中国腐蚀与防护学报  2016 , 36 (1): 47-51 https://doi.org/10.11902/1005.4537.2015.018

Orginal Article

纯Al在3种典型沿海,工业和乡村大气中的腐蚀行为

刘艳洁, 王振尧, 柯伟

中国科学院金属研究所 沈阳 110016

Characterization of Corrosion Products on Pure Al Exposed in Atmospheres at Typical Rural, Industrial and Coastal Areas in China

LIU Yanjie, WANG Zhenyao, KE Wei

Institute of Metal Research, Chinese Academy of Sciences, Shenyang 110016, China

中图分类号:  TG172.3

文献标识码:  A

文章编号:  1005-4537(2016)01-0047-05

通讯作者:  通讯作者:王振尧,E-mail:zhywang@imr.ac.cn,研究方向为材料自然环境腐蚀

版权声明:  2016 《中国腐蚀与防护学报》编辑部 《中国腐蚀与防护学报》编辑部

基金资助:  国家自然科学基金项目 (51131007)和国防技术基础项目(H102011B002) 资助

作者简介:

作者简介:刘艳洁,女,1986年生,博士生

展开

摘要

纯Al在沿海,工业以及乡村大气环境中暴露12个月之后,利用电化学阻抗谱技术 (EIS) 以及扫描电镜 (SEM) 研究腐蚀产物对纯Al大气腐蚀过程的影响.结果表明,纯Al在沿海环境中腐蚀最为严重,在工业环境中次之,在乡村环境中最轻.在沿海与工业环境中,纯Al表面形成了不同厚度的腐蚀产物层;在乡村环境中,只有少量腐蚀产物分散存在,未形成连续的腐蚀产物层.纯Al大气腐蚀的速率控制步骤在沿海环境中为扩散过程;在工业与乡村环境中为电荷转移过程.

关键词: 大气腐蚀 ; Al ; EIS ; 腐蚀产物

Abstract

Pure Al plates were exposed in different atmospheres for 12 months at three typical test sites respectively: i.e. a rural site at Xishuangbanna of Yunnan province, an industrial site at Jiangjin of Sichuan province and a coastal site at Wanning of Hainan province. Then the corroded Al plates were characterized by means of EIS technique and SEM. The results indicate that the corrosion resistance of pure Al is the worst in the coastal atmosphere, the best in the rural atmosphere and the middle in the industrial atmosphere. Different thick layers of corrosion products were formed on Al surface in the rural and industrial atmosphere. In the contrast, a few corrosion products were formed dispersedly in the coastal atmosphere. The rate controlling step may be the diffusion of corrosive ions for the corrosion process in the coastal atmosphere, while the charge transfer for those in the rural and industrial atmospheres.

Keywords: atmospheric corrosion ; Al ; EIS ; corrosion product

0

PDF (2653KB) 元数据 多维度评价 相关文章 收藏文章

本文引用格式 导出 EndNote Ris Bibtex

刘艳洁, 王振尧, 柯伟. 纯Al在3种典型沿海,工业和乡村大气中的腐蚀行为[J]. , 2016, 36(1): 47-51 https://doi.org/10.11902/1005.4537.2015.018

LIU Yanjie, WANG Zhenyao, KE Wei. Characterization of Corrosion Products on Pure Al Exposed in Atmospheres at Typical Rural, Industrial and Coastal Areas in China[J]. 中国腐蚀与防护学报, 2016, 36(1): 47-51 https://doi.org/10.11902/1005.4537.2015.018

