中国腐蚀与防护学报  2016 , 36 (3): 245-252 https://doi.org/10.11902/1005.4537.2015.123

研究报告

溴化N-辛烷异喹啉在盐酸溶液中对Q235碳钢的缓蚀行为

王春霞, 陈敬平, 张晓红, 王赪胤

扬州大学化学化工学院 扬州 225002

Corrosion Inhibition of Octyl Isoquinolinium Bromide on Q235 Carbon Steel in HCl Solution

WANG Chunxia, CHEN Jingping, ZHANG Xiaohong, WANG Chengyin

College of Chemistry and Chemical Engineering, Yangzhou University, Yangzhou 225002, China

中图分类号:  TG174.42

文献标识码:  A

文章编号:  1005-4537(2016)03-0245-08

通讯作者:  王赪胤,E-mail:wangcy@yzu.edu.cn,研究方向为电化学与电化学分析

收稿日期: 2015-07-20

网络出版日期:  2016-06-20

版权声明:  2016 《中国腐蚀与防护学报》编辑部 《中国腐蚀与防护学报》编辑部

基金资助:  国家自然科学基金项目 (21375116) 和扬州市-扬州大学科技合作资金项目 (2014-1) 资助

作者简介:

作者简介:王春霞,女,1987年生,硕士生

展开

摘要

采用失重法、动电位极化曲线法和电化学阻抗谱研究了溴化N-辛烷异喹啉 ([C8iQuin]Br) 在盐酸介质中对Q235碳钢的缓蚀行为。结果表明:[C8iQuin]Br是一种同时抑制阳极和阴极反应的混合型缓蚀剂,缓蚀效率随缓蚀剂浓度增大而增大,随温度的升高而降低;[C8iQuin]Br在Q235碳钢表面的吸附符合Laugmuir等温吸附式,吸附平衡常数Kads值较大,说明缓蚀剂在金属表面的吸附能力较强。

关键词: 碳钢 ; 缓蚀剂 ; 溴化N-辛烷异喹啉 ; 腐蚀速率 ; 缓蚀效率 ; 吸附

Abstract

The corrosion inhibition of octyl isoquinolinium bromide on Q235 carbon steel in HCl solution was studied by means of mass loss test, potentiodynamic polarization curves and electrochemical impedance spectroscopy. The results show that octyl isoquinolinium bromide is a mix-type inhibitor which can inhibit the anodic- and cathodic-reactions. The inhibition efficiency increases with the concentration of inhibitor and decreases with temperature. The adsorption of octyl isoquinolinium bromide on Q235 carbon steel surface accords with Laugmuir isothermal adsorption. The adsorption equilibrium constant Kads is big, which can explain the strong adsorption ability of inhibitor for the steel.

Keywords: carbon steel ; inhibitor ; octyl isoquinolinium bromide ; corrosion rate ; inhibitionefficiency ; adsorption

0

PDF (1997KB) 元数据 多维度评价 相关文章 收藏文章

本文引用格式 导出 EndNote Ris Bibtex

王春霞, 陈敬平, 张晓红, 王赪胤. 溴化N-辛烷异喹啉在盐酸溶液中对Q235碳钢的缓蚀行为[J]. , 2016, 36(3): 245-252 https://doi.org/10.11902/1005.4537.2015.123

WANG Chunxia, CHEN Jingping, ZHANG Xiaohong, WANG Chengyin. Corrosion Inhibition of Octyl Isoquinolinium Bromide on Q235 Carbon Steel in HCl Solution[J]. 中国腐蚀与防护学报, 2016, 36(3): 245-252 https://doi.org/10.11902/1005.4537.2015.123

1 前言

工业设备在使用过程中难免会产生各种污垢,不仅会影响设备的正常使用,还有可能存在安全隐患,解决该问题最常用的方法是通过酸洗来处理这些污垢。但是,在酸洗过程中又会对金属设备造成一定的腐蚀,产生新的问题。目前,用于解决该问题最有效的方法就是添加缓蚀剂 [1-3]

