中国腐蚀与防护学报  2016 , 36 (4): 335-342 https://doi.org/10.11902/1005.4537.2015.155

研究报告

SCR脱硝副产物硫酸氢铵对锅炉尾部金属材料的腐蚀特性研究

马双忱1, 邓悦1, 吴文龙2, 檀玉1, 张立男1, 柴峰1, 孙盼盼1, 张小霓2

1. 华北电力大学环境科学与工程学院 保定 071003
2. 国网河南省电力试验研究院 郑州 450052

Corrosion Characteristics of Downstream Metal Material of Boiler System in Solution of By-product Ammonium Bisulfate from SCR Denitrification

MA Shuangchen1, DENG Yue1, WU Wenlong2, TAN Yu1, ZHANG Linan1, CHAI Feng1, SUN Panpan1, ZHANG Xiaoni2

1. College of Environmental Science and Engineering, North China Electric Power University (Baoding), Baoding 071003, China
2. Electric Power Test Research Institute of Henan Province, Zhengzhou 450052, China

中图分类号:  X701

文献标识码:  A

文章编号:  1005-4537(2016)04-0335-08

通讯作者:  通讯作者:马双忱,E-mail:msc1225@163.com,研究方向为燃煤电厂烟气脱硫、脱硝技术

版权声明:  2016 《中国腐蚀与防护学报》编辑部 《中国腐蚀与防护学报》编辑部

基金资助:  国网河南省电力公司电力科学研究院项目 (SJTYHT/13-GS-178) 资助

作者简介:

作者简介:马双忱,男,1968年生,博士,教授

展开

摘要

通过失重法研究了锅炉尾部材料碳钢和不锈钢在ABS (硫酸氢铵) 和H2SO4两种溶液中的腐蚀行为,利用动电位极化曲线分析腐蚀特性。采用SEM/EDS和XPS表征手段分析了腐蚀产物表层的形貌和元素组成以及化合态。结果表明:不锈钢对ABS有更好的耐蚀性,且随着ABS溶液浓度的增大,腐蚀变剧烈。腐蚀产物的种类有Fe2O3,FeOOH,Fe3O4和铁的硫酸盐。碳钢和不锈钢在等浓度的ABS和硫酸溶液中腐蚀过程相似,说明ABS具有很强的腐蚀性。腐蚀机理为碳钢表面首先发生酸性腐蚀,H+作为去极化剂,有H2析出。随着酸度的消耗,金属表面会发生氧腐蚀,溶解氧作为去极化剂。Fe2+接着被进一步氧化为Fe3+,再发生一系列的次生反应,生成Fe的氧化物以及硫酸盐等。

关键词: SCR ; 硫酸氢铵 ; H2SO4 ; 失重法 ; 腐蚀特性

Abstract

The corrosion behavior of the boiler tail material which is made of carbon steel and stainless steel in solutions of ammonium bisulfate (ABS) and H2SO4 respectively was studied by means of mass loss measurement and potentiodynamic polarization curve as well as SEM/EDS and XPS. The results showed that: stainless steel has better corrosion resistance to ABS, and with the increase of ABS solution concentration, corrosion becomes more intensive. The corrosion products consist of Fe2O3, FeOOH, Fe3O4, iron sulfate and a small amount of iron carbon oxide. The corrosion process of carbon steel and stainless steel is similar in the solutions with the same concentration of ABS and sulfuric acid. It can be concluded that ABS has stronger corrosivity. The corrosion mechanism is that hydrogen depolarization first may occur during the corrosion of carbon steel, and then generate hydrogen. As the acid consumption, as well as the effect of dissolved oxygen in the solution, the oxygen depolarization corrosion will happen on metal surface, Fe2+ is then further oxidized to Fe3+, produces a series of secondary reaction, to generate iron oxide and sulfate, etc.

