中国腐蚀与防护学报  2016 , 36 (3): 205-211 https://doi.org/10.11902/1005.4537.2015.122

研究报告

利用人工神经网络技术预测气田环境下316L不锈钢临界点蚀温度

刘静1, 李晓禄1, 朱崇伟1, 张涛12, 曾冠鑫3, 孟国哲12, 邵亚薇12

1. 哈尔滨工程大学材料科学与化学工程学院 哈尔滨 150001
2. 中国科学院金属研究所 沈阳 110016
3. 塔里木油田分公司塔北勘探开发项目经理部地面部 库尔勒 841000

Prediction of Critical Pitting Temperature of 316L Stainless Steel in Gas Field Environments by Artificial Neutral Network

LIU Jing1, LI Xiaolu1, ZHU Chongwei1, ZHANG Tao12, ZENG Guanxin3, MENG Guozhe12, SHAO Yawei12

1. College of Materials Science and Chemical Engineering, Harbin Engineering University, Harbin 150001, China
2. Institute of Metal Research, Chinese Academy of Sciences, Shenyang 110016, China
3. North-Tarim Management Department of Exploration and Development Project, Petrochina Tarim Oilfield Company, Korla 841000, China

中图分类号:  TG174.2

文献标识码:  A

文章编号:  1005-4537(2016)03-0205-07

通讯作者:  张涛,E-mail:taozhang@imr.ac.cn,研究方向为金属腐蚀与防护

收稿日期: 2015-09-15

网络出版日期:  2016-06-20

版权声明:  2016 《中国腐蚀与防护学报》编辑部 《中国腐蚀与防护学报》编辑部

基金资助:  国家自然科学基金项目 (U1460202) 资助

作者简介:

作者简介:刘静,女,1988年生,博士生

展开

摘要

根据气田现场工况的调研情况,应用动电位极化法测量了典型气田环境中316L不锈钢的临界点蚀温度 (CPT),并利用人工神经网络 (ANN) 技术对CPT进行了预测。结果表明,CPT随Cl-浓度升高而降低,pH值对CPT影响很小。建立的ANN模型对316L不锈钢的CPT具有良好的预测能力,可实现对气田各作业区复杂耦合环境下CPT的预测。ANN模型的预测结果表明,Cl-浓度和pH值对CPT的影响无交互作用,Cl-浓度是影响CPT的主要因素,因此Cl-将是气田防腐蚀工程的重点控制因素。

关键词: 316L不锈钢 ; 气田环境 ; 临界点蚀温度 ; 人工神经网络 ; 腐蚀预测

Abstract

316L stainless steel is widely used for enhancing the pitting resistance of pipelines in gas field. The corrosion environment is complex and diversified in different working districts of gas field. Therefore, it is necessary to develop a model for predicting the pitting resistance of pipelines serving in different corrosive environments. Critical pitting temperature (CPT) is considered as a criterion for evaluating the pitting resistance of stainless steel. Based on a survey on the operation situations of gas field, the relevant data of CPT for 316L stainless steel is acquired by potentiodynamic polarization method in solutions with various Cl- concentrations and pH values, which are selected to correspond with the real environments in operation. Then, an artificial neutral network (ANN) model is developed to predict the CPT, and therewith to compare with the measured data. The results show that the CPT decreases with the increase of Cl- concentration, but on which pH value has little influence. The developed ANN model has good ability to predict the CPT of 316L stainless steel, and can be used for the prediction of CPT in complex environments in gas field. It is also revealed that there is no interactive effect between Cl- concentration and pH value, and Cl- concentration was the main influencing factor on the CPT. Therefore, Cl- concentration will be peculiarly concerned with for the implementation of a corrosion control project in gas field.