离子液体是一种在室温条件下呈液体状态的物质,是由有机阳离子和无机阴离子或有机阴离子组成的盐类。离子液体型表面活性剂不仅具有离子液体的特性,还能保持表面活性剂的两亲性,是一种功能性材料。已有研究[4,5]表明,离子液体性缓蚀剂具有与金属吸附性好,缓蚀性强的特点,经常被用作碳钢在CO2介质或酸介质中的缓蚀剂。因其具有电化学窗口较宽、挥发性较小、生物毒性低、化学稳定性及热稳定性好等环保特性,以其作为高效环保型缓蚀剂符合缓蚀剂的发展方向 [6]。溴化N-辛烷异喹啉 ([C8iQuin]Br) 离子液体型表面活性剂作为一种新型“软”功能材料或介质[7],用于金属酸洗缓蚀剂方面还未见报道。本工作主要采用失重法、动电位极化曲线法和电化学阻抗法,探讨了 [C8iQuin]Br在1.00 molL-1 HCl溶液中对Q235碳钢的缓蚀作用,为寻求强酸介质中碳钢的高效缓蚀剂提供了理论依据。

2 实验方法

2.1 实验材料

药品为溴化N-辛烷异喹啉 (AR,上海成捷化学有限公司,结构式见图1)。

图1   溴化N-辛烷异喹啉的分子结构图

Fig.1   Molecular structure of octyl isoquinoliniumbromide

实验材料为Q235碳钢,主要成分 (质量分数,%) 为:C 0.33,Si 0.063,Mn 0.53,S 0.031,P 0.009,Fe余量。

2.2 静态挂片失重实验

取大小为50.0 mm×10.0 mm×3.0 mm 的Q235碳钢试片,实验前依次经 800 #,1000 #和1200 #砂纸逐级打磨,蒸馏水冲洗,丙酮、乙醇超声清洗,室温干燥后称重,然后分别悬挂浸泡于不同温度、不同 [C8iQuin]Br浓度的1.00 molL-1 HCl溶液中,静置4 h后取出试片,除去腐蚀产物,再次用蒸馏水冲洗,乙醇、丙酮超声脱脂,室温干燥后称重。

2.3 电化学测试

电化学测试在1.00 molL-1 HCl溶液中进行,测试仪器为CHI660D电化学工作站。测试采用三电极体系,工作电极为Q235碳钢试片,暴露面积为0.785 cm2;参比电极为饱和甘汞电极 (SCE);辅助电极为Pt电极。测试温度为30 ℃。

用砂纸将Q235碳钢工作面逐级打磨抛光至1200 #,蒸馏水冲洗,乙醇、丙酮中超声清洗,室温干燥后置于30 ℃不同 [C8iQuin]Br浓度的1.00 molL-1 HCl溶液中,浸泡30 min后测其开路电位,待开路电位稳定后开始测试。先测定电化学阻抗谱 (EIS),频率范围为105~10-2 Hz,扰动电位为±5 mV;然后进行动电位扫描,扫描速率为1.00 mVs-1,扫描范围为开路电位±200 mV。

2.4 腐蚀形貌分析

为了更直观地说明 [C8iQuin]Br作为缓蚀剂的缓蚀作用,采用XL-30ESEM 型扫描电镜 (SEM) 分别观察Q235碳钢试片在未加缓蚀剂和加入0.30 mmolL-1缓蚀剂的1.00 molL-1 HCl溶液中浸泡5 h后的表面腐蚀形貌。

3 结果与讨论

3.1 缓蚀剂浓度和温度对腐蚀速率及缓蚀效率的影响

3.1.1 缓蚀剂浓度的影响 30 ℃下,在1.00 molL-1 HCl介质中,当缓蚀剂浓度分别为0.01,0.05,0.10,0.30和0.50 mmolL-1时,缓蚀剂浓度对腐蚀速率及缓蚀效率的影响结果见图2

图2   腐蚀速率及缓蚀效率与 [C8iQuin]Br浓度的关系

Fig.2   Changes of corrosion rate and inhibition efficiencywith the content of inhibitor [C8iQuin]Br

可以看出,[C8iQuin]Br浓度在0.01~0.30 mmolL-1范围内时,随着浓度的增加,Q235碳钢试片的腐蚀速率明显降低,缓蚀剂的缓蚀效率迅速提高;当 [C8iQuin]Br浓度超过0.30 mmolL-1后,腐蚀速率减小的幅度趋于缓慢;当 [C8iQuin]Br浓度为0.30 mmolL-1时,腐蚀速率为2.05 g/(m2h),完全可以满足石油行业标准SY/T 5405-1996一级缓蚀剂产品的指标 (3~4 g/(m2h)),表明该缓蚀剂在1.00 molL-1 HCl溶液中对Q235碳钢试片具有较好的缓蚀性能。

