中国腐蚀与防护学报  2016 , 36 (5): 433-440 https://doi.org/10.11902/1005.4537.2015.205

Orginal Article

湿热工业海洋大气中Si对桥梁钢腐蚀行为的影响

李东亮, 付贵勤, 朱苗勇

东北大学冶金学院 沈阳 110819

Effect of Si on Corrosion Behavior of Model Bridge Steels by Alternative Wetting/drying Test in an Artificial Medium Simulated Hot and Humid Atmosphere of Marine and Industrial Area

LI Dongliang, FU Guiqin, ZHU Miaoyong

School of Metallurgy, Northeastern University, Shenyang 110819, China

中图分类号:  TG174

文献标识码:  A

文章编号:  1005-4537(2016)05-0433-08

通讯作者:  朱苗勇,E-mail:myzhu@mail.neu.edu.cn,研究方向为先进冶炼与连铸工艺及装备技术

版权声明:  2016 《中国腐蚀与防护学报》编辑部 《中国腐蚀与防护学报》编辑部

基金资助:  国家自然科学基金项目 (51304040) 和教育部基本科研业务费项目 (N150204008) 资助

作者简介:

作者简介:李东亮,男,1983年生,博士生

展开

摘要

以NaCl+NaHSO3为腐蚀介质,通过周期浸润加速腐蚀实验、腐蚀失重、XRD、XPS、SEM/EDS和极化曲线等,研究了湿热工业-海洋大气环境中,Si对桥梁钢腐蚀行为的影响。结果表明:实验钢的腐蚀过程遵循幂函数分布规律。Si含量由0.25% (质量分数) 增加到0.48%,实验钢的耐蚀性提高,但随锈层保护性增强,Si的作用有所减弱。Si在强化铁素体组织、细化腐蚀产物颗粒和促进铁氧化物结晶方面的作用显著,能使锈层的保护性在短时间内得到提升。同时Si在裂纹和锈巢边缘出现富集,一定程度上能帮助修复锈层缺陷。Fe2SiO4是Si在锈层中的主要存在形式,具有反尖晶石结构,能增强锈层的稳定性。

关键词: 桥梁钢 ; 大气腐蚀 ; 工业-海洋大气 ; 湿热环境 ; 锈层

Abstract

The effect of Si on the corrosion behavior of two model bridge steels by alternative wetting and drying test in an artificial medium of 0.1 mol/L NaCl+0.01 mol/L NaHSO3, which aims to simulate the atmosphere corrosion of marine and industrial area, was investigated by mass loss method, polarization curve measurement, X-ray diffraction and scanning electron microscope with energy spectrum. The results indicate that the corrosion process of the two steels follows fairly well a power function of W=At n. When the Si content increases from 0.25% (mass fraction) to 0.48%, the weathering resistance of the two steels enhanced. However, with the increase of the thickness of the protective rust layer, the positive effect of Si weakened gradually. Si plays a significant role in strengthening ferrite microstructure, refining the grain size of corrosion products and promoting the crystallization of iron oxide, which enable the protectiveness of the rust layer to be increased in a short time. Besides, Si enriched in the edge of cracks and holes of the rust layer, that may be beneficial to the mending of defects. In the rust layer, Si exists mainly in the phase Fe2SiO4, which has an inverse spinel structure, and thus can enhance the stability of the rust layer.

Keywords: bridge steel ; atmospheric corrosion ; industrial-marine atmosphere ; hot and humid environment ; rust layer

0

PDF (9289KB) 元数据 多维度评价 相关文章 收藏文章

本文引用格式 导出 EndNote Ris Bibtex

李东亮, 付贵勤, 朱苗勇. 湿热工业海洋大气中Si对桥梁钢腐蚀行为的影响[J]. , 2016, 36(5): 433-440 https://doi.org/10.11902/1005.4537.2015.205

LI Dongliang, FU Guiqin, ZHU Miaoyong. Effect of Si on Corrosion Behavior of Model Bridge Steels by Alternative Wetting/drying Test in an Artificial Medium Simulated Hot and Humid Atmosphere of Marine and Industrial Area[J]. 中国腐蚀与防护学报, 2016, 36(5): 433-440 https://doi.org/10.11902/1005.4537.2015.205

