中国腐蚀与防护学报  2016 , 36 (2): 165-171 https://doi.org/10.11902/1005.4537.2015.227

Orginal Article

蒸汽环境对消声器用439不锈钢腐蚀行为的影响

汪长鹏, 申宇凤, 陈聪聪, 李谋成

上海大学材料研究所 上海 200072

Effect of Exposure to Steam on Corrosion of Type 439 Stainless Steel for Automotive Mufflers

WANG Changpeng, SHEN Yufeng, CHEN Congcong, LI Moucheng

Institute of Materials, Shanghai University, Shanghai 200072, China

中图分类号:  TG172

文献标识码:  A

文章编号:  1005-4537(2016)02-0165-07

通讯作者:  通讯作者:李谋成,E-mail:mouchengli@shu.edu.cn,研究方向为腐蚀电化学

版权声明:  2016 《中国腐蚀与防护学报》编辑部 《中国腐蚀与防护学报》编辑部

基金资助:  国家自然科学基金项目 (51134010) 资助

作者简介:

作者简介:汪长鹏,男,1991年生,硕士生

展开

摘要

运用氧化-浸泡循环实验和氧化-浸泡-蒸发循环实验,结合电化学测试以及SEM和XRD分析,研究了蒸汽环境对消声器用439不锈钢腐蚀行为的影响。结果表明:有/无蒸汽作用条件下,试样表面形成的腐蚀产物相似,循环实验后试样表面均生成了较浅的点蚀坑。与冷凝液环境相比,试样在蒸汽环境中的腐蚀阻力较小、局部腐蚀坑更深。蒸汽环境更有利于试样表面产物膜和蚀坑的生长。

关键词: 汽车排气系统 ; 冷凝液腐蚀 ; 蒸汽环境 ; 点蚀

Abstract

The influence of steam on the corrosion behavior of 439 stainless steel for automotive mufflers was studied by means of cyclic hot air oxidation-immersion in condensate test and cyclic hot air oxidation-immersion in condensate-exposure to steam test as well as electrochemical measurements, SEM, XRD and pitting depth analyses. The results show that all the specimens, after cyclic hot air oxidation-immersion in condensate test and then with and without subsequent exposure to steam test, suffered from pitting corrosion with similar corrosion products. However, the specimens show lower corrosion resistance and deeper corrosion pits when they had experienced the exposure to steam test rather than those only experienced the cyclic hot air oxidation-immersion in condensate test. The exposure to steam may facilitate the growth of corrosion products and pits.

Keywords: automobile exhaust system ; condensate corrosion ; steam ; pitting

0

PDF (983KB) 元数据 多维度评价 相关文章 收藏文章

本文引用格式 导出 EndNote Ris Bibtex

汪长鹏, 申宇凤, 陈聪聪, 李谋成. 蒸汽环境对消声器用439不锈钢腐蚀行为的影响[J]. , 2016, 36(2): 165-171 https://doi.org/10.11902/1005.4537.2015.227

WANG Changpeng, SHEN Yufeng, CHEN Congcong, LI Moucheng. Effect of Exposure to Steam on Corrosion of Type 439 Stainless Steel for Automotive Mufflers[J]. 中国腐蚀与防护学报, 2016, 36(2): 165-171 https://doi.org/10.11902/1005.4537.2015.227

1 前言

汽车排气系统可降低汽车噪音并减少有害气体,是整车的重要组成部分,主要包括高温端 (排气歧管,前管和挠性管) 和低温端 (中间管,消声器和尾管)。为适应排气系统高燃烧效率、材料轻量化和长服役寿命的要求,排气系统各部件广泛使用不锈钢进行制造,尤其是成本较低的铁素体不锈钢,已成为排气系统的主流材料。