Keywords: SCR ; ABS ; H2SO4 ; weight loss method ; corrosion performance

0

PDF (3133KB) 元数据 多维度评价 相关文章 收藏文章

本文引用格式 导出 EndNote Ris Bibtex

马双忱, 邓悦, 吴文龙, 檀玉, 张立男, 柴峰, 孙盼盼, 张小霓. SCR脱硝副产物硫酸氢铵对锅炉尾部金属材料的腐蚀特性研究[J]. , 2016, 36(4): 335-342 https://doi.org/10.11902/1005.4537.2015.155

MA Shuangchen, DENG Yue, WU Wenlong, TAN Yu, ZHANG Linan, CHAI Feng, SUN Panpan, ZHANG Xiaoni. Corrosion Characteristics of Downstream Metal Material of Boiler System in Solution of By-product Ammonium Bisulfate from SCR Denitrification[J]. 中国腐蚀与防护学报, 2016, 36(4): 335-342 https://doi.org/10.11902/1005.4537.2015.155

1 前言

在现代电厂中,碳钢和不锈钢等金属被广泛应用,但由于高温、高压、水质不良等原因,电厂设备会遭受到严重的腐蚀。选择性催化还原法 (SCR) 脱硝因其技术成熟、脱硝效率高而得到广泛应用[1-3]。NH3-SCR技术的关键是SCR催化剂,商业SCR催化剂中V2O5含量通常在0.5%~4%[4-6]。由于在烟气脱硝的过程中,V2O5催化剂在催化还原NOx的同时,也使烟气中部分SO2氧化成SO3,进而与SCR脱硝过程中未完全反应的氨气在一定的反应条件下生成硫酸氢铵 (ABS)。ABS常温下为无色结晶,易潮解,易溶于水,其水溶液呈强酸性。水溶液中可直接电离出H+,电离反应类似H2SO4

ABS熔点为147 ℃,沸点为350 ℃,密度为1.79 g/mL。这样一种很少见的铵盐却在SCR脱硝过程中产生诸多问题,如ABS能够在催化剂表面及SCR反应器的下游设备和管道上沉积,引起锅炉尾部系统堵塞、腐蚀和阻力上升等问题[3]

而目前未见关于ABS对金属材料腐蚀行为的研究,因此,理解ABS对金属材料的电化学腐蚀机制十分迫切。由于ABS和H2SO4都能电离出H+和SO42-,本文采用静态失重实验对比研究了锅炉尾部材料碳钢和不锈钢在这两种溶液中的腐蚀速率,并利用扫描电镜 (SEM) /能谱 (EDS) 和X射线光电子能谱 (XPS) 对腐蚀产物进行表征,分析腐蚀产物膜中的元素组成及其化合态,最终确定腐蚀产物的种类。并结合碳钢和不锈钢在两种溶液中的动电位极化曲线,探究其腐蚀机理。研究结果可为ABS腐蚀条件下的金属选材和寿命评估提供理论依据和数据支撑。

2 实验方法

2.1 实验材料

实验材料为20#碳钢和304不锈钢,其化学成分如表1所示。

表1   20#碳钢和304不锈钢试样的化学成分

Table 1   Chemical compositions of 20# carbon steel and 304 stainless steel (mass fraction / %)

SteelCSiMnSPCrNiCuFe
20#0.210.250.350.030.0350.210.250.20Bal.
304ss0.080.951.910.010.03418.418.140Bal.

新窗口打开

腐蚀挂片试样为10 mm×10 mm×3 mm的钢片;试样经线切割加工后退火,经SiC砂纸逐级打磨至800#后用钢印做标记给试样编号。用去离子水冲洗,丙酮脱脂后,吹干称重。

实验溶液用去离子水调配,包括300,3000和30000 mg/L硫酸和同浓度ABS溶液。实验所用化学药品H2SO4和NH4HSO4均为分析纯。

2.2 腐蚀失重

将两种试样按编号浸泡于以上溶液中,实验周期60 d。实验结束后取出试片并采用12%HCl+2%乌洛托品,常温浸泡。除净腐蚀产物后,用去离子水快速清洗试样,再用无水酒精擦洗、丙酮除油后,干燥24 h称重,根据下式计算平均腐蚀速率:

V=m0-m1St(1)