1 前言

钢铁材料作为桥梁的“筋骨”,其性能的提升极大地促进了当代桥梁建设事业的发展。尤其在遭受工业污染的沿海大气环境中,Cl-与SO2的共同作用使得腐蚀形势更加严峻,耐候桥梁钢的应用为桥梁的运行安全和使用寿命提供了保障。因此,GB/T 714-2008规定,桥梁用结构钢中必须添加一定量的耐蚀元素以增强钢材的耐候性。随着大型桥梁用钢量的持续增加,桥梁钢的成本逐渐受到关注。在保证钢材性能的前提下,充分利用本国资源优势,降低或替换钢中的贵重合金元素以降低钢材成本已成为桥梁钢的发展趋势。

Si是地壳中的第二富足元素,取材方便,价格低廉。在冶金过程中,Si可以起到与P相似的作用,它在α-Fe及γ-Fe中的溶解度均大于P,对铁素体有较强的固溶强化作用,Si还可以提高钢的抗应力腐蚀开裂性能,因此,可以尝试用提高Si含量的办法来改善钢材的耐大气腐蚀性能。

梁彩凤等[1]对8 a的大气腐蚀数据做了回归分析,认为Si能明显提高钢的耐蚀性,其作用在湿热地区会更加突出。Oh等[2]分析了暴露16 a的钢样,认为在海洋和乡村大气中,较高的Si含量有利于细化α-FeOOH晶粒,进而使钢的腐蚀速率降低。Mejía Gómez等[3]通过室内实验研究了Si对钢材耐蚀性的影响,发现在含Cl-条件下,随Si含量提高,α-FeOOH的含量上升,钢材的失重降低。Kim等[4]通过室内和实地暴露实验,发现在含Ca耐候钢中加入0.62%的Si,钢的耐海洋大气腐蚀性能和锈层硬度均达到最佳。

Townsend[5]对暴露16 a的数据进行分析,认为Si能明显提高钢在工业大气中的耐蚀性。Hudson等[6]通过海水全浸、5 a工业大气暴晒和实验室测试,发现Si含量从0.2%增加到0.8%,钢在大气暴晒和海水全浸实验中的耐蚀性都有不同程度的提高,而实验室测试结果却表现为恶化。Larabee等[7]对工业、乡村和海滨地区暴露15.5 a的数据处理后,得出Si不能提高钢的耐候性。张起生等[8]通过模拟工业大气腐蚀实验,发现随Si含量增加,锈层增厚,变得疏松,黏附性下降,α-FeOOH含量减少,钢的耐腐蚀性能降低。另外,Nishimura[9-12]通过室内加速腐蚀实验,研究了含Si和Al钢的耐海洋大气腐蚀性能,发现随Si和Al含量的增加,钢的耐蚀性提高;耐蚀性最好的化学组成是0.8Si-0.8Al;纳米级的复杂Si2+和Al3+氧化物在内锈层的富集是耐蚀性提高的主要原因。与之同期,陈新华等[13-15]也发现Si和Al协同作用能提高钢在海洋大气中的耐蚀性,但在工业大气条件下却相反。如今新型Si-Al低成本耐候钢已经受到企业的重视[16]

综上所述,Si能提高钢材耐海洋大气腐蚀性能的观点已得到大多数人的认可,其对改善钢材耐工业大气腐蚀性能的作用还存在较大分歧,而有关Si对钢材耐工业-海洋大气腐蚀性能的报道却很少见。在我国沿海经济发达地区,化石燃料的过度消耗导致空气中SO2等工业性腐蚀介质的比例持续上升,Cl-和SO2共存的大气环境会加剧钢材的腐蚀,这严重威胁着当地桥梁等基础设施的安全。本文通过干/湿周浸加速腐蚀实验,研究了Cl-和SO2共存的湿热条件下Si对桥梁钢腐蚀行为的影响,以期为沿海桥梁用钢提供参考。

2 实验方法

2.1 试样制备

参照标准GB/T 714-2008和WNQ 570设计实验钢,采用200 kg真空感应炉冶炼和450轧机轧制成12 mm厚的钢板,钢板化学成分见表1。沿轧制方向将钢板切割成30 mm×20 mm×5 mm,20 mm×10 mm×5 mm和10 mm×10 mm×5 mm 3种规格的试样,分别用于腐蚀失重、物相分析、形貌观察和电化学测试。所有试样表面用砂纸打磨至800 #,之后在丙酮中超声波振动除油、去离子水除杂除渍、无水乙醇脱水、吹风机吹干,干燥24 h后测量试样的尺寸和重量 (分别精确到0.02 mm和0.1 mg)。将电化学试样与Cu导线焊接牢固并将侧面处理干净,之后用环氧树脂和固化剂 (3∶2混匀) 密封并凝固24 h,再将腐蚀试样表面处理出1 cm2的工作面,之后将所有试样进行同步腐蚀。

