中国腐蚀与防护学报  2016 , 36 (6): 645-651 https://doi.org/10.11902/1005.4537.2016.121

研究报告

动态条件下十二胺对Q235碳钢CO2腐蚀的缓蚀行为研究

刘宏伟1, 熊福平1, 吕亚林1, 葛承宣1, 刘宏芳12, 胡裕龙3

1. 华中科技大学化学与化工学院 材料服役与失效湖北省重点实验室 武汉 430074
2. 深圳华中科技大学研究院 深圳 518000
3. 海军工程大学理学院 武汉 430033

CO2 Corrosion Inhibition of Carbon Steel by Dodecylamine under Flow Conditions

LIU Hongwei1, XIONG Fuping1, LV Yalin1, GE Chengxuan1, LIU Hongfang12, HU Yulong3

1. Hubei Key Laboratory of Materials Chemistry and Service Failure, School of Chemistry and Chemical Engineering, Huazhong University of Science and Technology, Wuhan 430074, China
2. Shenzhen Institute of Huazhong University of Science and Technology, Shenzhen 518000, China
3. College of Science, Naval University of Engineering, Wuhan 430033, China

中图分类号:  TG142.71

文献标识码:  A

文章编号:  1005-4537(2016)06-0645-07

通讯作者:  通讯作者:刘宏芳,E-mail:liuhf@hust.edu.cn,研究方向为腐蚀与防护、腐蚀电化学、环境化学

版权声明:  2016 《中国腐蚀与防护学报》编辑部 《中国腐蚀与防护学报》编辑部

基金资助:  国家自然科学基金项目 (51171067),深圳市基础研发基金项目 (JC201005310696A),华中科技大学创新研究院技术创新基金项目 (0118013068),华中科技大学创新基金项目 (国合专项2015ZZGH010和前沿探索类2015TS150) 及材料化学与服役失效湖北省重点实验室基金项目 (201502) 资助

作者简介:

作者简介:刘宏伟,1988年生,男,博士生

展开

摘要

采用电化学方法,系统的研究了动态条件下,3% (质量分数) NaCl腐蚀介质中,十二胺缓蚀剂对Q235碳钢CO2腐蚀的缓蚀行为。结果表明,静态条件下,十二胺对碳钢CO2腐蚀具有较好的缓蚀效果,当缓蚀剂浓度为60 mg/L时,缓蚀效率可以达到93.44%。动态条件下,无缓蚀剂的测试介质中,试样的腐蚀速率随着转速的增加而增加。在含有80 mg/L十二胺缓蚀剂测试介质中,试样在转速为500 r/min时的腐蚀速率最大;而在2000 r/min时,试样的腐蚀速率最小,缓蚀剂的加入明显的改变了试样的腐蚀行为。转速为1500 r/min时,试样的腐蚀速率随着缓蚀剂浓度的增加而减少;当缓蚀剂浓度为80 mg/L时,缓蚀效率可以达到87.93%。

关键词: CO2 腐蚀 ; Q235碳钢 ; 缓蚀剂 ; 动态

Abstract

The corrosion inhibition of dodecylamine on carbon steel in NaCl solution with continuous aeration of CO2 was studied by means of a rotating disk with electrochemical methods. Results show that the inhibition efficiency of dodecylamine can reach 93.44% with the inhibitor dose of 60 mg/L in the solution. In the blank NaCl solution without inhibitor, the corrosion rate of the steel increases with the increase of the rotation speed. In the solution with the inhibitor dose of 80 mg/L, the corrosion rate of the steel reaches the highest by rotation speed 500 r/min, and then the lowest by 2000 r/min. The corrosion behavior of carbon steel has changed obviously in the presence of inhibitor. The corrosion rate increases with the increase of inhibitor dose, and the inhibition efficiency can reach 87.93% in the presence of inhibitor dose of 80 mg/L by 1500 r/min.