3.1.2 温度的影响 缓蚀剂分子在金属表面的吸-脱附是一个动态过程,温度会影响吸-脱附平衡,影响金属的腐蚀速率,从而影响其缓蚀性能。在缓蚀剂含量为0.50 mmolL-1的1.00 molL-1 HCl腐蚀介质中,分别测定Q235碳钢试片在30,40,50,60,70和80 ℃下的腐蚀速率,并计算出相应的缓蚀效率,温度对腐蚀速率及缓蚀效率的影响结果见图3

图3   腐蚀速率及缓蚀效率与温度的关系

Fig.3   Corrosion rate and inhibition efficiency as a functionof temperature

可以看出,温度升高,Q235碳钢试片的腐蚀速率增大,缓蚀剂的缓蚀效率相应降低。温度为30~60 ℃时,腐蚀速率增加较缓慢;温度为60~80 ℃时,腐蚀速率增加较快。这可能是由于温度较低时,缓蚀剂分子的热运动较弱,吸-脱附接近平衡,腐蚀速率增加缓慢;当体系温度较高时,缓蚀剂分子的热运动加剧,动态平衡受到破坏,缓蚀剂的脱附速率大于吸附速率时,Q235碳钢表面吸附的缓蚀剂分子数减少,腐蚀速率逐渐增大,缓蚀效率降低。

3.2 缓蚀剂的吸附行为

假设 [C8iQuin]Br在Q235碳钢表面的吸附符合Langmuir等温吸附方程式[8]

Cθ=C+1k(1)

式中,C为缓蚀剂浓度,单位为molL-1;θ为表面覆盖度,[C8iQuin]Br是一种混合型缓蚀剂,因此θ可用缓蚀效率η近似表示[9];k为常数,等于吸附平衡常数Kads,Lmol-1。若以上假设成立,那么C/θC应该存在线性关系,斜率为1,截距为1/k

将不同温度下的腐蚀数据代入Langmuir等温吸附方程式,作出C/θ-C关系曲线 (见图4)。图4中拟合直线的R值均大于0.9990,斜率约为1,则假设成立。表明 [C8iQuin]Br在Q235碳钢表面为单分子层吸附[10,11]。根据直线截距1/k可得各温度下的吸附平衡常数Kads[12],结果列于表1。可以看出,吸附常数Kads值较大,说明缓蚀剂在金属表面的吸附能力较强[13],并且随着温度的升高,吸附平衡常数Kads减小,说明高温不利于吸附的进行。

图4   不同温度时C/θC的关系

Fig.4   Relationship between C/θ and C at different temperatures

表1   不同温度下 [C8iQuin]Br缓蚀剂在Q235碳钢表面的热力学参数

Table 1   Thermodynamic parameters of inhibitor [C8iQuin]Br on the surface of Q235 mild steel at differenttemperatures

Temperature / KSlopeLinear regression coefficient RKads / M-1ΔGads / kJmol-1ΔHads / kJmol-1ΔSads / Jmol-1K-1
3031.020.999816898-34.64-16.2560.80
3131.020.999713889-35.27
3231.010.999811765-35.96
3331.010.99969434-36.46
3431.020.99958289-37.18
3531.030.99986711-37.65

新窗口打开

Kads与Gibbs吸附自由能ΔGads的关系式如下式所示[14]

ΔGads=-RTln(55.5Kads)(2)

式中,55.5为溶剂水的浓度,单位为molL-1;R为气体常数;T为热力学温度。将各温度下的吸附平衡常数Kads带入式 (2),可以求出各温度下的吸附自由能ΔGads,结果也列于表1

Gibbs吸附自由能ΔGadsT的关系式如下式所示[15]

ΔGads=ΔHads-Sads(3)