表1   实验钢化学成分

Table 1   Chemical compositions of experimental steels(mass fraction / %)

SteelCSiMnPSNbTiNiCuFe
1#0.0350.250.750.0180.0010.0600.010.200.32Bal.
2#0.0370.480.690.0160.0010.0640.010.210.32Bal.

新窗口打开

2.2 加速腐蚀实验

参照标准TB/T 2375-1993《铁路用耐候钢周期浸润腐蚀试验方法》,在周期浸润腐蚀实验箱内模拟大气腐蚀,用0.1 mol/L NaCl+0.01 mol/L NaHSO3溶液模拟Cl-与SO2共存时形成的腐蚀液膜。实验单周期80 min,包括干燥、浸渍和潮湿3个步骤:干燥16 min,温度为45 ℃,相对湿度为38%;浸渍18 min,温度为42 ℃;潮湿阶段的相对湿度大于80%,用以模拟湿热的大气环境。试样用玻璃绳垂直悬挂,使中心处于同一高度并均匀分布于实验箱内。分别于48,96,144,240和336 h取样一次,每种试样每次取5个平行样。

2.3 腐蚀失重

带锈试样经机械除锈后用除锈液 (500 mL盐酸+500 mL去离子水+20 g六次甲基四胺) +超声波振动除锈,并用空白试样校正铁损,之后除杂、除渍、脱水、吹干、称重。

按下式计算腐蚀速率,并对同期结果取平均值后做动力学曲线。

d=(m0-m1)(ρS)(1)

v=d/t(2)

式中:d为腐蚀深度,μm;m0m1分别为腐蚀前、后 (校正) 试样的质量,g;ρ为实验钢的密度,g/cm3;S为试样的腐蚀面积,cm2;v为腐蚀速率,mm/a;t为腐蚀 (取样) 时间,h。

2.4 腐蚀试样分析

用Axio Imager M2m光学显微镜 (OM) 观察腐蚀试样的显微组织;用带能谱 (EDS) 的Ultra Plus场发射扫描电子显微镜 (SEM) 分析带锈钢的表面、截面形貌及成分。

物相分析采用X射线衍射仪 (XRD,D/MAX 2400,Cu靶、50 kV、150 mA,扫描角度为10°~70°、扫描速率为2°/min) 和X射线光电子能谱仪 (XPS,ESCALAB250,Al Kα=1486.6 eV,150 W)。

电化学测试采用Parstat 2273电化学工作站,三电极开放体系,工作电极为腐蚀试样,辅助电极为Pt片,参比电极为饱和甘汞电极 (SCE),腐蚀介质与实验溶液相同,测试温度为室温,将试样在溶液中浸泡1 h后再进行测试。极化曲线采用动态恒电位法,扰动电压为-0.8~0 V,扫描速率为0.5 mV/s。

3 结果与讨论

3.1 显微组织

图1所示为实验钢的金相显微组织。超低碳成分设计、高纯度冶炼、全程保护浇铸和适宜的轧制制度,使钢板得到均匀性较好的细晶粒铁素体组织,并使各微区间电极电位差异较小,有利于提升钢材的强度和耐候性[17]

对比1#和2#试样的显微组织发现,1#钢中有明显的珠光体出现,其体积比大于2%;而2#钢中只有微量的珠光体,其体积比约占0.2%,两者相差一个数量级。可见,非碳化物固溶元素Si对降低C扩散系数强化铁素体组织起显著作用[18],这有利于促进钢材在腐蚀前期的均匀腐蚀。

图1   实验钢金相显微组织

Fig.1   Metallographic microstructure of 1# (a) and 2# (b) experimental steels

3.2 腐蚀动力学

图2为实验钢的腐蚀动力学曲线。随腐蚀时间的延长,1#和2#钢的腐蚀深度增加,腐蚀速率降低。在整个实验期间,2#钢的腐蚀深度一直低于1#钢的,说明2#钢比1#钢更耐蚀。二者的差距呈现出先快速增大 (到144 h) 后缓慢减小的趋势,说明适当提高Si含量能增强钢的耐蚀性,但Si所带来的这种优势随腐蚀的加深而有所减弱。1#和2#钢的腐蚀速率差值呈现出先小幅增大 (到144 h) 后迅速减小的趋势,说明到腐蚀中后期,2#钢的锈层保护优势开始减弱。