Keywords: 316L stainless steel ; gas field ; critical pitting temperature ; artificial neutralnetwork ; prediction

0

PDF (789KB) 元数据 多维度评价 相关文章 收藏文章

本文引用格式 导出 EndNote Ris Bibtex

刘静, 李晓禄, 朱崇伟, 张涛, 曾冠鑫, 孟国哲, 邵亚薇. 利用人工神经网络技术预测气田环境下316L不锈钢临界点蚀温度[J]. , 2016, 36(3): 205-211 https://doi.org/10.11902/1005.4537.2015.122

LIU Jing, LI Xiaolu, ZHU Chongwei, ZHANG Tao, ZENG Guanxin, MENG Guozhe, SHAO Yawei. Prediction of Critical Pitting Temperature of 316L Stainless Steel in Gas Field Environments by Artificial Neutral Network[J]. 中国腐蚀与防护学报, 2016, 36(3): 205-211 https://doi.org/10.11902/1005.4537.2015.122

1 前言

奥氏体不锈钢具有良好的综合力学性能和优良的耐蚀性能,已广泛应用于工业生产诸多领域[1],目前316L不锈钢复合管在气田环境中已得到应用。316L不锈钢复合管外壁为一定厚度的20号钢以保证管线强度,内衬为316L不锈钢以提高管线的耐蚀能力。气田的腐蚀环境相对复杂且苛刻,高温、高矿化度地层水水质以及CO2酸性气体并存使得整个油气集输生产系统都存在不同程度的腐蚀,即使使用316L不锈钢作为管线内衬,点蚀穿孔事件仍不可避免。点蚀穿孔影响生产安全、造成经济损失,因此,有必要探究气田环境中典型环境因素对316L不锈钢点蚀敏感性的影响,为防腐设计提供技术参考。

上世纪70年代,Brigham和Tozer[2,3]首先提出临界点蚀温度 (CPT) 的概念,用于评价不锈钢的点蚀敏感性。Qvarfort[4]指出,CPT是指材料形成稳态点蚀的最低温度。当温度低于CPT时,不能形成稳态点蚀,材料表面为过钝化腐蚀;当温度高于CPT时,开始出现稳态点蚀。与点蚀电位相比,CPT具有重复性好、灵敏度高的优点,更适用于评价材料的耐点蚀能力[5,6]

Ernst等[7]研究了Cl-浓度对316L不锈钢CPT的影响,随Cl-浓度升高CPT降低。Qvarfort[4]研究了pH值对254 SMO不锈钢CPT的影响,pH值在1~7范围内,CPT不随pH值改变。但是气田环境条件复杂,不同作业区腐蚀环境差异很大,导致腐蚀数据在时间和空间上分布范围广,腐蚀数据量庞大。实验室模拟研究不能满足现场对大范围腐蚀结果的需求,因此需要建立可靠的数学模型实现对气田复杂环境下CPT的预测。80年代后,人工神经网络技术 (ANN) 作为一种强有力的处理非线性相关性数据的建模工具[8],已被腐蚀科学工作者引入到工程和实验研究中,并取得了良好的效果。

本文以316L不锈钢CPT为研究对象,选取Cl-浓度和pH值代表气田环境中典型环境参数,根据现场工况调研情况,首先测量了不同Cl-浓度和pH值条件下316L不锈钢的CPT;然后建立了ANN模型用于CPT预测,并对模型的准确性进行验证;最后利用该模型预测大范围Cl-浓度和pH值条件下316L不锈钢的CPT,为现场防腐设计提供理论依据。

2 实验方法

2.1 实验材料

本文所使用的实验材料为厚2 mm的316L不锈钢板,其化学组成 (质量分数,%) 为:Cr 17.21,Ni 12.30,C 0.018,Mn 1.10,Si 0.53,P 0.034,S 0.001,Mo 2.04,Fe余量。实验中,将316L不锈钢板切割成10 mm×10 mm试样用于电化学测试。为避免缝隙腐蚀,首先将试样在50 ℃浓硝酸中钝化1 h[9,10],水洗吹干后加热至220 ℃;然后用静电喷雾枪在试样表面迅速喷涂一层厚度约为1 mm的粉末涂料,粉末涂料与试样基体结合力高达80 MPa;最后在试样背面电焊引出Cu导线,将试样整体封装在环氧树脂中作为电化学测试用工作电极。工作电极示意图如图1所示[11]。电化学测试前,将封装好的工作电极用水砂纸依次打磨至1000#并露出1 cm2的工作面,然后用无水乙醇清洗、去离子水清洗、吹干。实验所需溶液均采用分析纯试剂和去离子水配制,根据现场调研工况配制不同浓度和pH值的NaCl测试溶液,pH值通过氨水和醋酸调节。

