35±2) ℃,盐雾压力控制在70~170 kPa。试样摆放角度与垂直方向呈30o夹角。每个周期设置4片平板试样和2片电化学试样,平板试样中,选取3片用于腐蚀失重测量,1片用于腐蚀形貌观测及腐蚀产物分析。电化学试样均用于电化学测试。

中性盐雾实验结束后依据GB/T19746—2005《金属和合金的腐蚀腐蚀试样上腐蚀产物的清除》中的方法进行除锈,除锈液成分如下:500 mL盐酸+500 mL蒸馏水+3.5 g六次甲基四胺。除锈后用去离子清洗,无水乙醇脱水,吹风机吹干,置于干燥器中24 h后用精度0.1 mg的天平进行称重,每组取3个平板试样的失重平均值作为最后的失重结果。使用Nikon D7000单反数码相机观测腐蚀宏观形貌;采用 Quanta 250 型扫描电子显微镜 (SEM) 观测腐蚀产物微观形貌;采用DMAX-RB12kw 型X射线衍射仪 (XRD) 分析腐蚀产物相组成,采用Princeton VersaSTAT 3型电化学工作站进行电化学测试,测试采用三电极体系,中性盐雾电化学试样作为工作电极,工作尺寸为10 mm×10 mm,参比电极选用饱和甘汞电极 (SCE),Pt片做辅助电极,电介质为0.3% (质量分数) NaCl溶液。

2 结果与讨论

2.1 腐蚀动力学分析

图1为Q235钢和DC06钢经不同周期中性盐雾实验后按照下式进行拟合的结果,相关拟合参数列于表5

图1   Q235和DC06钢不同时间中性盐雾实验后腐蚀失重曲线

Fig.1   Corrosion mass loss curves of Q235 (a) and DC06 (b) steels in different periods after neutral salt spraytest (528 ha-1)

表5   拟合曲线参数

Table 5   Relevant parameters of fitting curves

SteelAnR2
Q2351.592620.948270.97407
DC062.863270.888960.99060

新窗口打开

ΔW=Atn(14)

其中,ΔW是失重量 (gm-2),t是实验时间 (h),An是与材料和环境有关的系数,R为回归系数。

R2值可以看出腐蚀失重与时间的关系基本符合幂指数规则,由n值及整体曲线走势可看出,在1584 h的实验周期内,锈层对基体提供了保护作用,腐蚀程度随实验进行逐渐降低。

2.2 腐蚀形貌分析

Q235和DC06钢经不同周期中性盐雾实验后的腐蚀形貌见图2和3。从图2中可以看出,Q235钢在实验前期形成的锈层表面形貌多为层片状和团簇状,结构疏松,有很多孔隙和孔洞,层片状为γ-FeOOH,团簇状为α-FeOOH[9]。随着实验时间的延长,团簇状变多,实验后期,团簇状产物部分相连,形成类似网状的结构。前期锈层中含有γ-FeOOH和β-FeOOH,在后期逐渐变为α-FeOOH和Fe3O4α-FeOOH的化学性质稳定,对基体具有一定的保护作用。

图2   Q235钢不同周期盐雾实验后腐蚀微观形貌

Fig.2   SEM images of Q235 steel after salt spray test for 11 d (a), 22 d (b), 33 d (c) and 44 d (d)

图3   DC06钢经不同周期盐雾实验后腐蚀微观形貌

Fig.3   SEM images of DC06 steel after salt spray test for 11 d (a), 22 d (b), 33 d (c) and 44 d (d)

图3中可以看出,DC06冷轧钢与Q235碳钢类似,实验前期形成的锈层表面形貌多为团簇状,间隙中有许多层片状的结构,层片状为γ-FeOOH,团簇状为α-FeOOH[9]。随着时间的延长,团簇状变多。并且在后期团簇状产物部分相连,形成类似网状的结构,但团簇状依旧存在。

2.3 腐蚀产物分析

Q235和DC06钢经不同周期的中性盐雾实验之后的XRD谱如图4所示。图4a为Q235钢经不同周期中性盐雾实验后腐蚀产物的XRD谱。可以看出,中性盐雾实验前期 (33 d之前) 腐蚀产物主要由Fe3O4,α-FeOOH,γ-FeOOH和β-FeOOH组成。随着腐蚀时间的延长,腐蚀产物的主要组成变为Fe3O4α-FeOOH。α-FeOOH的电化学稳定性较好,还原性是各类羟基氧化铁化合物中最弱的,其含量在锈层中的增加会抑制钢的电化学反应进程,从而降低钢的大气腐蚀速率,因此对基体具有一定的保护作用。

图4   Q235和DC06钢不同时间中性盐雾实验后的XRD谱

Fig.4   XRD spectra of corrosion products of Q235 (a) and DC06 (b) steels after salt spray test in different periods