图2   实验钢腐蚀深度和腐蚀速率随时间的变化曲线

Fig.2   Corrosion depth and corrosion rate vs corrosion time for two experimental steels

用下式对两种钢的腐蚀动力学曲线进行拟合,回归系数均在0.98以上,结果见表2

W=Atn(3)

其中:W为腐蚀深度 (d,μm) 或腐蚀速率 (v,mm/a),t为腐蚀时间,An是与环境和材料相关的常数。

本实验中,两种钢的外部腐蚀环境完全相同。d>0,tn>0,故A>0。n≥1时,随t增加,d线性增加 (n=1) 或快速增加 (n>1),锈层均不具有保护性。0<n<1时,随t增加,d缓慢增加,锈层具有保护性。0<n1#,n2#<1,故1#和2#锈层均具有保护性。整个腐蚀期间,d2#<d1#,说明2#钢锈层的保护性高于1#钢的,即2#钢的耐蚀性比1#钢好。当t相同时,d值由An决定。本实验中,A2#<A1#,但n2#>n1#。结合图2表2可知:A值较大时,钢的前期腐蚀较深;n值较大时,钢在腐蚀中后期的锈层保护性相对较差。

v的拟合结果也显示出类似的规律,即:-1<n<0时,随t的增加,锈层保护性增强,v降低;v越小,钢的耐蚀性越好。t相同时,A值较大,钢的初期腐蚀较快;n值较大,钢的v减小较慢,即中后期腐蚀锈层的保护性相对较差。

综上可知,实验钢在湿热工业-海洋大气环境中的腐蚀动力学曲线符合幂函数W=Atn规律;适当增加Si含量 (到0.48%) 能使钢材的耐候性增强,但随腐蚀时间延长,Si所带来的改善作用有所减弱。

表2   实验钢腐蚀动力学曲线拟合结果

Table 2   Fitting results of corrosion kinetic curves of experimental steels

Steeld / μmv / mma-1
1#d=1.72844t 0.71829,R2=0.99894v=13.05361t -0.25275,R2=0.98785
2#d=1.27265t 0.76508,R2=0.99994v=11.35520t -0.23852,R2=0.99941

新窗口打开

3.3 锈层表面形貌

图3为实验钢腐蚀144和336 h后表面锈层的微观形貌。腐蚀144 h时的锈层微观形貌显示:1#和2#钢均已形成连续的锈层,已经可以全面保护钢基体。1#钢锈层整体起伏较大,存在多条蚯蚓状突起,突起的顶端有细小的裂纹;局部锈层为疏松的大颗粒腐蚀产物,为早期外锈层脱落后的残留。2#钢锈层明显比1#钢的平整、细密,但有较大裂纹存在,裂纹多被新生腐蚀产物填充,说明2#钢锈层此时具有较高的致密性和较强的自修复能力。

图3   1#和2#钢腐蚀144和336 h后锈层的微观形貌

Fig.3   SEM images of rust layers of 1# (a, c) and 2# (b, d) steels after corrosion for 144 h (a, b) and 336 h (c, d)

腐蚀336 h时的锈层微观形貌显示:1#钢的锈层中出现大量团簇生长的花瓣状结晶体,花瓣之间连接紧密;裂纹数量已明显减少,但有较大的不规则的裂纹存在。与144 h相比,1#钢锈层的致密性和腐蚀产物的结晶度均有提高。此时的2#钢锈层更加光滑、致密,但出现边缘整齐的浅裂纹和楔形的深裂纹,很可能是受外力作用或锈层内应力积聚到一定程度突然开裂所致,楔形裂纹较深且没来得及修复,这将成为外界粒子侵入钢基体的快速通道。