Keywords: CO2 corrosion ; Q235 carbon steel ; inhibitor ; flow condition

0

PDF (1011KB) 元数据 多维度评价 相关文章 收藏文章

本文引用格式 导出 EndNote Ris Bibtex

刘宏伟, 熊福平, 吕亚林, 葛承宣, 刘宏芳, 胡裕龙. 动态条件下十二胺对Q235碳钢CO2腐蚀的缓蚀行为研究[J]. , 2016, 36(6): 645-651 https://doi.org/10.11902/1005.4537.2016.121

LIU Hongwei, XIONG Fuping, LV Yalin, GE Chengxuan, LIU Hongfang, HU Yulong. CO2 Corrosion Inhibition of Carbon Steel by Dodecylamine under Flow Conditions[J]. 中国腐蚀与防护学报, 2016, 36(6): 645-651 https://doi.org/10.11902/1005.4537.2016.121

1 前言

材料的腐蚀失效是一个世界性难题[1-4]。油气田系统中,管线钢的CO2腐蚀问题一直备受关注,多次造成油气田管线腐蚀穿孔失效,甚至脱落,不仅对油气田的生产带来了巨大的安全隐患,同时也造成了巨大的经济损失[5-8]。中原油田自1995年以来,因CO2腐蚀已经造成10口井17次发生管柱穿孔和断脱事故[9]。实际工况条件下,CO2腐蚀非常复杂,影响因素也较多,如温度、CO2分压、腐蚀产物膜、流速等等。在众多影响因素中,流速对CO2腐蚀起着重要的作用。流速会影响腐蚀电化学反应的传质过程,流速增大,使HCO3-和H+等去极化剂更快地扩散到电极表面,使阴极去极化增强,另外还会使腐蚀产生的Fe2+迅速扩散到流体中,增加阳极Fe的溶解。另外流体的切向冲刷力对腐蚀产物膜的形成也起着重要作用。

目前而言,控制CO2腐蚀最经济有效的方法就是添加缓蚀剂,目前常用的缓蚀剂有咪唑啉、胺类及其衍生物[10-12]。缓蚀剂通过物理化学作用在金属基体表面形成一层致密的保护膜,从而阻碍腐蚀性离子对基体的侵蚀,起到对基体的保护作用。关于缓蚀剂对CO2腐蚀控制的国内外研究报告较多。赵景茂等[13]研究了咪唑啉与硫脲在CO2腐蚀体系中的缓蚀协同作用机理,结果表明,把两种浓度均为5 mg/L缓蚀剂进行复配时,缓蚀效率可以达到95.21%,而两者单独使用时即使浓度分别为50 mg/L时,缓蚀效率也分别只有90.58%和90.20%,两种缓蚀剂的联用表现出优异的缓蚀协同效应。鲁照玲[9]对十二胺的吸附和缓蚀机理研究表明,较低pH值 (4.9) 条件下,十二胺主要抑制腐蚀的阴极过程,溶液发生脱附;较高pH 值 (6.9) 条件下,缓蚀剂能够牢固吸附在金属表面,同时抑制腐蚀的阴、阳极过程。Ortega-Sotelo等[14]研究了不同浓度咪唑啉中间体对X70管线钢的CO2腐蚀抑制行为,结果表明当缓蚀剂浓度为8.1×10-5 mol/L时,缓蚀效率最高,缓蚀剂浓度过高会促进缓蚀剂的脱附,由于缓蚀剂的络合作用会促进阳极Fe的溶解。

对于动态条件下,缓蚀剂对CO2腐蚀的抑制行为及机理的系统研究还比较少。Ortega-Toledo等[15]研究了动态条件下改性咪唑啉缓蚀剂对X120管线钢CO2腐蚀的抑制行为,结果表明,空白条件下,腐蚀速率随着转速的增加呈增加的趋势;当加入缓蚀剂之后,转速在500 r/min时腐蚀速率最小。一般而言,静态条件下缓蚀效率随缓蚀剂浓度的增加而呈现峰值[14]。但是在动态条件下,缓蚀效率峰值的出现是流速、缓蚀剂膜和腐蚀产物膜三者平衡的结果。这是因为,一方面流速的增加会促进腐蚀性离子的侵蚀和电荷传递,促进基体的腐蚀;另一方面,流速的增加会促进夹杂缓蚀剂膜的腐蚀产物膜的形成,起到对基体的保护作用[16-18]

动态条件下缓蚀剂缓蚀行为研究多集中在咪唑啉类缓蚀剂,而对胺类缓蚀剂研究报道较少。本文利用旋转圆盘通过调节不同的转速模拟不同流速,通过电化学技术研究了十二胺缓蚀剂在动态条件下对Q235碳钢的缓蚀行为及缓蚀机理。