β-FeOOH晶体的隧道结构需要卤素离子来稳定,其存在可以促进Cl-在锈层中的扩散。此外,β-FeOOH和γ-FeOOH是不稳定产物,具有较强的还原性,会增加阴极反应的活性区域,促进基体的腐蚀[10-12]。因此,γ-FeOOH和β-FeOOH对基体不具有保护作用。图4b为DC06冷轧板经不同周期中性盐雾实验后腐蚀产物的XRD谱。可以看出,反应前后生成的腐蚀产物主要含有Fe3O4,α-FeOOH,γ-FeOOH,β-FeOOH和Fe(OH)3。实验后期,γ-FeOOH和β-FeOOH消失,可能转化为对基体具有保护作用的α-FeOOH。从腐蚀产物组成上看,Q235钢与DC06冷轧板并没有明显的区别。

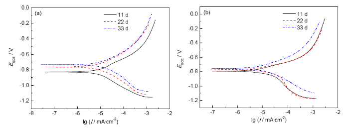
2.4 极化曲线

图5为不同时间的中性盐雾实验后Q235钢和DC06冷轧板在0.3%(质量分数)NaCl溶液中的极化曲线。由图5a可以看出,随着实验时间的延长,腐蚀电位Ecorr逐渐正移,腐蚀电流密度Icorr逐渐减小,耐蚀性能增强,说明碳钢表面形成的锈层对基体金属的阳极溶解具有抑制作用。由图5b可见,DC06冷轧板极化曲线与Q235钢的相似,随着实验时间的延长,Ecorr逐渐正移,Icorr逐渐减小,耐蚀性能增强,说明试样表面形成的锈层在一定程度上抑制了基体金属的阳极溶解。极化曲线测试结果与XRD结论相符合。

图5   Q235和DC06钢不同时间中性盐雾实验后的极化曲线

Fig.5   Polarization curves of Q235 (a) and DC06 (b) steels after salt spray test in different periods

2.5 室内外相关性分析

依据灰色关联度计算方法[13-15],不同数据列x1,x2,x3与参考数据列x0之间的灰关联度γ可以描述两个统计量的关联程度:

γ0i=1nk=1nξ0i(k)(15)

ξ0i(k)=miniminkY0(k)-Yi(k)+ρmaximaxkY0(k)-Yi(k)Y0(k)-Yi(k)+ρmaximaxkY0(k)-Yi(k)(16)

式中,标准化序列为:

Y0(k)=x0(k)x01=Y0(1),Y0(2),Y0(3),,Y0(n)(17)

Yi(k)=xi(k)xi1=Yi(1),Yi(2),Yi(3),,Yi(n)(18)

绝对差序列为:

Δ0i(k)=Y0(k)-Yi(k)(19)

k=1,2,,n;i=1,2,,m; maximaxk=Y0(k)-Yi(k)minimink=Y0(k)-Yi(k)分别为两级最大差与最小差。ρ为分辨系数,一般取0.5,00i (Y0,Yi) 称为灰色关联度,大于0.6 时说明序列间具有较好的关联性,并且值越大说明序列间关联度越好。

利用灰关联分析法计算室内加速中性盐雾加速实验与户外万宁海洋大气暴晒之间的关联度,所用时间序列如下:室内加速实验折算周期对应的时间序列为 (264,528,792,1056,1320和1584 h)、常用加速周期为 (240,480,720,960,1200和1440 h)、户外为 (0.5,1,1.5,2,2.5和3 a),Q235钢户外时间序列对应的腐蚀失重量 (单位,gm-2) 作为参考序列x0(k),Q235钢室内加速为x1(k),DC06钢户外为x3(k),DC06室内加速为x3(k),其中,k=1,2,...,6。统计结果列于表6和7中。按照公式 (17),(18) 对表6和7中各数据列进行初值化处理,得标准化序列,列于表8和9中。根据表8和9求出绝对差,得绝对差序列,列于表10和11中。根据表10和11以及公式 (15)和(16),得出灰色关联度,最终结果列于表12中。

表6   Q235和DC06钢室内外实验腐蚀失重统计表 (528 ha-1)

Table 6   Statistic of corrosion mass loss of Q235 and DC06 steels in accelerated and exposure test (528 ha-1)

Test0.5 a (264 h)1 a (528 h)1.5 a (792 h)2 a (1056 h)2.5 a (1320 h)3 a (1584 h)
Exposurex0371.43571.12743.56878.171008.621129.47
x2336.30566.64768.87954.761129.371295.50
Acceleratedx1414.98629.88869.991099.471367.461828.38
x3439.77825.001000.701365.571679.352049.41

新窗口打开

表7   Q235和DC06钢室内外实验腐蚀失重统计表 (480 ha-1)