ΔGadsT变化符合线性关系,如图5所示,其中斜率为熵变ΔSads,截距为焓变ΔHads。所得各数据一并列于表1

图5   ∆GadsT的关系

Fig.5   Relationship between ∆Gads and T

表1可以看出,吸附自由能ΔGads小于零,说明吸附过程是自发过程[16]。通常,当吸附自由能ΔGads数值大于-20 kJmol-1时,缓蚀剂在金属表面的吸附是以静电吸附为主,属于物理吸附 [17];当吸附自由能ΔGads数值小于-40 kJmol-1时,缓蚀剂在金属表面的吸附是以缓蚀剂与金属的电荷作用为主,属于化学吸附[18];当吸附自由能ΔGads数值在-20~-40 kJmol-1之间,说明缓蚀剂在金属表面既存在化学吸附,又存在物理吸附,是以混合吸附形式存在[19]。由表1中ΔGads数据可知,[C8iQuin]Br缓蚀剂在1.00 molL-1 HCl溶液中的Q235碳钢表面的吸附是一种介于物理吸附与化学吸附之间的混合型自发吸附 [20]。这是由于在盐酸溶液中,Q235碳钢腐蚀失去电子后表面带有正电荷,优先以物理吸附的方式吸附相对分子质量较小的Br-,然后带正电荷的 [C8iQuin]+再通过与Fe的空d轨道形成配位键的化学吸附方式在Q235碳钢表面形成稳定的吸附层。由于 [C8iQuin]Br缓蚀剂具有表面活性,一端为疏水烷基链,另一端为亲水的异喹啉环状结构,亲水端可以以化学吸附的形式较好地吸附在Q235碳钢表面,而另一端的疏水链能较好地屏蔽腐蚀介质与Q235碳钢表面的接触,隔离并切断Q235碳钢表面与酸介质的接触,从而起到缓蚀效果。ΔHads为负值,说明缓蚀剂 [C8iQuin]Br在Q235碳钢表面的吸附是放热的,属于自发过程。因此,缓蚀剂的吸附量会随着温度的升高而降低,缓蚀效率也随着温度的升高而降低,这与实验结果相吻合。ΔSads为正值,说明吸附过程是混乱度增大的过程。

3.3 腐蚀动力学

为了进一步讨论缓蚀剂 [C8iQuin]Br对Q235碳钢的缓蚀作用,对腐蚀反应的动力学进行了研究。根据Arrhenius方程,腐蚀速率可表示为:

V=Aexp[-Ea/(RT)](4)

其中,V为腐蚀速率;Ea为反应的表观活化能;A为碰撞指前因子。由下式得:

lnV=-EaR1T+lnA(5)

图6为1.00 molL-1HCl体系中,添加不同浓度缓蚀剂 [C8iQuin]Br在不同温度下的lnV-1/T的线性关系,由直线斜率与截距分别求出EaA,所得结果列于表2。可见,相对于空白溶液,Q235碳钢在添加缓蚀剂的盐酸溶液中Ea明显增大,这表明吸附于Q235碳钢表面的缓蚀剂提高了腐蚀反应的能垒,抑制了腐蚀反应的发生[21]

图6   未加缓蚀剂与加入不同浓度缓蚀剂的Arrhenius曲线

Fig.6   Arrhenius corrosion curves of Q235 mild steel in 1.00 molL-1 HCl in the absence and presence ofdifferent concentrations of inhibitor [C8iQuin]Br

表2   加入缓蚀剂前后腐蚀反应的EaA

Table 2   Ea and A of corrosion reaction with differentconcentrations of inhibitor [C8iQuin]Br

C / mmolL-1AEa / kJmol-1
02.41×10636.32
0.013.80×10637.85
0.051.13×10741.73
0.102.15×10743.90
0.304.19×10748.04
0.506.34×10750.67

新窗口打开

3.4 电化学腐蚀机理

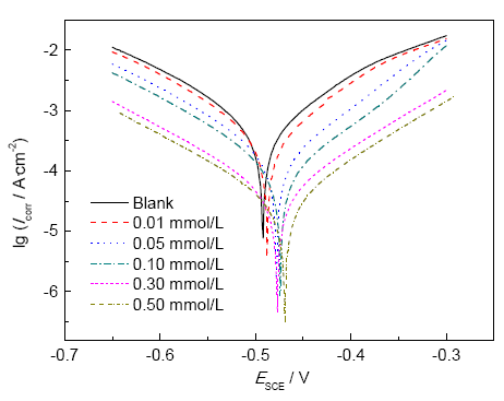
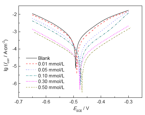
3.4.1 动电位极化曲线 30 ℃下,在不同 [C8iQuin]Br浓度的1.00 molL-1 HCl溶液中,测定Q235碳钢工作电极的动电位极化曲线如图7所示,使用软件拟合得出电化学参数见表3。其中,缓蚀效率η的计算见下式:

η=(I0-Icorr)/I0×100%(6)