式中:S为试样面积,m2,t为实验时间,h,m0为腐蚀前试样的质量,g,m1为腐蚀后且清洗掉腐蚀产物后试样的质量,g。

2.3 动电位扫描极化曲线测试

本研究中动电位极化曲线测试过程选用标准的三电极体系,待测的腐蚀试样作为工作电极,Pt电极作为对电极,饱和甘汞电极作为参比电极[7-9]。利用Tafel直线外推法,使阴阳极极化曲线的Tafel直线段反向延长线交于一点,该点所对应的电位即为腐蚀电位,所对应的电流密度即为腐蚀电流密度[10-12]

制备金属电极:将20#碳钢和304不锈钢分别加工成10 mm×10 mm×3 mm的试样,然后用100#~1000#砂纸逐级打磨,再进行表面抛光。再依次用去离子水清洗、丙酮除油,吹干备用。用电锡焊将细铜导线与金属试样表面焊牢。再用配置好的环氧树脂将金属试样固化。固化金属试样24 h后进行磨制、抛光。移取100 mL已配制好的溶液至三口烧瓶中,将Pt电极、饱和甘汞电极和待测的试样电极与多通道恒电位仪/恒电流仪连接构成三电极体系,开路电位稳定后,采用动电位扫描极化曲线法测定其极化曲线,扫描速率为0.3 mV/s。

2.4 腐蚀产物表征

采用配有EDS (Genesis 2000) 的BRUKER Nano X Flash Detector 5010 型SEM,对腐蚀后试样的表面微观形貌进行观察,对表面腐蚀产物成分进行测试。采用PHI5000型XPS观察实验后试样的表观形貌,研究腐蚀产物膜中的元素组成及其化合态,确定腐蚀产物的种类。X射线源为MgK线;射线源功率300 W;全元素扫描89.45 eV;单元素扫描71.55 eV;结合能用C1s=284.8 eV为基准校正。

3 结果与讨论

3.1 失重法测定金属的腐蚀速率

3.1.1 腐蚀形貌观察 观察发现,置于硫酸溶液中的试片表面生成均匀的棕褐色腐蚀产物,溶液中出现黑色的残渣;而置于ABS溶液中的试片表面生成均匀的暗黄色腐蚀产物。且两种溶液浓度越大,腐蚀产物越多。图1为不同溶液中碳钢的腐蚀膜的表面SEM像,其中图1a和b分别为3000 mg/L ABS和3000 mg/L H2SO4溶液中碳钢的腐蚀情况。

图1   在3000 mg/L ABS和3000 mg/L H2SO4溶液中碳钢表面腐蚀的SEM像

Fig.1   SEM images of carbon steel after corrosion in 3000 mg/L ABS (a) and 3000 mg/L H2SO4 (b) solution

图2   3000 mg/L ABS溶液中304不锈钢试样的腐蚀形貌

Fig.2   SEM image of 304 stainless steel after corrosion in 3000 mg/L ABS solution

经过比较可知,在ABS溶液中,腐蚀后的试样表面出现一层较薄的氧化皮,还有少许小的腐蚀坑洞;而在H2SO4溶液中腐蚀后的试样,可观察到明显的腐蚀缝隙。这说明在相同浓度下的H2SO4溶液中,20#碳钢的腐蚀更剧烈。

图2为3000 mg/L ABS溶液中不锈钢试样的腐蚀形貌。可见,不锈钢表面比较均匀平整,未观察到有明显的杂质和孔隙存在,没有明显的腐蚀痕迹,说明不锈钢耐蚀性更好。

3.1.2 腐蚀速率计算 利用式 (1) 计算得到的碳钢和不锈钢在不同溶液中的腐蚀速率计算结果见表2和3。

图3   20#碳钢在不同浓度ABS和硫酸溶液中的腐蚀速率

Fig.3   Corrosion rates of 20# carbon steel in different concentrations of ABS and sulfuric acid solutions

表2   碳钢试样称重结果记录

Table 2   Mass changes and corrosion rates of 20# carbon steel during corrosion

SolutionConcentration
mgL-1
Time
h
Superficial areacm2Original mass / gPresent mass / gMass lossgCorrosion rate
g / (m2h)
Blank---144024.344230.75330.5050.2490.071
ABS300144024.733026.29426.0300.2640.074
3000144024.733026.18925.8020.3880.109
30000144026.35428.44326.8891.555460.410
H2SO4300144029.42829.18928.8530.3370.079
3000144023.89126.01525.2790.7350.214
30000144027.11329.18827.1951.9930.511