2 实验方法

2.1 实验材料

实验所用材料为Q235碳钢,主要化学成分 (质量分数,%) 为: C 0.3,Si 0.01,Mn 0.42,S 0.029,P 0.01,Fe余量。试样加工成长度为10 mm,直径为5 mm的圆柱形,用环氧树脂和聚四氟乙烯加工成旋转圆盘电极,有效工作面积为0.196 cm2。试样均用砂纸逐级打磨至1200#,用丙酮除油,无水乙醇脱脂,冷风干燥。

2.2 实验介质

实验所用的十二胺缓蚀剂,分子结构式见图1。所用缓蚀剂的浓度为0~80 mg/L,测试温度为25 ℃,实验介质为中性3% (质量分数) NaCl溶液。实验前向溶液中通入纯CO2气体2 h,整个实验过程中保持通入CO2,隔绝空气,缓蚀剂加入3 h后开始电化学测量。选择圆盘转速分别为:0,50,1000,1500,2000和2500 r/min。

图1   十二胺分子结构式

Fig.1   Molecular structure of dodecylamine

2.3 缓蚀剂接触角测量和腐蚀形貌观察

通过量角法测定不同浓度缓蚀剂溶液在打磨后钢片上的接触角,缓蚀剂浓度C (mg/L) 分别为:0,25,50,100,200,400,600和800 mg/L。用超景深三维显微镜 (VHX-1000) 对试样去除腐蚀产物后的腐蚀形貌进行分析。

2.4 电化学测试

电化学测试在CS350电化学工作站上进行,采用标准三电极体系,Q235钢旋转圆盘电极为工作电极,Pt电极为对电极,带有鲁金毛细管盐桥的饱和甘汞电极为参比电极。电化学阻抗谱 (EIS) 在开路电位下进行测试,激励信号为10 mV的正弦波,测试频率范围为105~10-2 Hz;动电位扫描速率为0.5 mV/s,电位扫描范围为相对于开路电位±300 mV。电化学阻抗和极化数据分别通过Zview2和Cview2软件拟合。缓蚀效率 (η) 计算公式如下:

η=Icorro -IcorrIcorro×100%(1)

其中,I 0corrIcorr分别是无缓蚀剂和有缓蚀剂条件下试样的腐蚀电流密度。上述所有实验至少重复3次,保证实验结果的准确性。

3 结果与讨论

3.1 缓蚀剂接触角测量

图2和3是含不同浓度的十二胺的NaCl溶液在金属表面的接触角测量结果。可以看出,随着缓蚀剂浓度的增加,接触角整体上呈现减小的趋势,说明相比于纯水,缓蚀剂能够很好的吸附在金属表面,形成一层缓蚀剂膜,阻碍腐蚀性物质对基体的侵蚀[19]。从图3可以看出,缓蚀剂浓度较低时,对金属表面的润湿能力较差。

图2   不同浓度缓蚀剂溶液在Q235碳钢表面的接触角

Fig.2   Contact angles of the solutions containing different concetrations of inhibitor on Q235 carbon steel: (a) 0 mg/L; (b) 25 mg/L; (c) 50 mg/L; (d), 100 mg/L; (e), 200 mg/L; (f), 400 mg/L; (g), 600 mg/L; (h), 800 mg/L

图3   接触角随缓蚀剂浓度变化

Fig.3   Variation of contact angle with the concentration of inhibitor

3.2 静态条件下缓蚀剂的缓蚀行为

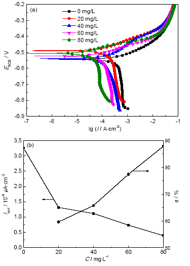
图4a是试样在添加不同浓度缓蚀剂的溶液中的极化曲线,纵坐标为电位的变化,横坐标为电流密度的变化。可以看出,加入十二胺后,试样的阴极和阳极腐蚀电流密度都减少,十二胺缓蚀剂是混合型的缓蚀剂。从图4a可以观察到阳极极化曲线出现两段特征不同的区域。第一段是十二胺存在并发挥缓蚀作用的区域,这是一段由电化学过程控制的Tafel线性区;第二段是与空白溶液中相同的无缓蚀作用区。从图4b极化曲线拟合结果可以看出,随着十二胺浓度的增加,腐蚀电流密度 (Icorr) 迅速减小,η迅速增加,当缓蚀剂浓度为60 mg/L时,缓蚀效率就可以达到93.44%,缓蚀效果较好。当缓蚀剂浓度为80 mg/L时,缓蚀效率为92.37%,缓蚀效率的降低可能是因为缓蚀剂的脱附造成的[20]图4表明,在静态条件下,十二胺对Q235碳钢CO2腐蚀具有较好的缓蚀效果。