式中,I0Icorr分别为空白和含 [C8iQuin]Br的1.00 molL-1 HCl溶液中Q235碳钢工作面的腐蚀电流密度,单位为μAcm-2

图7   Q235碳钢在含不同浓度[C8iQuin]Br的1.00 molL-1 HCl溶液中的极化曲线

Fig.7   Polarization curves for Q235 mild steel in 1.00 molL-1 HCl in the presence and absence of different concentrations of inhibitor [C8iQuin]Br

表3   Q235碳钢在含不同浓度[C8iQuin]Br的1.00 molL-1 HCl溶液中的极化参数和缓蚀效率

Table 3   Polarization parameters and corresponding inhibition efficiencies for Q235 mild steel in 1.00 molL-1 HClwithout and with additions of inhibitor [C8iQuin]Br

CmmolL-1EcorrmVIcorrμAcm-2bamVdec-1bcmVdec-1η%
0-0.492738.34122124---
0.01-0.488511.0811111830.78
0.05-0.478214.278311370.98
0.10-0.474127.527711282.73
0.30-0.47759.8210211591.90
0.50-0.47048.0810111893.49

新窗口打开

图7表3可知:添加 [C8iQuin]Br后,Q235碳钢的腐蚀电流密度显著减小,且随着 [C8iQuin]Br浓度的增加,缓蚀效率不断提高,说明 [C8iQuin]Br在HCl介质中对Q235碳钢有显著的缓蚀作用。不同缓蚀剂浓度的阴、阳极极化曲线斜率变化不大,说明缓蚀剂的加入未改变腐蚀机理[22]。但随着 [C8iQuin]Br浓度的增加,阴极极化曲线和阳极极化曲线均向低电流方向移动,表明 [C8iQuin]Br同时抑制了阳极和阴极反应。结合腐蚀电位及极化曲线变化规律,可认为 [C8iQuin]Br是一种混合型缓蚀剂[23,24],同时还可以看出缓蚀剂的加入并未对极化曲线的自腐蚀电位产生较大的影响,即自腐蚀电位差值ΔEcorr接近于零,这说明该缓蚀剂作用机理属于“几何覆盖效应”模型[9]。Q235碳钢在盐酸溶液中时表面带有正电荷,[C8iQuin]Br中的Br-可优先通过静电吸附在Q235碳钢的表面,使其表面带有负电荷,进一步吸附 [C8iQuin]+。当缓蚀剂分子与金属表面接近时,缓蚀剂分子中的N原子的孤对电子进入Fe的3d空轨道,形成配位键,削弱了Fe表面活性中心的活性,从而降低腐蚀速率。此外,[C8iQuin]Br中的长链烷基形成疏水层,有效地抑制了H+的扩散,从而降低了阴极过程的反应速度,从而起到缓蚀作用。

3.4.2 电化学阻抗法 在30 ℃下不同 [C8iQuin]Br浓度的1.00 molL-1 HCl溶液中,测定Q235碳钢工作电极的电化学阻抗谱,结果见图8

图8   Q235碳钢在含不同浓度[C8iQuin]Br的1.00 molL-1HCl溶液中的Nyquist图

Fig.8   Nyquist plots of Q235 mild steel in 1.00 molL-1 HCl in the presence and absence of different concentrations of inhibitor [C8iQuin]Br

可以看出,Q235碳钢在含不同 [C8iQuin]Br浓度的1.00 molL-1 HCl溶液中的Nyquist图上只有一个容抗弧,说明只具有一个时间常数。根据图9所示的等效电路[25],采用ZSimpWin软件拟合,得到相应的电化学参数,结果见表4。其中,Rs为溶液电阻,单位为Ωcm2;Cdl为双电层电容,单位为μFcm-2,Cdl的大小反映了缓蚀剂在电极表面的吸附特性;Rp为电荷传递电阻,单位为Ωcm2,Rp的大小反映了 [C8iQuin]Br缓蚀剂在电极表面所形成保护膜的性质,Rp越大,则腐蚀反应越难进行,腐蚀速率就越小,保护效果就越好。Nyquist图中的容抗弧半径对应于电极反应的Rp

图9   阻抗谱等效电路

Fig.9   Equivalent circuit model used to fit the EIS experimental data

表4   Q235碳钢在添加不同浓度[C8iQuin]Br的1.00 molL-1 HCl溶液中的阻抗拟合参数

Table 4   Impedance date of Q235 mild steel in 1.00 molL-1 HCl in the presence and absence of different concentrations of inhibitor [C8iQuin]Br