图1   工作电极示意图[11]

Fig.1   Schematic diagram of working electrode[11]

2.2 气田环境中典型环境参数的确定

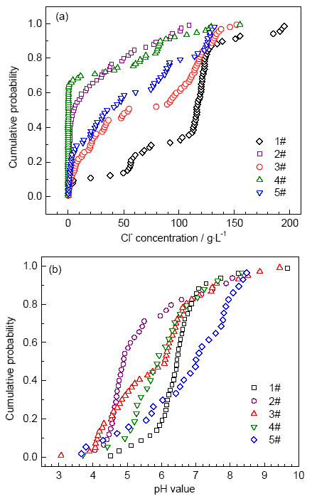
根据研究需要,先后调研了新疆某气田5个区块316L不锈钢复合管使用的工况环境,结合各区块地层水的水质分析记录报表,应用累计概率的方法分析各作业区典型环境参数Cl-浓度和pH值的变化范围,结果如图2所示。可以看出,该气田各作业区的生产水水质差异较大,总体而言,Cl-浓度在1.0×102~2.1×105 mg/L,pH值在4.0~8.5之间。Cl-浓度低于1.0×103 mg/L时,对不锈钢点蚀行为影响很小。因此,分别选取Cl-浓度为3.7×103,3.7×104,8.5×104,1.4×105和2.18×105 mg/L以及pH值为4.0,5.5,7.0和8.5条件开展实验,以涵盖各作业区腐蚀环境特征。

图2   新疆某气田各作业区地层水中Cl-浓度及pH值分布的累积概率

Fig.2   Cumulative probabilities of Cl- concentration and pHvalue of formation water in various working areas of one gas field in Xinjiang

2.3 临界点蚀温度测量方法

采用动电位极化法测量316L不锈钢的CPT。电化学测试在Zahner Zennium电化学工作站上进行,采用标准三电极体系,以Pt片作为辅助电极、饱和甘汞电极作为参比电极、封装的316L不锈钢试样作为工作电极。电化学测试前,测试溶液均通入N2 1 h以除去O2,确保实验的可重复性。

动电位极化法测量CPT即测量试样在不同温度下的动电位极化曲线,以击破电位Eb对温度作图,Eb从过钝化区突然下降至点蚀电位区间的拐点温度即为CPT[4]。动电位极化曲线的测试步骤如下:首先,将试样在阴极-900 mVvs SHE电位下极化5 min,以消除试样表面氧化膜使试样表面达到同一状态[10];然后,试样在开路电位 (OCP) 下稳定30 min,腐蚀电位达到稳定状态,开始动电位扫描。动电位极化曲线的扫描速率为0.333 mV/s,扫描的电位区间为-300 mVvs OCP至1.6 Vvs SHE,其电流上限为1 mAcm-2。击破电位的定义为电流密度持续超过100 μAcm-1的电位[12-14]

为保证实验的可靠性,每组电化学测试至少重复3遍,测试完毕用金相显微镜观察试样表面,如发生缝隙腐蚀该组实验数据作废。采用微机高低温恒温槽控制测试溶液温度。

2.4 人工神经网络模型的建立

ANN种类繁多,本文选取适用于腐蚀预测领域的成熟算法-多层反向传播BP神经网络用于CPT的预测。BP神经网络模型的设计包含一个输入层、两个隐层和一个输出层。输入层含有两个节点,分别为NaCl浓度和pH值;输出层含一个节点,代表CPT;为保证模型精度,第一隐层和第二隐层分别选取12个和20个节点。ANN模型示意图如图3所示。各神经元节点间的激励函数有如下3种:

tansig(x)=11+e-2x-1(1)

lgsig(x)=11+e-x(2)

purelin(x)=x(3)

其中,第一隐层激励函数为tansig (正弦函数),第二隐层激励函数为lgsig (对数函数),输出层激励函数为purelin (线性函数)[15]