Table 7   Statistic of corrosion mass loss of Q235 and DC06 steels in accelerated and exposure test (480 ha-1)

Test0.5 a (240 h)1 a (480 h)1.5 a (720 h)2 a (960 h)2.5 a (1200 h)3 a (1440 h)
Exposurex0371.43571.12743.56878.171008.621129.47
x2336.30566.64768.87954.761129.371295.50
Acceleratedx1259.10550.42751.791023.041175.931577.78
x3313.94616.87940.651243.321786.951952.61

新窗口打开

表8   Q235和DC06钢室内外实验腐蚀失重预处理结果 (528 ha-1)

Table 8   Statistic of pretreatment loss data of Q235 and DC06 steels in accelerated and exposure test (528 ha-1)

Test0.5 a (264 h)1 a (528 h)1.5 a (792 h)2 a (1056 h)2.5 a (1320 h)3 a (1584 h)
ExposureY01.00001.53762.00192.36432.71553.0409
Y21.00001.68492.28632.83903.35823.8522
AcceleratedY11.00001.51792.09652.64953.29524.4059
Y31.00001.87602.27553.10523.81874.6602

新窗口打开

表9   Q235和DC06钢室内外实验腐蚀失重预处理结果 (480 ha-1)

Table 9   Statistic of pretreatment loss data of Q235 and DC06 steels in accelerated and exposure test (480 ha-1)

Test0.5 a (240 h)1 a (480 h)1.5 a (720 h)2 a (960 h)2.5 a (1200 h)3 a (1440 h)
ExposureY01.00001.53762.00192.36432.71553.0409
Y21.00001.68492.28632.83903.35823.8522
AcceleratedY11.00002.12442.90153.94844.53856.0895
Y31.00001.96492.99633.96045.69206.2197

新窗口打开

表10   Q235和DC06钢室内外实验腐蚀失重的绝对差 (528 ha-1)

Table 10   Absolute difference of loss date of Q235 and DC06 steels in accelerated and exposure test (528 ha-1)

SteelTime0.5 a (264 h)1 a (528 h)1.5 a (792 h)2 a (1056 h)2.5 a (1320 h)3 a (1584 h)
Q2350100.19770.09460.28520.57971.3651
DC060200.19110.01080.26620.46050.8080

新窗口打开

表11   Q235和DC06钢室内外实验原始腐蚀数据 (480 ha-1)

Table 11   Absolute difference of loss date of Q235 and DC06 steels in accelerated and exposure test (480 ha-1)

SteelTime0.5 a (240 h)1 a (480 h)1.5 a (720 h)2 a (960 h)2.5 a (1200 h)3 a (1440 h)
Q2350100.58670.89971.58411.82303.0485
DC060200.28000.71001.12142.33382.3675

新窗口打开

表12   室内外实验的灰关联度

Tabl 12   Grey correlation of atmospheric exposure testsand accelerated tests

Cycle timeγ
Q235 steel (528 ha-1)0.7383
DC06 steel (528 ha-1)0.6761
Q235 steel (480 ha-1)0.6050
DC06 steel (480 ha-1)0.6029

新窗口打开

由数据可知,模拟万宁海洋大气环境时,Q235钢和DC06钢两种周期中性盐雾实验与户外暴露实验的灰关联系数均大于0.60。说明本实验采用中性盐雾实验方法对万宁海洋大气下的腐蚀情况进行加速实验符合腐蚀动力学一致性原则。其中528 ha-1折算周期的盐雾实验与户外暴露实验关联性优于480 ha-1周期的盐雾实验。

3 结论

(1) DC06和Q235钢室内中性盐雾加速实验动力学拟合结果符合幂函数规律,折算周期n均小于1,说明随着盐雾实验周期的延长,腐蚀产物对基体具有一定的保护作用。

(2) DC06和Q235钢腐蚀产物主要由Fe3O4,α-FeOOH,γ-FeOOH和β-FeOOH组成。随着实验周期的延长,还原性强的γ-FeOOH和β-FeOOH消失,腐蚀产物对基体产生保护作用;通过电化学分析可知,随着实验周期的延长,腐蚀电位逐渐正移,腐蚀电流逐渐减小,锈层对基体起到保护作用。

(3) DC06和Q235两种钢的中性盐雾实验室内加速实验和万宁大气暴露实验的灰色关联度均大于0.6,符合动力学一致原则。采用折算周期 (528 ha-1)进行加速实验的关联性要优于常用周期 (480 ha-1)。

(4) DC06和Q235钢模拟万宁海洋大气环境 (528 ha-1) 室内加速实验动力学方程为:

ΔWDC06=2.86327t0.88896

ΔWQ235=1.59262t0.94827

The authors have declared that no competing interests exist.


/