C / mmolL-1Rs / Ωcm2Rp / Ωcm2Cdl / μFcm-2η / %
01.10032.37230.3---
0.011.00144.7045.5127.58
0.050.96092.4336.9264.98
0.100.907145.9327.0877.82
0.300.814245.9717.3286.84
0.500.814270.0711.1788.01

新窗口打开

缓蚀效率计算采用下式:

η=(Rcorr-R0)/Rcorr×100%(7)

式中,R0Rcorr分别为空白和含 [C8iQuin]Br的1.00 molL-1 HCl溶液中Q235碳钢工作面的电荷传递电阻,单位为Ωcm2

图8的Nyquist图和表4可知:Q235碳钢在含不同浓度 [C8iQuin]Br的1.00 molL-1 HCl溶液中,阻抗谱相似,主要由直径较大的高频容抗弧组成,说明缓蚀过程是由电荷传递过程控制[26];空白溶液的Nyquist图在高频端仅表现出很小的一个半圆弧,这说明在电极表面几乎没有形成保护膜层,其腐蚀速率较大。但随着缓蚀剂浓度的增加,容抗弧直径呈增大趋势,即Rp值越来越大,说明缓蚀剂分子在电极表面的覆盖度增大,吸附膜越来越致密,屏蔽效应增强,缓蚀效果越来越好[27]。与空白溶液相比,添加缓蚀剂后Cdl值明显减小,这是因为通常缓蚀剂分子在金属表面的吸附,首先要排挤掉金属表面的水分子,而后吸附在金属表面的某些活性点上,这一过程实质上是电极表面吸附物种的取代过程。由于水分子的介电常数比一般有机分子的大,因而出现缓蚀剂浓度越大,电极表面双电层电容越小的现象[28,29]

3.5 碳钢表面腐蚀形貌

图10为Q235碳钢在1.00 molL-1 HCl溶液中浸泡5 h后的表面腐蚀形貌。由图10a可以看出,Q235碳钢在未加缓蚀剂的盐酸溶液中发生全面腐蚀,表面出现许多腐蚀沟壑;由图10b可以看出,加入缓蚀剂后腐蚀程度大大减缓,表面较为平整,未出现明显的腐蚀,Q235碳钢表面出现的许多白点,有可能是缓蚀剂分子和溶解在溶液中并处于Q235碳钢表面的Fe3+生成的螯合物,并吸附在Q235碳钢表面 [31]

图10   Q235碳钢在添加与未添加[C8iQuin]Br缓蚀剂的1.00 molL-1 HCl溶液中浸泡5 h后的表面形貌

Fig.10   Surface morphologies of Q235 mild steel immersed for 5 h in 1.00 molL-1 HCl solutions without (a) and with inhibitor [C8iQuin]Br (b)

4 结论

(1) [C8iQuin]Br缓蚀剂在盐酸介质中对Q235碳钢具有良好的缓蚀作用,在缓蚀剂用量较低的情况下,缓蚀效率就可达到90%。并且在一定的浓度范围,腐蚀速率随着缓蚀剂浓度的增加而降低,这主要是由于缓蚀剂分子是通过在金属表面形成一层保护膜而起缓蚀作用,随着缓蚀剂浓度的升高,保护膜愈加致密和完整。

(2) 在同一缓蚀剂浓度下,腐蚀速率随介质温度的升高而加快,这是由于缓蚀剂分子是通过吸附在Q235碳钢表面而起到缓蚀效果的,温度升高,缓蚀剂分子的热运动加剧,缓蚀剂分子的脱附速率大于吸附速率,Q235碳钢表面吸附的缓蚀剂分子数减少,表面覆盖度降低,使得Q235碳钢与腐蚀介质的接触面积增大,从而造成了Q235碳钢腐蚀速率的加快。

(3) 在盐酸介质中 [C8iQuin]Br缓蚀剂对Q235碳钢腐蚀的阴极过程和阳极过程均起到了抑制作用,证明了该缓蚀剂是一种混合型缓蚀剂。[C8iQuin]Br缓蚀剂的作用机理为“几何覆盖效应”,在Q235碳钢表面的吸附遵循Langmuir吸附等温方程。

The authors have declared that no competing interests exist.


/