汽车在使用过程中产生的热废气、冷凝液以及蒸汽会对不锈钢构件产生热氧化和电解液腐蚀作用,导致消声器腐蚀穿孔而失效破坏[1-4]。当汽车长距离行驶时,消声器最高能被加热到约400 ℃。另一方面,汽车在短途行驶或频繁开/停情况下,尾气会因温度降低而出现冷凝现象,形成主要含SO42-,CO32-,Cl-,NO3-和NH4+等的电解质溶液,从而导致消声器用材发生冷凝液腐蚀[2,5-7]。此外,热废气中的水分冷凝和冷凝液的蒸发等过程中,消声器等部件内部均不可避免地会形成达到饱和状态的蒸汽环境。显然,不锈钢在蒸汽环境中的腐蚀过程与其表面的电解质薄液膜、腐蚀性离子以及较高环境温度等因素紧密相关。与干/湿交替变化的大气环境相似,蒸汽环境对不锈钢也具有较强的腐蚀作用[8-10]。因此,常常运用氧化-冷凝液浸泡与蒸发循环实验、预氧化试样的冷凝液浸泡与蒸发循环实验等方法来模拟消声器等部件的内部服役环境,以评估这些部件用不锈钢的耐蚀性能。

目前,人们对排气系统用不锈钢在循环实验以及冷凝液中的腐蚀行为已有较好认识[11-13],但是关于蒸汽环境对不锈钢耐蚀性能的影响却鲜见报导。因此,本文研究了439型不锈钢在蒸汽环境中的腐蚀行为,以进一步认识消声器等部件的腐蚀失效机制。

2 实验方法

2.1 实验材料

实验材料为排气系统常用的439型铁素体不锈钢,其主要化学成分 (质量分数,%) 为:C 0.01,Si 0.40,Mn 0.25,Cr 16.76,Ni 0.08,Nb 0.02,Ti 0.14,Fe 余量。试样尺寸为3 cm×2 cm×0.1 cm,依次用400#,600#和1000# SiC水砂纸打磨其表面,并用丙酮超声清洗、酒精擦洗以及蒸馏水冲洗,然后吹干试样并点焊导线后进行循环实验。冷凝液的组成为:1.56×10-2 mol/L SO42-,3.2×10-3 mol/L Cl-,8×10-4 mol/L NO3-,用稀硫酸将冷凝液pH值调为4。

2.2 循环实验

为了对比分析蒸汽环境对试样腐蚀的影响,设计了GA和GB两组循环腐蚀实验,每个循环的操作步骤如表1所示。GA和GB两组实验的每次循环均先在400 ℃管式炉中氧化1 h,随后GA组试样在80 ℃冷凝液中浸泡10 h;而GB组试样在80 ℃冷凝液中浸泡2 h后,再置于80 ℃蒸汽环境中暴露8 h。浸泡腐蚀实验及蒸汽腐蚀实验装置见图1。需说明的是,浸泡时用生胶带屏蔽焊点,并且不将试样焊接端浸入溶液,以避免不锈钢导线及焊点对实验产生影响 (浸入冷凝液的试样长度约2 cm)。当试样从浸泡腐蚀改为蒸汽环境腐蚀时,直接将试样提出溶液至液面以上约1 cm的位置,并快速升高溶液温度至87 ℃,使试样处蒸汽环境温度约为80 ℃。每次循环完成后,用热风吹干,最后,清洗烧杯、更换冷凝液以开始下一次循环实验。两组实验均循环100次。需要说明的是,烧杯用橡胶塞封严,橡胶塞上插入玻璃管,玻璃管外伸10 cm,以维持稳定的蒸汽腐蚀环境。

图1   浸泡实验和蒸汽实验的实验装置示意图

Fig.1   Schematic diagrams of immersion test (a) and steam test (b)

表1   GA和GB两组试样单个循环实验流程

Table 1   Single cycle procedures of GA and GB specimens in cyclic corrosion tests