裂纹起因于锈层生长过程中体积变化引起的应力积聚,而主要形成于锈层干燥阶段的应力释放过程,是外界粒子入侵钢基体的快速通道,以垂直于钢基体的裂纹对锈层的破坏性最大。裂纹增多、扩大、加深或锈层自修复能力下降都会让更多的外界粒子快速通过锈层,加速钢基体的腐蚀。在湿热无风的实验室理想状态中,外锈层越致密对锈层内部的体积变化或生长应力的束缚能力越强,当应力积聚到一定程度,就会导致裂纹快速形成并扩展;而在自然大气条件下,风、温差变化等均会侵蚀外锈层并使之不断粉化,锈层中的水分和生长应力及时得以释放,裂纹的扩展动力会大大减小。

总体来说,较高的Si含量能明显促进腐蚀产物颗粒的细化,进而使锈层的致密性增强。

3.4 锈层截面形貌

图4为实验钢腐蚀144和336 h的截面微观形貌及元素线扫描结果。腐蚀前先在试样表面进行喷金 (喷金时间相同即金膜厚度相同),以表征锈层的生长趋势或粒子的主要迁移方向[19]

从锈层截面微观形貌来看:钢基体到金线的内锈层在厚度和致密性上均明显超过金线以外的外锈层,说明参与腐蚀反应的粒子向内迁移的速度大于向外的速度,或者说,随着腐蚀产物在钢基体表面积累,锈层的致密性增强,后续新生腐蚀产物向外迁移的路径受阻而只能在内部不断积累,锈层整体呈现出以向内生长为主的趋势。锈层中存在一些锈苞、锈巢和裂纹,锈苞生长在钢基体/锈层的交界面,裂纹多平行于钢基体且与锈巢相连,同时隐约可见曲折的层状腐蚀纹理,反映了腐蚀过程的不均匀性。随腐蚀时间延长,1#和2#钢内锈层的致密性均增强。

从截面的线扫描结果来看:随腐蚀时间延长,1#和2#钢锈层的厚度均增加,内锈层厚度的增加量明显超过外锈层。S主要集中于外锈层或锈巢的边缘,说明锈巢的形成与含硫酸的局部酸化有关[20],内锈层对SO42-有一定的阻挡能力;而Cl在内外锈层的裂纹处都有积聚,说明Cl-的侵蚀或穿透能力较强。Si在内锈层的峰强度稍高于外锈层的,在裂纹和锈巢的边缘发生明显聚集,其作用类似于Cu,说明Si在一定程度上能帮助修复锈层缺陷。

图4   带锈钢截面锈层微观形貌及元素线扫描结果

Fig.4   Cross sections (a, b, e, f) and elemental analysis (c, d, g, h) of rust layers of 1# (a, c, e, g) and 2# (b, d, f, h) steels after corrosion for 144 h (a~d) and 336 h (e~h)

3.5 锈层物相组成

图5为腐蚀后试样的XRD物相分析。实验钢腐蚀144和336 h所得腐蚀产物均主要由非晶和少量的α-FeOOH,β-FeOOH,γ-FeOOH和Fe3O4组成,此外还发现了SiO2和反尖晶石类Fe2SiO4。腐蚀144和336 h时的1#钢锈层中各物相峰的强度差距较大,而2#钢锈层中各物相峰的强度差别较小,同期的2#钢各峰强度均高于相应的1#钢各峰;随腐蚀时间延长,1#钢各峰强度明显增强,与2#钢的差距逐渐缩小。当锈层结构非常相近时,用等量混匀的锈层粉末同时进行XRD检测,所得XRD谱中,同位置物相峰的峰值越高,说明该物相的结晶数量越多[21,22],因此,较高的Si含量能显著促进腐蚀产物的结晶速度和结晶数量。

图6为2#钢经336 h腐蚀后腐蚀产物中Si的XPS分析结果。检测到的Si2p的峰值为 (100.15±0.25) eV,处在数据库中Si(100 eV) 和SiC(100.2/100.3/100.4 eV) 之间,由此推测Si很可能主要以+2价的铁氧化物形式存在[23],而Si在本实验中的主要存在形式即为Fe2SiO4。Fe2SiO4是Si取代Fe3O4晶体中位于八面体的Fe原子而形成的反尖晶石类化合物,它在含硫酸的条件下能够稳定存在,一定程度上能帮助增强锈层的稳定性。分峰处理后还发现了 (98.2±0.1) eV的峰和极低的103.3 eV小峰,说明Si还可能以单质或SiO2的形式存在。单质Si可能是腐蚀过程中形成的无定形硅,而SiO2则可能来源于锈层处理过程中吸附的外界灰尘。于福洲[24]认为,当Si含量较多时,可以在钢表面形成富Si保护膜,使钢的耐蚀性提高。