图3   人工神经网络结构示意图

Fig.3   Schematic diagram for the structure of ANN

ANN模型的建立通过Matlab2011b软件中Neural Network工具包实现,将实验数据分为两组,其中80%用于ANN模型训练,20%用于模型准确性验证。训练函数选用TRAINLM,当训练误差小于预先设定的目标值或误差变化的均方差小于最小梯度要求时,训练停止。

3 结果与讨论

3.1 不同Cl-浓度和pH值条件下316L不锈钢的CPT

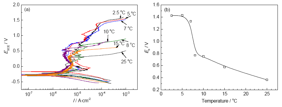
以Cl-浓度为1.4×105 mg/L,pH值等于4为例,不同温度下316L不锈钢的动电位极化曲线如图4a所示,图4b为图4a中Eb随温度的变化曲线。从图4b中可以看出,该条件下316L不锈钢的CPT为7.1 ℃。其他腐蚀环境条件下316L不锈钢动电位极化曲线与此类似,这里不再一一展示,不同Cl-浓度和pH值条件下316L不锈钢的Eb随温度变化曲线如图5所示。图5中,击破电位从过钝化电位迅速下降几百毫伏至点蚀电位的拐点温度为CPT。各Cl-浓度和pH值条件下CPT的变化规律列于表1,作为ANN样本。

图4   Cl-浓度为1.4×105 mg/L,pH=4时不同温度下316L不锈钢的动电位极化曲线及击破电位随温度的变化规律

Fig.4   Potentiodynamic polarization curves of 316LSS under the condition with Cl- concentration of 1.4×105 mg/L and pH value of 4 (a) and break down potentials at different temperatures obtained from Fig.4a (b)

图5   不同Cl-浓度和pH值条件下316L不锈钢击破电位随温度变化曲线

Fig.5   Breakdown potential as a function of temperature under the conditions of different Cl- concentrations and pH values: (a) 3.7×103 mg/L, (b) 3.7×104 mg/L, (c) 8.5×104mg/L, (d) 1.4×105 mg/L, (e) 2.18×105 mg/L

表1   不同Cl-浓度和pH值条件下316L不锈钢的CPT

Table 1   Critical pitting temperature (CPT) of 316LSS under the conditions of various Cl- concentrations and pH values

pHCl- concentration / mgL-1
3.70×1033.70×1048.50×1041.40×1052.18×105
4.013.7 ℃9.3 ℃9.6 ℃7.1 ℃6.4 ℃
5.514.0 ℃9.8 ℃9.0 ℃7.1 ℃6.6 ℃
7.014.1 ℃9.8 ℃9.7 ℃7.4 ℃5.4 ℃
8.514.2 ℃11.0 ℃9.4 ℃6.2 ℃5.2 ℃

新窗口打开

图6展示了不同Cl-浓度时CPT的变化情况,CPT和Cl-浓度可近似表示成如下函数关系:

CPT=alg[Cl-]+b(4)

式中,a为比例系数,b为常量。该函数关系与击破电位随Cl-浓度的变化规律相似[16],CPT和击破电位均与Cl-浓度的对数呈线性关系。从图6中可以看出,随Cl-浓度升高,CPT显著降低,这与吴玮巍等[17]和Ernst等[7]的研究结果一致。CPT与亚稳态点蚀向稳态点蚀的转变有关,取决于蚀孔内部的化学环境[18,19]。低Cl-浓度条件下,点蚀孔内的阳离子在浓度梯度作用下向蚀孔外扩散,蚀孔内离子浓度维持在较低水平。一旦蚀孔口处腐蚀产物膜破裂,蚀孔内腐蚀性离子的浓度得到稀释,促进了蚀孔再钝化,因而不易形成稳态点蚀,CPT较高。当本体溶液中Cl-浓度较高时,一方面,蚀孔内Cl-含量增多导致蚀孔内腐蚀环境变得恶劣,金属溶解速率增加;另一方面,较高Cl-浓度使得溶液粘度升高,扩散系数降低,蚀孔内离子向外扩散变得困难。由此,蚀孔内离子迅速积累并最终达到饱和浓度,形成稳态点蚀[7],CPT显著降低。