StepGAGB
1Oxidized in air at 400 ℃ for 1 h, then cooled to room temperatureOxidized in air at 400 ℃ for 1 h, then cooled to room temperature
2Immersed in condensate at 80 ℃ for 10 hImmersed in condensate at 80 ℃ for 2 h
3---Exposed in steam environment at 80 ℃ for 8 h

新窗口打开

2.3 电化学测试

GA和GB两组试样刚浸入溶液时,开始监测腐蚀电位 (Ecorr),1 h后电位趋于稳定,测量电化学阻抗谱 (EIS)。采用三电极测试系统,Pt片作为辅助电极,参比电极为饱和Hg/HgSO4 (MSE) 电极,试样为工作电极。工作电极表面积8.6 cm2。将MSE参比电极连接到加长的鲁金毛细管中,参比电极所处温度低于40 ℃。通过PAR4000系统完成电化学测试。EIS测试频率范围0.01 Hz~99.9 kHz,交流激励电压幅值为10 mV,其数据采用ZSimpWin软件进行拟合分析。

2.4 试样表面分析

循环实验完成后,对试样表面用HITACHI SU-1500型钨灯丝扫描电子显微镜 (SEM) 进行形貌观察,用D/MAX2500V型X射线衍射仪 (XRD) ,采用Cu靶,在20 kV,250 mA条件下以4°/min的扫描速率对腐蚀产物进行成分分析。之后将试样放在10 mL HF+50 mL HNO3溶液 (1L) 中超声酸洗10 min,除去外层覆盖的腐蚀产物层 (锈层),并用SEM观察试样的腐蚀形貌。

使用KPYENCE VHX-100型数码显微镜测量试样表面酸洗后的点蚀坑深度。与Jarrah等[14]所用方法相同,将蚀坑处放大500~1000倍,首先聚焦在试样表面,即蚀坑的最上部,然后缓慢下降镜头,当聚焦到蚀坑的底部时停止下降,镜头移动的距离即蚀坑的深度。

3 实验结果

3.1 试样腐蚀后的表面形貌

图2为两种试样经100次循环实验后表面的SEM像。GA组试样表面点蚀坑均匀分布,坑内有少量腐蚀产物堆积。蚀坑外的区域仍被氧化/腐蚀产物覆盖,腐蚀较弱,尚可观察到明显的划痕。GB组试样表面覆盖了一层腐蚀产物。去除试样表面的腐蚀产物后,试样表面的SEM像见图2c和d。GA组试样点蚀坑较为浅小。GB组试样发生了明显的腐蚀,表面已不见划痕痕迹,点蚀坑较GA组试样大且深。

图2   GA和GB组试样除锈前后表面形貌的SEM像

Fig.2   SEM morphologies of corrosed specimens GA (a, c) and GB (b, d) before (a, b) and after (c, d) derusting, respectively

蒸汽环境中不锈钢表面液膜的pH值应大于4,阴极反应主要是吸氧反应[15],而试样蒸汽作用时间较长,试样表面氧化膜不易溶解而附着在试样表面;且蒸汽环境下,Fe的氧化物与基体粘结力会有所改善[16],氧化时氧化物不易剥落,所以GB组试样表面会累积形成一层较厚的锈层。

图3给出了两组试样经循环实验后其表面腐蚀产物膜的XRD谱。在有/无蒸汽实验条件下,不锈钢试样表面产物均主要是Fe2O3和 (Fe,Cr)2O3。其中,GA组试样因表面腐蚀产物较少,这两种腐蚀产物的响应峰值均较弱。可见,蒸汽环境与溶液中不锈钢表面生成的腐蚀产物组成相同,但在含量上存在差别。

图3   循环实验后试样腐蚀产物的XRD谱

Fig.3   XRD patterns of corrosion products formed on the specimen surfaces after cyclic tests