图4   试样在静态条件下不同缓蚀剂浓度介质中的极化曲线, 以及拟合得到的腐蚀电流密度与由此计算出的缓蚀效率随缓蚀剂浓度的变化曲线

Fig.4   Polarization curves (a) and the fitted corrosion current density and calculated inhibition efficiency as a fuction of inhibitor concentration (b)

3.3 动态条件下缓蚀剂缓蚀行为研究

3.3.1 极化曲线分析 无缓蚀剂的测试介质中,试样在不同转速条件下获得的极化曲线如图5a。可以看出,随着转速的增加,自腐蚀电位明显的正移,说明在流动状态下,腐蚀介质会促进电极表面腐蚀产物膜的形成。从极化曲线阳极端可以看出,腐蚀电化学反应属于活化控制;阴极端阴极电流密度出现一个极值,而且随着转速的增加而增加。在CO2饱和3%NaCl介质中,CO2首先会溶于水形成H2CO3,H2CO3又逐渐解离成H+。在整个腐蚀过程中,阴极主要发生H+去极化反应[21]。随着转速的增加,H+向电极表面的扩散速率受到抑制,从而导致阴极电流密度出现极值[15]。另外,随着转速的增加,腐蚀电流密度也明显的增加。

图5   Q235钢在有无缓蚀剂条件下不同转速时获得的极化曲线

Fig.5   Polarization curves of Q235 steel in the solutions without (a) and with (b) inhibitor under the conditions of different rotation speeds

测试介质中加入80 mg/L十二胺后,试样在不同转速条件下获得的极化曲线如图5b。动态条件下,腐蚀电流密度明显增加,随着转速的增加,自腐蚀电位呈现正移趋势。可以比较明显的看出,极化曲线阳极端阴极电流密度出现了突然增大的现象,表明缓蚀剂在阳极端随着电流密度的增加出现脱附[22]。在阳极端,出现了极限电流密度,可能是因为电极表面形成了一层缓蚀剂膜,抑制了离子的扩散。

试样在动态条件下获得的极化曲线拟合结果见图6。可以看出,在无缓蚀剂的测试介质中,腐蚀电流密度随着转速的增加而增加,腐蚀电流密度在低转速 (<1000 r/min) 和高转速 (>2000 r/min) 条件下增速较快。试样在中等转速 (1000~2000 r/min) 条件下,可以促进电极表面形成保护性的腐蚀产物膜,从而使得试样的腐蚀电流密度增速降低。但是在高转速条件下,电极表面的剪切力增大,会剥离电极表面形成的保护性腐蚀产物膜,从而促进腐蚀电流密度增速增大。在含有缓蚀剂的测试介质中,试样在500 r/min时的腐蚀电流密度最大,说明此时缓蚀剂对试样的保护效果最差。随着转速的进一步增加,腐蚀电流密度呈现先减少又逐渐增大的现象,在2000 r/min时,试样的腐蚀电流密度最小。腐蚀电流密度随转速的变化趋势也表明,在不同转速条件下,剪切力对试样表面吸附的缓蚀剂膜的剥离能力是不一样的。另外,缓蚀剂膜的形成也会影响电极表面的物质传递和电荷传递过程。因此,在有缓蚀剂存在条件下,腐蚀电流密度的变化趋势与无缓蚀剂存在条件下显著不同。

图6   由图5极化曲线拟合得到的腐蚀电流密度随转速变化曲线

Fig.6   Corrosion current density vs rotation speed curves obtained by fitting polarization curves of Q235 in Fig.5

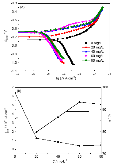
选择转速为1500 r/min,研究动态条件下缓蚀剂的缓蚀行为,测试结果如图7。从图7a可以看出,在动态条件下,随着缓蚀剂浓度的增加,腐蚀电流密度明显减小。从图7a也可以明显的看出,加入十二胺缓蚀剂之后,试样的阴阳极反应过程都受到抑制,十二胺属于混合型缓蚀剂。当缓蚀剂浓度为40 mg/L时,阳极端阳极电流密度出现突然增加的现象,表明缓蚀剂具有一个阳极脱附的过程。从图7b极化曲线拟合结果可以看出,随着缓蚀剂浓度的增加,腐蚀电流密度逐渐减小,而相应的缓蚀率则逐渐增加;当缓蚀剂浓度为80 mg/L时,缓蚀效率可以达到87.93%,缓蚀效果较好。图7分析结果也表明,在动态条件下,十二胺对NaCl溶液介质中CO2腐蚀具有较好缓蚀效果。