图6   316L不锈钢CPT随Cl-浓度变化规律

Fig.6   Variation of CPT of 316L SS with Cl- concentration

CPT随pH值的变化规律如图7所示,pH值在4.0~8.5范围内,CPT的波动区间小于2 ℃,pH值对CPT几乎无影响。Qvarfort[4]的研究结果也表明,对于高合金奥氏体不锈钢,pH值对CPT的影响可以忽略。这一结果可能的原因是,稳态点蚀孔内pH值很低 (pH值<1.9)[19],外界本体溶液中H+浓度不再成为影响蚀孔内部化学环境的因素,因此CPT不随pH值发生变化。

图7   不同pH值条件下316L不锈钢的CPT

Fig.7   Plots of CPT of 316LSS vs pH value

3.2 人工神经网络模型对临界点蚀温度的预测

随机选取表1中4组实验数据作为ANN模型验证组数据,其余16组数据用于训练ANN模型。为了便于ANN模型数据处理,加快模型的学习速度,保正程序运行时快速收敛,需将实验测得的真实值进行归一化处理,具体算法如下:

xi=0.1+0.8×Xi-Xi,minXi,max-Xi,min(5)

其中,xi为变量i归一化处理后的值,介于0.1~0.9之间;Xi为变量i的真实值,Xi,min为样本中变量i的最小值,Xi,max为样本中变量i的最大值。经训练后,ANN模型预测值与实验值的对比情况如表2所示。可以看出,ANN模型的预测值与实验值之间吻合度较高,误差约在1 ℃,表明ANN模型的预测值能较准确的反映真实值情况。图8为CPT预测值与实验值对比图,CPT的预测值均匀分布在回归线两侧,模型预测值与实验值近似呈线性关系,相关系数R2=0.9684,预测值与实验值具有较高的相关性。以上分析表明,该ANN模型对CPT具有良好的预测能力,可实现对气田各作业区复杂耦合环境下CPT的预测。

表2   CPT预测值与实验值对比表

Table 2   Comparison of predicted values and experime-ntal values of CPT

SetpHc(Cl-)
mgL-1
CPT / ℃
MeasuredPredictedResidual
Train4.03.70×10313.713.2-0.5
4.03.70×1049.36.9-2.4
4.01.40×1057.16.0-1.1
4.02.18×1056.46.60.2
5.53.70×10314.014.20.2
5.53.70×1049.89.90.1
5.51.40×1057.16.8-0.3
5.52.18×1056.66.4-0.2
7.03.70×10314.114.0-0.1
7.08.50×1049.79.5-0.2
7.01.40×1057.47.60.2
7.02.18×1055.45.1-0.3
8.53.70×10314.214.0-0.2
8.53.70×10411.010.9-0.1
8.58.50×1049.410.20.8
8.52.18×1055.27.01.8
Test48.50×1047.15.6-1.5
5.58.50×1049.09.70.7
7.03.70×1049.811.01.2
8.51.40×1056.27.51.3

新窗口打开

图8   CPT预测值与实验值对比图

Fig.8   Comparison diagram of predicted and experimental values of CPT

图9展示了在一定Cl-浓度和pH值范围内,ANN模型对CPT的预测结果。从三维曲面分析可知,低Cl-浓度对于提高CPT是有利的,pH值对CPT几乎无影响,低Cl-浓度时,碱性环境中CPT略高于酸性环境。Cl-浓度和pH值间无交互作用,Cl-浓度是影响CPT的主要因素。因此,就气田防腐蚀工程而言,重点应是降低地层水的矿化度。

图9   CPT随NaCl浓度和pH值变化的三维曲面

Fig.9   Three-dimension surface of variations of CPT with NaCl concentration and pH value

4 结论

(1) 316L不锈钢CPT随Cl-浓度升高而降低,pH值对CPT几乎无影响。

(2) ANN模型对316L不锈钢CPT具有良好的预测能力,预测结果与实验值吻合度高,相关系数R2=0.9684,该模型可实现对气田复杂耦合环境下CPT的预测。

(3) ANN模型的预测结果表明,Cl-浓度和pH值对CPT无交互影响作用,Cl-浓度是影响CPT的主要因素,也是气田防腐蚀工程需要重点控制的因素。

The authors have declared that no competing interests exist.


/