3.2 腐蚀过程的电化学特征

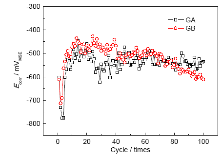
3.2.1 腐蚀电位 GA和GB两组试样在冷凝液中的腐蚀电位随着循环次数增加而不断演变,如图4所示。在有/无蒸汽作用条件下,不锈钢在冷凝液中的腐蚀电位表现出相同的演变特征。试样在第一次氧化后,其表面会形成一层氧化膜,对试样具有较好的保护能力,使得试样在第一次冷凝液浸泡时的腐蚀电位较高。但是,当进入循环实验的第二次氧化时,试样表面氧化膜在盐离子的作用下会变成多缺陷膜,甚至发生破坏,这就导致第二次循环实验时腐蚀电位较低。GA组试样的腐蚀电位在第3次循环实验后发生转折,开始快速升高;而GB组试样的腐蚀电位在第2次循环实验后便发生转折而快速升高。腐蚀电位发生转折的主要原因应与试样表面氧化物和腐蚀产物生长而阻挡冷凝液的覆盖效应相关。随着循环实验次数增加,尽管产物层具有多缺陷特征,但是其逐渐生长增厚也会增强表面覆盖效应。GA和GB两组试样的腐蚀电位在循环实验第15次左右分别上升到约-490和-465 mVMSE,之后两组试样的腐蚀电位变化趋势略有不同,GA组试样的腐蚀电位逐渐降低、局部腐蚀诱发并不断扩展,但在第29次循环后又开始缓慢回升,并从第32次开始腐蚀电位围绕约-540 mVMSE出现较小波动,腐蚀状态较为稳定。这可能是由于坑中氧化/腐蚀产物抑制了蚀坑的生长所致。而GB组试样的腐蚀电位在第15~40次循环间变化较小,维持在约-465 mVMSE,但是随后呈现缓慢下降趋势。在第100次循环时下降到约-614 mVMSE。这可能是产物层下蚀坑逐渐生长之故。值得注意的是,两组试样的腐蚀电位在循环实验过程中均不断出现小幅波动,这与试样表面产物膜的破坏与再形成有关。蒸汽环境中GB组试样表面产物层 (锈层) 更易生长,使得在第70次循环以前比GA组试样的腐蚀电位总体上更高,但约在第80次循环后,因锈层下腐蚀坑的生长扩大而比GA组试样的腐蚀电位更低。

图4   两组试样的腐蚀电位随循环周期的变化曲线

Fig.4   Variations of corrosion potential of specimens with cyclic time

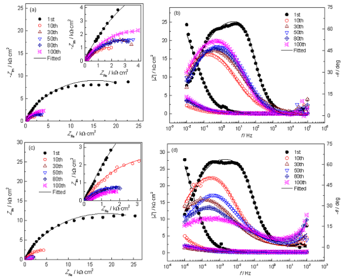
3.2.2 电化学阻抗谱 图5为不同循环次数时两组试样在冷凝液中腐蚀时典型的EIS。由图可知,Nyquist曲线均由扁平的单一容抗弧组成,第一次循环时,试样表面有完整致密的保护性氧化膜,阻抗谱半径较大,在Bode图中呈现出两个时间常数,分别与试样表面保护性氧化膜以及电荷转移过程有关[17]。但是,随着循环实验的进行,试样表面氧化膜在盐离子作用下会逐渐转变为多缺陷的产物膜,直至被破坏而发生点蚀。第10次循环以后阻抗谱半径较小,两个时间常数合并在一起,相位值也有所降低,说明试样表面产物层对基体金属的保护作用随缺陷增多而降低,尤其是点蚀发生后其保护作用几乎消失殆尽。GA组试样的容抗弧半径和相位角低频部分常常出现较小幅度的波动,这与试样表面膜在循环过程中的破坏与再形成有关,但试样表面腐蚀状态变化较小。总体上,GB组试样的容抗弧半径和低频相位角呈现减小趋势,且循环后期,Nyquist曲线高频端与实部的交点逐渐变大,高频相位角有所增大,说明试样腐蚀速率逐渐加快,试样表面的锈层不断增厚,对试样腐蚀机制有较大的影响。