1 前言

纯Al由于其良好的耐蚀性,在工业生产中常被用作铝合金或者其他材质表面的保护层,增强材料的耐蚀性,在使用过程中一般直接与大气环境相接触,故研究纯Al大气腐蚀行为与机制非常必要,对工业生产也具有一定的指导作用.本课题组[1,2]研究了Al合金在城市与盐湖大气环境中的腐蚀行为;孙霜青等[3-6]研究了Al合金在沿海,工业和沙漠大气环境中的腐蚀行为;Li等[7]研究了Al合金在南海地区的大气腐蚀行为.国外研究者对于Al及Al合金的大气腐蚀也非常关注[8-11],通过大量户外暴露实验对Al及Al合金在海洋大气,工业大气,城市大气以及乡村大气中的腐蚀行为进行了研究.此外,腐蚀产物的导电性,粘附性,致密性,可溶性以及厚度等特征都对腐蚀过程有着重要的影响[8,9].然而,关于纯Al表面腐蚀产物的特性如何影响其腐蚀过程的研究甚少.本研究利用电化学阻抗谱 (EIS) 和扫描电镜 (SEM) 深入分析了腐蚀产物对纯Al大气腐蚀过程的影响.

2 实验方法

选取工业纯Al 1060为实验材料,其主要成分(质量分数,%)为:Fe 0.50,Si 0.50,Cu 4.18,Mn 0.30,Zn 0.30,Mg 1.30~1.80,Al余量.用于形貌观察的平板试样尺寸为15 mm×15 mm×3 mm,电化学试样尺寸为10 mm×10 mm×3 mm.平板试样用砂纸打磨至2000#,用酒精清洗后吹干备用.电化学试样先用机械法连接上Cu导线,再用环氧树脂进行密封,裸露10 mm×10 mm的工作面,之后用水砂纸打磨至2000#,清洗吹干后备用.

户外大气暴露实验的站点选取在沿海环境 (万宁),工业污染环境 (江津) 和乡村环境 (西双版纳).主要的环境参数见表1.暴露12个月后从每个站点取回3个平板试样和4个电化学试样.

按照国标GB/T 16545-1996[12]去除其中一片平板试样表面的腐蚀产物.采用XL30FEG型SEM观察腐蚀产物的表面,截面以及除锈后点蚀坑的形貌.利用PARSTAT 2273电化学工作站,采用三电极体系 (Pt电极为对电极,饱和KCl甘汞电极为参比电极,取回的试样为工作电极) 进行EIS测试,电解质为0.1 mol/L Na2SO4溶液.EIS的频率范围为105~10-2 Hz,扰动电位的振幅为10 mV.用ZSimpWin软件对EIS谱进行拟合.

3 结果与讨论

3.1 腐蚀产物及点蚀坑形貌

图1给出了不同大气环境下纯Al暴露12个月后腐蚀产物的表面形貌.在乡村环境中,纯Al表面仅堆积了少量疏松的腐蚀产物,未形成整体的产物覆盖层 (图1a);在工业环境中,纯Al表面形成了具有龟裂纹的腐蚀产物层 (图1b);在沿海环境中,龟裂状腐蚀产物大量存在,且由于应力及结构疏松等原因,部分腐蚀产物发生脱落 (图1c).大气环境的不同造成了腐蚀产物形貌的差异性.乡村大气环境较为纯净,腐蚀性粒子含量较少,纯Al在此环境中具有较好的耐蚀性,仅在部分易腐蚀的区域 (如夹杂物,划伤,晶体缺陷等) 发生腐蚀,产生的少量腐蚀产物在该区域堆积,其他区域依然可见基体.在工业大气环境中,SO2含量较高,对纯Al的侵蚀性相对于乡村环境有所增强,在其表面形成了一层龟裂状腐蚀产物.在沿海大气环境中,大量Cl-的存在加速了纯Al的点蚀,形成了大量的腐蚀产物.已有研究[13] 证明,Cl-是造成Al腐蚀的主要因素,而硫化物对Al的危害相对较弱,图1也很好的反映了这一结果.