图5   1#和2#钢锈层的XRD谱

Fig.5   XRD spectra of rust layers of 1# (a) and 2# (b)steels after corrosion for 144 and 336 h

图6   2#钢腐蚀336 h后腐蚀产物中Si的XPS分析结果

Fig.6   XPS analysis of chemical state of Si element in the rust layer of 2# steel after 336 h corrosion

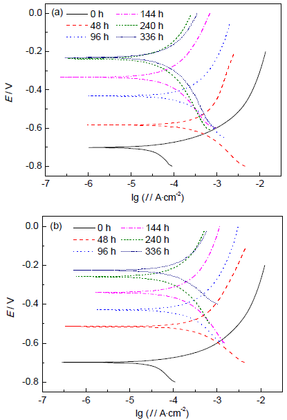
3.6 极化曲线

图7为实验钢腐蚀不同时间后的极化曲线。可见,0 h时,钢表面的钝化膜迅速被表面液膜溶解,腐蚀开始。铁素体在腐蚀过程中失电子作为阳极,珠光体作阴极不得电子,O作为去极化剂在阴极得电子。此时O与钢基体全面接触,反应速率较快,阴、阳极电流密度也较大,而2#钢的腐蚀电位仅比1#钢的高0.003 V,说明Si对钢基体电位的影响不大。

FeFe2++2e(4)

O2+2H2O+4e4OH-(5)

腐蚀48 h时,吸附在钢表面的腐蚀产物阻止了O与钢基体的接触,钢的腐蚀受到抑制,阳极电流密度减小。而新生腐蚀产物的稳定性差,遇O会被迅速氧化,而O的还原仍在快速进行,因此阴极电流密度减小较慢。钢的腐蚀电位随锈层保护性的增强而上升。此时2#带锈钢的腐蚀电位明显高于1#钢的,这与Si能帮助提高锈层保护性是密不可分的。

4Fe(OH)2+O2+2H2O4Fe(OH)3(6)

4Fe(OH)2+O24FeOOH+2H2O(7)

腐蚀产物向稳定形态转化过程中,自身也发生一系列氧化还原反应,它既得电子作阴极,又给O提供电子作阳极。随锈层厚度增加,其还原反应逐渐占据优势,O的还原相对减弱,阴极电流密度降低,96 h后与阳极长期保持平衡。

图7   1#和2#钢的Tafel曲线

Fig.7   Tafel curves of 1# (a) and 2# (b) steels after corrosion for different time

8FeOOH+Fe2++2e3Fe3O4+4H2O(8)

8FeOOH+Si2++2e2Fe3O4+Fe2SiO4+4H2O(9)

4Fe3O4+O2+6H2O12FeOOH(10)

潮湿环境中形成的锈层长期处于干燥条件下时,较致密的锈层对钢基体的附着性会有所下降,因此导致2#带锈钢的腐蚀电位在144~240 h内低于1#钢的。

腐蚀336 h时,1#和2#带锈钢的阴、阳极电流密度同时增大,这与锈层中产生较大裂纹有关。裂纹是O侵入钢基体的快速通道,导致钢的腐蚀加速。而Si能促进腐蚀产物的细化和快速结晶,进而使新生锈层的保护性更强,因此2#带锈钢的腐蚀电位仍能有较大幅度提高。

4 结论

(1) 湿热的工业-海洋大气中,实验用桥梁钢的腐蚀过程遵循幂函数规律,锈层呈现出向内的相对生长趋势。

(2) Si在强化铁素体组织、细化腐蚀产物晶粒和促进铁氧化物结晶方面的作用显著,有利于增强锈层的保护性,减轻钢的腐蚀。

(3) Si在裂纹和锈巢边缘发生聚集,一定程度上能帮助修复锈层缺陷;Si在锈层中主要以尖晶石类化合物Fe2SiO4存在,能增强锈层的稳定性。

(4) Si含量从0.25%增加到0.48%,实验钢耐大气腐蚀性能提高。腐蚀中后期,Si含量较高钢的锈层中出现较大裂纹,使钢的腐蚀加剧,而Si含量较低钢的锈层保护性快速增强,二者腐蚀差距减小,Si的改性作用减弱。

The authors have declared that no competing interests exist.


/