图5   GA和GB两组试样不同循环周期后的电化学阻抗谱

Fig.5   Nyquist (a, c) and Bode (b, d) plots for GA (a, b) and GB (c, d) specimens at different cycles

3.2.3 EIS解析 在循环实验过程中不锈钢表面会累积形成腐蚀产物膜[6,18],可建立如图6所示的等效电路模型以解析试样在冷凝液中腐蚀的EIS。其中,Rs为溶液电阻,CfRf分别为试样表面氧化/腐蚀产物膜的电容和电阻,RtCdl分别表示电荷转移电阻和双电层电容[19]。由于阻抗谱存在弥散效应,腐蚀体系并非理想的电容响应,因此拟合过程中采用相位角元件 (CPE) 代替电容元件CdlCf。由图5可知,拟合曲线与测量数据点间吻合较好。

图6   试样腐蚀的等效电路模型

Fig.6   Equivalent circuit model for the corrosion of specimens in condensate solution

图7给出了循环腐蚀实验过程中RfRt的拟合结果。两组试样第一次浸泡时表面产物膜的Rf在500 Ωcm2以上,Rt在30 kΩcm2以上,电阻值均较大,且差别较小。之后,由于试样表面氧化膜被破坏,发生了点蚀,RfRt均显著下降。GA组试样的RfRt波动较小,第30次循环后分别约在50和6.4 kΩcm2。然而,GB组试样的Rf从第10次开始,就比GA组试样的小,但随着循环实验进行而呈现增高趋势,第70次循环之后,超过GA组试样的Rf,这可能是由于试样表面锈层逐渐生长增厚所致。GA组试样在冷凝液中浸泡时间长,部分氧化和腐蚀产物可能溶解进入溶液,而GB组试样在蒸汽环境中腐蚀的时间较长,表面产物不断累积而覆盖整个试样表面,使得两组试样表面膜电阻表现出不同演变特征。GB组试样的Rt在第30次循环实验后不再下降,逐渐稳定在3.8 kΩcm2附近,该值明显比GA组试样的Rt更小,表明产物膜下点蚀坑的生长阻力更低,腐蚀更严重。

图7   RfRt的拟合结果

Fig.7   Fitted values for Rf (a) and Rt (b)

3.3 点蚀坑深度

清洗试样表面的腐蚀产物后在显微镜下测量点蚀坑的深度值,图8给出了10个最深的点蚀坑深度数据。GA组试样的10个最深点蚀坑的深度值均远小于GB组试样。为了比较,以10个点蚀坑进行计算可知,GA和GB组试样的10个最深点蚀坑平均深度分别为 (12.7±1.8) 和 (74.9±22.9) μm,两者相差约5.9倍。从点蚀坑的最大深度角度看,GA和GB组试样的最大点蚀坑深度分别为16和126 μm,两者相差约7.9倍。由此可见,无论是平均点蚀深度还是最大点蚀深度,GB组试样比GA组试样具有更深的点蚀坑,说明蒸汽环境比冷凝液环境更有利于腐蚀坑的生长,这与电化学测量结果相一致。

图8   两组试样的点蚀坑深度

Fig.8   Pit depths of GA and GB specimens

4 试样腐蚀机制

GA组试样进行氧化-冷凝液浸泡循环实验,试样放入冷凝液中浸泡时,冷凝液可扩散通过氧化/腐蚀产物膜,在氧化膜腐蚀缺陷处诱发形成点蚀坑,然而在400 ℃氧化时点蚀坑表面又可形成具有保护性的氧化薄膜而抑制其快速生长[20]。同时,439不锈钢的Cr含量较高,具有较好的耐蚀性能,使得点蚀生长速率较小,因而点蚀坑在氧化-浸泡循环过程中生长阻力较大,在6.4 kΩcm2附近波动。经100次循环实验后蚀坑深度较浅,平均深度仅约13 μm。