新窗口打开

表2图3可以看出,相比空白实验,随着ABS和硫酸溶液浓度的增大,腐蚀速率都有了不同程度的增大;在同等浓度ABS溶液和硫酸溶液中,碳钢在硫酸溶液中的腐蚀速率较大。

表3图4可以看出,ABS和硫酸浓度越大,不锈钢腐蚀速率越快;腐蚀介质浓度较低时,不锈钢在硫酸溶液中的腐蚀速率较大;而当浓度较高时,两者腐蚀速率相差不大。且相比碳钢,不锈钢在两种溶液中的腐蚀速率明显降低。

图5为碳钢在3000和30000 mg/L ABS溶液中浸泡60 d的EDS谱。结果显示,分析区域的主要元素为O,S和Fe,其中Fe来自于碳钢,S来自于ABS溶液,O主要来自于溶液中的溶解氧。由表3和4可知,ABS溶液浓度越高,腐蚀产物中的S含量也越高,腐蚀越严重。

表3   不锈钢试样称重结果记录

Table 3   Mass changes and corrosion rates of 304 stainless steel during corrosion

SolutionConcentration
mgL-1
Time
h
Superficial area / cm2Originalmass / gPresent mass / gMass loss / gCorrosion rate
×10-3 g / (m2h)
Blank---144021.33715.816715.81330.00341.1066
ABS300144024.30318.152918.14900.00391.1144
3000144021.21515.788515.78020.00832.7169
30000144021.75616.233516.22320.01033.3715
H2SO4300144021.63016.12716.1210.0051.702
3000144021.62716.00515.9960.0082.601
30000144021.03015.33515.3240.0113.632

新窗口打开

图4   不同浓度ABS和硫酸溶液中不锈钢的腐蚀速率

Fig.4   Corrosion rates of 304 stainless steel in different co-ncentrations of ABS and sulfuric acid solutions

图5   20#碳钢在3000和30000 mg/L ABS溶液中浸泡60 d的EDS结果和表面成分

Fig.5   EDS results and corrosion surface compositions of carbon steel immersed in 3000 mg/L(a) and 30000 mg/L (b) ABS solutions for 60 d

3.2 动电位极化曲线法

通过Origin绘制lg|I |~E关系图,利用Tafel直线外推法,使阴阳极极化曲线的Tafel直线段反向延长线交于一点,该点的横纵坐标对应相应的腐蚀电位Ecorr和腐蚀电流密度Icorr图7为碳钢在不同浓度ABS溶液中的动电位极化曲线,图8为碳钢在3000 mg/L ABS和硫酸溶液中的动电位极化曲线。

图6极化曲线经过Tafel斜率拟合计算后,得到碳钢在300,3000和30000 mg/L ABS溶液中的Ecorr分别为-0.796,-0.657和-0.609 V,其对应的Icorr分别为50.119,112.202和851.140 μAcm-2,说明随着ABS浓度的增加,腐蚀电流密度也增加,碳钢的腐蚀速率加快。

图6   20#碳钢在不同浓度ABS溶液中的动电位极化曲线

Fig.6   Potentiodynamic polarization curves of 20# carbon steel in different concentrations of ABS solution

图7可以看出,在3000 mg/L ABS和硫酸溶液中,两条极化曲线具有较高的相似度。经过Tafel斜率拟合计算后可以看出,两种溶液中,碳钢的EcorrIcorr相近,硫酸溶液中的略高于ABS溶液中的。说明同等浓度的ABS和硫酸对碳钢的腐蚀程度接近,且硫酸对碳钢的腐蚀速率略大于ABS溶液。

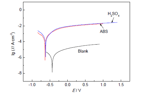
图8为不锈钢在不同浓度ABS溶液中的动电位极化曲线,图9为不锈钢在浓度为3000 mg/L的ABS和硫酸溶液中的动电位极化曲线。