表1   户外暴露点的主要环境参数

Table 1   Main environmental parameters of the exposure sites

AtmosphereMean temp.
Mean rel. hum.
%
Total sunshine
time / h
Total rain
time / h
Cl-
mg / 100 (cm2d)
SO2
mg / 100 (cm2d)
pH of rain
Coastal
(Wanning)
25.1851832.5391.710.50390.05595.34
Rural
(Xishuang banna)
22.2791909.1111.440.00450.02126.4
Industrial
(Jiangjin)
18.580650504.80.00360.82385.12

新窗口打开

图1   纯Al在不同环境下暴露12个月后的腐蚀产物表面形貌

Fig.1   SEM surface morphologies of the corrosion products formed on Al in rural (a), industrial (b) and coastal (c) atmospheres for 12 months

纯Al在乡村,工业及沿海大气环境中腐蚀12个月后的截面形貌如图2所示.在乡村大气中,腐蚀产物层几乎很难看到,只能发现少量分散存在的腐蚀产物.在工业与沿海大气中,可以观察到腐蚀产物层的存在,但厚度差距较大:在工业环境中仅约1 μm;在沿海环境中,疏松的腐蚀产物层可达到25 μm.

纯Al的主要腐蚀形式为点蚀,点蚀坑的密度,大小及形状能直接反映纯Al受腐蚀的程度.图3给出了纯Al在乡村,工业与沿海大气环境中暴露12个月去除腐蚀产物后的点蚀坑形貌.在乡村环境中,纯Al表面只零星存在着一些较小的浅坑,这与其腐蚀产物的形貌相对应,也进一步说明纯Al在乡村环境中耐蚀性良好.纯Al在工业环境中,点蚀坑尺寸较小,分布较密,其腐蚀程度相比乡村环境中的较为严重.纯Al在沿海环境中,点蚀坑既大又深,受腐蚀程度最严重.

3.2 EIS谱

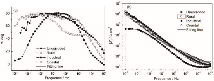
SEM像的结果给出了环境因素对腐蚀产物及点蚀坑形貌的影响,下面通过EIS分析腐蚀产物及氧化膜层对腐蚀过程的影响.图4给出了纯Al在乡村,工业以及沿海环境中腐蚀12月后的EIS谱.极化电阻 (Rp) 与腐蚀速率成反比,而在Bode图上极化电阻通常等于低频区的阻抗值与高频区阻抗值的差,如下式所示[14]:

Rp=Z()ω0-Z()ω(1)

式中,Z为阻抗值模量,j为虚数,ω为角频率.图4b中,在不同环境下|Z()|ω→∞的值基本一样,因此可以用|Z()|ω→0.01的值代替Rp的值.在沿海环境中Rp的值最小,在工业环境中稍大一些,在乡村环境中最大.即腐蚀速率从乡村环境到工业环境再到沿海环境依次增大.这一结果与腐蚀产物及点蚀坑形貌结果相一致.

为了能更好反映不同环境下形成的腐蚀产物对纯Al局部腐蚀的影响,采用图5所示的等效电路对阻抗谱数据进行拟合.纯Al活性较强,一旦与空气接触就会在其表面形成稳定致密的Al2O3膜,对基体有很好的保护作用[15].未经腐蚀的纯Al经打磨后直接进行电化学测试,短时间内其表面未形成较厚的Al2O3膜,电荷转移过程直接在其表面上进行,拟合电路如图5a所示.在乡村环境下,腐蚀产物较少,未能形成完整的腐蚀产物层 (如图2a所示),用图5b所示的电路对该环境下的阻抗谱数据进行拟合.在工业大气与沿海环境下,大量的侵蚀性离子的存在加速了纯Al的腐蚀,形成了腐蚀产物层,其拟合电路如图5c所示.拟合结果在图4中给出,实验数据与拟合结果吻合的较好,可知等效电路的选择是合理的.

图2   纯Al在不同环境下暴露12个月后的腐蚀产物的截面形貌

Fig.2   SEM cross-section morphologies of the corrosion products formed on Al in rural (a), industrial (b) and coastal (c) atmospheres for 12 months

图3   纯Al在不同环境下曝晒12个月后的点蚀坑形貌

Fig.3   Pits morphologies of Al exposed in rural (a), industrial (b) and coastal (c) atmospheres for 12 months

图5中,Rs为溶液电阻;RctQdl分别反映了点蚀坑内电荷转移过程的电阻和电容特性;Qr1Rr1分别反映了氧化膜层的电容与电阻特性;Qr2Rr2分别反映了腐蚀产物层的电容与电阻特性.Q为恒相位角元件,可以用参量Yn来表示,如下式所示[16,17]:

ZQ=Y-1-n(2)

其中,Q是用来描述电容C的参数在发生偏离时的物理量,利用下式[18]可以将Y值转变为C值:

C=Yωmn-1=Y2πfmn-1(3)

其中,ω''mf ''m分别为阻抗的虚部值 (Z '') 达到最大值时的角频率和频率.利用ZSimpWin软件进行拟合,可以得到Yn的值,f ''m也可以通过Z ''与频率的曲线图直接得出,从而可以计算出相应的电容值C.n值的大小反映的是各向异性,n值越小各向异性越大.

腐蚀过程的发生一般有3个步骤,首先是腐蚀性离子向基体的扩散,其次为腐蚀性离子在基体表面发生电荷转移过程,最后生成的腐蚀产物将离开基体向环境中扩散.第1和第3的步骤可以统称为扩散过程[19].电荷转移过程与扩散过程进行较慢的那一个将成为腐蚀发生的速度控制步骤.在乡村大气与工业污染大气中,Rr1Rr2之和明显小于Rct的值,即电荷转移过程对腐蚀产生的阻力更大一些,因此其速度控制步骤为电荷转移过程.在沿海大气中,Rct的值远小于Rr1Rr2之和,表明扩散过程对腐蚀的发生起主要的阻碍作用,其速度控制步骤为扩散过程.

不同大气环境下,Rct,Rr1Rr2的变化与腐蚀产物的结构特征和点蚀坑的密度紧密相关.点蚀坑密度的增加使得电荷转移过程能够在基体表面更多的地方发生,有利于减小电荷转移过程的阻力,降低Rct的值.按照由乡村环境到工业污染环境再到沿海环境的顺序,点蚀坑的密度依次增加,Rct的值依次减小 (如图3表2所示).Rr1的值不仅与点蚀坑密度相关,还与内层腐蚀产物的厚度有关.点蚀坑密度的增加能够降低Rr1的值,但是腐蚀产物厚度的增加又会使得Rr1的值增大,两个相反的因素共同决定了Rr1值的大小.表2中海洋环境下Rr1的值大于工业大气环境下的,其主要原因应该是海洋环境下的腐蚀产物较厚.Rr2的值主要与外腐蚀产物厚度有关,腐蚀产物越厚则Rr2的值越大 (如图2表2所示).

表2   不同大气环境中Rct,Rr1Rr2

Table 2   Values of Rct, Rr1 and Rr2 of Al exposed in different atmospheres

AtmosphereRct / kΩcm2Rr1 / kΩcm2Rr2 / kΩcm2
Rural5.08×1035.63---
Industrial3.83×1030.115389
Coastal0.2470.4062.10×103

新窗口打开

图4   纯Al在不同环境下腐蚀12个月后的Bode图

Fig.4   Bode plots of Al exposed in the rural, industrial and coastal atmospheres for 12 months: (a) phase of Z vs frequency, (b) Z vs frequency

图5   不同腐蚀环境下的等效电路

Fig.5   Equivalent circuits for Al samples un-exposed (a), exposed in the rural atmosphere for 12 months (b) and exposed in the industrial and coastal atmospheres for 12 months (c)

4 结论

(1) 腐蚀产物与点蚀坑的形貌以及极化电阻值表明:在沿海环境中纯Al腐蚀最为严重,在工业环境中次之,在乡村环境中最轻.

(2) 在沿海与工业环境中,纯Al表面形成了不同厚度的腐蚀产物层;在乡村环境中,只有少量腐蚀产物分散存在,未形成连续的腐蚀产物层.

(3) 在沿海环境中,纯Al发生大气腐蚀的速度控制步骤为扩散过程;而在工业与乡村环境中,速度控制步骤为电荷转移过程.速度控制步骤的不同主要与腐蚀产物的结构,厚度以及点蚀坑的密度相关.

The authors have declared that no competing interests exist.


/