与GA组试样相比,GB组试样在循环实验中增加了8 h蒸汽环境腐蚀而减少了8 h冷凝液腐蚀,100次循环实验后的蚀坑深度明显较大。循环实验初期,试样刚从冷凝液中提出到蒸汽环境中时,表面会形成大量冷凝液微液滴 (尤其是在瘤状氧化物等缺陷处),随后蒸汽环境中达到饱和状态的水分会不断凝结在试样表面,使得液滴缓慢扩展并沿液滴形成薄液膜[21]。实验过程中观察还得知,当液滴扩大到一定程度时会在重力作用下滑落到冷凝液中。实际上,蒸汽环境中试样表面液滴会不断经历形成、扩张和滑落过程,这与汽车消声器内部的情况较为相似。据Tsuru等[22]的研究可知,液滴中心部位的腐蚀电位相对较低,会成为腐蚀的阳极区,而液滴边缘及沿液滴扩展的薄液膜区域的腐蚀电位相对较高,氧扩散阻力较小,会成为腐蚀的阴极区。显然,液滴不同部位因液膜厚度差异而形成氧浓差腐蚀电池,使得微液滴中心处发生腐蚀而形成蚀坑。相比于冷凝液浸泡环境,蒸汽环境中氧含量相对较高,并且O2因电极液膜厚度较薄而易扩散到试样表面,因而局部腐蚀坑的生长相对较快。同时,腐蚀产物易在试样表面累积而形成疏松的锈层。由于锈层比新鲜基体表面的亲水性更强[23],在循环蒸汽环境中可促进阳极区部位形成液滴而始终遭受腐蚀作用。

经过一定次数的循环腐蚀后,GB组试样的表面会附着一层相对较厚的锈层。当带锈试样浸入冷凝液中时,盐离子会扩散进入锈层,与钢基体接触并渗入到点蚀坑内部,使腐蚀持续进行。当浸泡2 h后,将带锈层试样从冷凝液中提出到蒸汽环境时,锈层既能将盐离子保持在试样表面,又能吸收蒸汽凝结水分,这有利于形成液滴与液膜而促进试样的腐蚀。锈层表面的盐离子也可能不断被蒸汽凝结的液滴滑落时冲洗而减少,但是锈层内部的盐离子因向外扩散缓慢而略有减少,锈层中盐离子仍可在金属/锈层界面形成电解质溶液而不断生成锈蚀产物,尤其是在点蚀坑内形成腐蚀电池而使得蚀坑保持生长。当然,锈层中这些盐离子也会加速氧化过程并增加氧化膜缺陷,进而加快试样在冷凝液和蒸汽环境中的腐蚀。这些可能就是图7中GB组试样的Rf逐渐增大、Rt在20次循环后保持相对较低值的主要原因。然而,在循环实验初期,试样表面锈蚀较少,从冷凝液中提出时残留在试样表面的盐离子易被蒸汽凝结水冲洗掉,使得GB组试样在蒸汽环境中的腐蚀较弱。因此,与GA组试样相比,图7中初期 (尤其是20次循环实验以前) 的Rf较小而Rt较高。

5 结论

(1) 在氧化-浸泡循环实验中引入蒸汽腐蚀作用对439不锈钢的电化学腐蚀过程具有显著影响,使得试样在冷凝液中的腐蚀电位和电荷转移电阻在循环实验初期略有升高,但随着循环实验不断进行,两者均明显下降。

(2) 蒸汽环境中试样表面腐蚀产物易于累积而形成疏松的覆盖层,有/无蒸汽作用条件下试样表面形成的腐蚀产物具有相似的化学组成,循环实验后试样表面均形成了点蚀坑。相比于冷凝液环境,蒸汽环境更有利于试样发生点蚀,局部腐蚀坑更深。

The authors have declared that no competing interests exist.


/