图7   1500 r/min条件下不同缓蚀剂浓度测试介质中Q235钢试样的极化曲线及拟合结果

Fig.7   Polarization curves (a) and fitted results (b) of Q235 steel in the solution with different concentrations of inhibitor at the rotation speed of 1500 r/min

3.3.2 电化学阻抗分析 试样在不同转速有/无缓蚀剂条件下获得的电化学阻抗测试结果见图8。从图8a可以看出,在无缓蚀剂测试介质中,随着转速的增加,阻抗弧呈逐渐减小的趋势。当转速在0~1000 r/min时,阻抗出现了明显的感抗,这可能是因为电极表面吸附的Cl-或者腐蚀产物中间体引起的弛豫效应造成的[23]。阻抗弧的逐级减小,也说明随着转速的增加,试样的腐蚀速率也增加。高转速条件下 (1500~2500 r/min),感抗消失,说明较大的剪切力可以促进电极表面反应生成的中间产物或者吸附的Cl-脱落。腐蚀产物的脱落反过来会加速试样的腐蚀,因此在高转速的条件下,试样的阻抗弧较小。从图8b可以看出,在含有缓蚀剂的测试介质中,静态条件下的阻抗弧远大于动态条件下的,说明流体剪切力会降低缓蚀剂对试样基体的保护作用。阻抗弧明显由两个容抗弧组成,说明缓蚀剂在电极表面吸附形成一层保护性的缓蚀剂膜。缓蚀剂膜的形成会阻碍测试介质中腐蚀性离子对基体的侵蚀,从而对试样起到保护作用。

图8   有/无缓蚀剂溶液中不同转速条件下Q235钢试样的电化学阻抗谱

Fig.8   EIS of Q235 steel in the solutions without (a) and with (b) inhibitor at different rotation speeds

电化学阻抗拟合采用的等效电路见图9。其中,Rs是溶液电阻,RfQf分别代表膜电阻和膜电容,RctQdl对应于传递阻抗和双电层电容,L是感抗,RL是其对应的阻抗。阻抗拟合结果见图10,其中极化电阻RpRfRct之和。从图9可以看出,在无缓蚀剂测试介质中,Rp值随着转速的增加呈逐渐减小的趋势。而在含有80 mg/L十二胺缓蚀剂的测试介质中,Rp在500 r/min时最小,在2000 r/min时最大。极化电阻Rp与试样腐蚀速率呈反比关系,说明在含有缓蚀剂的测试介质中,转速为500 r/min时,试样表面吸附的缓蚀剂膜最不稳定,对试样的保护性较差。阻抗分析结果与上述极化曲线 (图5和6) 分析结果相一致。

图9   电化学阻抗拟合等效电路

Fig.9   Equivalent circuits simulating experimental impedance diagrams in Fig. 8 with one time constant (a) and two time constants (b)

图10   Q235钢试样在有/无缓蚀剂的3%NaCl溶液中电化学阻抗的拟合结果

Fig.10   Fitted results of EIS for Q235 in 3%NaClsolutions with and without inhibitor

4结论

(1) 静态条件下,随着缓蚀剂浓度的增加,Q235钢腐蚀电流密度减小;当缓蚀剂浓度为60 mg/L时,缓蚀效率可以达到93.44%,缓蚀效果较好。

(2) 动态条件下,随着转速的增加,Q235钢自腐蚀电位明显的正移,腐蚀电化学反应属于活化控制。腐蚀电流密度随着转速的增加而增加,腐蚀电流密度在低转速 (<1000 r/min) 和高转速 (>2000 r/min) 条件下增速都较快。

(3) 在含有80 mg/L缓蚀剂测试介质中,Q235钢在500 r/min时的腐蚀电流密度最大,说明此时缓蚀剂对试样的保护效果最差。随着转速的进一步增加,腐蚀电流密度呈现先减少后逐渐增大的现象;在2000 r/min时,试样的腐蚀电流密度最小。转速为1500 r/min时,缓蚀剂的加入促使试样的自腐蚀电位正移;随着缓蚀剂浓度的增加,腐蚀电流密度明显减小。当缓蚀剂浓度为80 mg/L时,缓蚀效率可以达到87.93%,缓蚀效果较好。

The authors have declared that no competing interests exist.


/