图9看出,在3种浓度的ABS溶液中,极化曲线随着电极电位的升高,从活化极化区进入活化-钝化过渡区,电极电位继续升高,则进入金属的稳定钝化区。当电位超过0.8 V后,不锈钢进入过钝化区,腐蚀电流密度迅速增加,表现为不锈钢表面钝化膜的击穿。从图8中可以看出,在3000和30000 mg/L下的Ecorr要比在300 mg/L中的更负,即不锈钢在高浓度ABS溶液中更容易发生腐蚀,而且Icorr更大,说明ABS溶液浓度越高,腐蚀速率越快。还可以看出,不锈钢在3000和30000 mg/L ABS溶液中的EcorrIcorr相差不大,所以不锈钢在这两种溶液中的腐蚀速率差距不会太大,这点在本实验失重法测试结果中也有所体现。

图7   碳钢在3000 mg/L ABS和H2SO4溶液中的动电位极化曲线

Fig.7   Potentiodynamic polarization curves of 20# carbon steel in 3000 mg/L ABS and H2SO4 solutions

图8   304不锈钢在不同浓度ABS溶液中的动电位极化曲线

Fig.8   Potentiodynamic polarization curves of 304 stainless steel in different concentrations of ABS solution

图9   304不锈钢在3000 mg/L ABS和H2SO4溶液中的腐蚀极化曲线

Fig.9   Potentiodynamic polarization curves of 304 stainless steel in 3000 mg/L ABS and H2SO4 solutions

图9可看出,不锈钢在3000 mg/L ABS和硫酸溶液中的EcorrIcorr接近,尽管不锈钢在硫酸溶液中有更长的活化区,但腐蚀过程相似,说明相同浓度的ABS溶液和硫酸对不锈钢的腐蚀有相同的影响。

两种材料在ABS和硫酸溶液中,当Fe处于活化状态时,会快速溶解,但是溶液中有大量SO42-的存在,Fe2+与SO42-反应形成FeSO4沉淀层,阻滞了阳极反应,因此此时扩散电流密度被限制。由于H+不易达到FeSO4内部,pH值会增大,故电位超过-0.5 V时,Fe2O3开始在Fe的表面生成,形成致密的氧化膜,阻滞了Fe的溶解,出现了钝化现象。由于Fe2O3能在较高电位内稳定存在,所以钝化过程能保持一定的范围。直到电位超过O2/H2O体系的平衡电位时,才开始析出氧,电流密度重新增大。

3.3 腐蚀产物膜的XPS分析

3.3.1 腐蚀产物膜的全元素XPS分析 腐蚀产物膜的全扫描可得到各元素不同亚层电子的结合能谱,对其分析可得到膜的元素组成信息。图10是碳钢分别在300和30000 mg/L ABS溶液中浸泡60 d后腐蚀产物膜的全元素XPS谱。

图10a中可看到,腐蚀产物膜中含有Fe,C和O,其中Fe来自20#碳钢,C来自20#碳钢和腐蚀介质,O来自腐蚀介质,说明腐蚀膜主要是Fe的氧化物、碳酸盐、复盐或它们的混合物。由图10b可知,腐蚀产物膜中含有Fe,C,O和S 4种元素。其中Fe来自20#碳钢,C来自20#碳钢和腐蚀介质,O和S来自腐蚀介质。

相比图10a,图10b中出现了S的谱线,这说明在高浓度ABS溶液中的ABS参与到碳钢的腐蚀,而在低浓度ABS溶液中,ABS作用不明显。再通过对各元素进行窄峰分析,可得到各元素的不同化合价态,最终确定腐蚀膜层的成分。

图10   20#碳钢在300和3000 mg/L ABS溶液中腐蚀后表面的XPS全谱

Fig.10   XPS full spectrum of 20# carbon steel immersed in 300 mg/L (a) and 3000 mg/L (b) ABS solutions for 60 d

图11   不同浓度ABS溶液中碳钢腐蚀膜层的各元素峰

Fig.11   C1s (a, d), O1s (b, e), Fe2p (c, f) and S2p (g) peaks of 20# steel after corrosion in 300 mg/L (a~c) and 30000 mg/L (d~g) ABS solutions for 60 d

3.3.2 腐蚀产物膜的各元素XPS分析 图11为20#碳钢在300和30000 mg/L ABS溶液中腐蚀后膜层的各元素峰。可明显看出,300和30000 mg/L ABS溶液中C和O的XPS能谱有差异。在两种浓度溶液中,C的能谱都是三组分叠合峰。低浓度中的285.34 eV和高浓度中的285.36 eV与285.40 eV左右的C—O相对应。低浓度中的285.01 eV和高浓度中的284.95 eV与285.10 eV左右的单质碳相对应,低浓度中284.57 eV和高浓度中284.39 eV与284.50 eV左右的单晶石墨相对应。可能是吸附空气的或外界污染,与腐蚀膜成分没有直接关系。低浓度中O为三组分的两个叠合峰,高浓度中O为两个组分的独立峰。键能的最大吸收峰分别位于531.18和531.55 eV,与531.10 eV左右的Fe2O3相对应;低浓度中的530.38 eV和高浓度中的530.28 eV与530.50 eV左右的OH-相对应,低浓度中键能最小的峰529.97 eV与529.80 eV的FeO相对应。

分析Fe2p3峰的XPS谱,其键能最大的吸收峰分别位于712.66和712.46 eV,与FeOOH相对应,710.80 eV左右的710.81 eV(低浓度中) 与710.96 eV (高浓度中) 峰与Fe2O3相对应,710.46 eV (高浓度) 的峰与710.50 eV左右的Fe3O4相对应。分析S2p峰的XPS谱图,169.53,168.72和168.37 eV的峰分别对应Fe2(SO4)3,FeSO4和Na2SO4

综上可得,在300 mg/L ABS溶液中浸泡60 d后的碳钢腐蚀表层中含有Fe2O3和FeOOH等。在30000 mg/L ABS溶液中浸泡60 d后的碳钢的腐蚀表层中含有Fe2O3,FeOOH,Fe3O4和Fe的硫酸盐等。

上述腐蚀产物可能通过以下途径生成:

因为ABS是酸性物质,所以两种浓度的ABS溶液都呈酸性,碳钢暴露在此种酸性溶液中表面会进行全面腐蚀。阴极的去极化还原反应与阳极的金属氧化反应共同组成整个腐蚀过程。腐蚀初期,因为溶液呈酸性,阴极会发生氢去极化腐蚀:

2H++2eH2(2)

此时的阳极反应为金属的活性溶解反应:

FeFe2++2e(3)

随着反应进行,H+逐渐被消耗,氢的平衡电位较低,溶液酸性逐渐减弱,加上溶解氧的存在,此时腐蚀电池的阴极会发生氧的去极化腐蚀:

O2+2H2O+4e4OH-(4)

氧在阴极上接受电子,即所谓的吸氧腐蚀。Fe2+和OH-在水中会发生次生反应,生成次生产物:

Fe2++2OH-FeOH2(5)

4Fe(OH2+2H2O+O24Fe(OH3(6)

2Fe(OH3Fe2O3+3H2O(7)

Fe(OH2+2Fe(OH3Fe3O4+4H2O(8)

Fe3O4+2H2O3FeOOH+H++e-(9)

在ABS溶液中,SO42-会参与到反应中生成铁的硫酸盐,但在300 mg/L浓度下,SO42-浓度较低,所以硫酸盐的含量也较低。

4 结论

(1) 20#碳钢和304不锈钢在不同浓度的ABS和硫酸溶液中的腐蚀过程相似,说明ABS具有酸的特质,具有很强的腐蚀性。

(2) 通过观察不同浓度ABS溶液中碳钢和不锈钢腐蚀形貌可知,不锈钢对ABS有更好的耐蚀性,且随着ABS溶液浓度的增大,腐蚀变得更加剧烈。

(3) 碳钢和不锈钢在两种浓度ABS溶液中浸泡60 d的表层腐蚀产物膜主要由Fe2O3,FeOOH,Fe3O4和Fe的硫酸盐等组成。

(4) ABS对碳钢的腐蚀机理类似硫酸。由于ABS呈酸性,碳钢表面首先进行氢去极化腐蚀,有H2析出;随着H+的消耗,以及溶液中溶氧的作用,金属表面会发生氧的去极化腐蚀;Fe2+接着被氧进一步氧化为Fe3+,再发生一系列的次生反应,生成铁的氧化物以及硫酸盐等。

The authors have declared that no competing interests exist.


/