上海大学材料研究所 上海 200072
						
中图分类号: TG172
文献标识码: A
文章编号: 1005-4537(2016)01-0020-05
							通讯作者: 
							
								
版权声明: 2016 《中国腐蚀与防护学报》编辑部 《中国腐蚀与防护学报》编辑部
								基金资助: 
								
									
作者简介:
作者简介:张辉,1990年生,硕士生
展开
摘要
采用氧化-冷凝液浸泡循环方法模拟了汽车长距离行驶条件下消声器的内部服役环境,并对比研究了409,429,436,439和441等5种不锈钢的冷凝液腐蚀行为.结果表明:5种不锈钢表面氧化/腐蚀产物膜均主要由Cr2O3和Fe2O3组成.合金元素Cr与Mo对不锈钢表面产物膜电阻及电荷转移电阻的影响最为显著.腐蚀坑深度从大到小依次为409,439,441,429和436不锈钢,但439与441不锈钢以及429与436不锈钢的腐蚀深度相差很小,并且5种不锈钢在汽车长距离行驶条件下均表现出良好的耐蚀性.
								关键词:
																																																																																																																								
											
Abstract
One oxidation-condensate immersion cyclic method was used to simulate muffler internal service environment under the long-distance driving conditions. The corrosion behavior of type 409, 429, 436, 439 and 441 stainless steels was investigated in the condensate solutions. The results show that the oxidation/corrosion product films on the surfaces of these five steels are mainly composed of Cr2O3 and Fe2O3. The alloying elements Cr and Mo play the most important role in the resistance of product films and charge transfer processes on steel surfaces. Pit depth decreases in order of 409, 439, 441, 429 and 436, but there is small depth difference between 439 and 441 as well as 429 and 436. Moreover, these five stainless steels show good pit resistance in the simulated processes of long-distance driving trips.
								Keywords:
																																			
											
为了满足日益严格的汽车尾气排放标准以及消费者对产品质量和美观的要求,汽车排气系统用材正向轻量化,长寿命,耐高温氧化和耐腐蚀的方向发展,这对排气系统用钢的服役性能提出了更高的要求.汽车排气系统一般包括歧管,前管,催化转换器,消声器和尾管等,其中,消声器由于结构较为复杂,其服役环境具有较强的腐蚀性,是汽车排气系统中较易发生腐蚀失效的部件之一[1-5].
在汽车发动和停止使用过程中,消声器内废气温度较低,废气中水分易冷凝而形成含有NH4+,SO42-,Cl-,NO3-和有机酸等组分的电解质溶液,使消声器发生冷凝液腐蚀[1,6,7].当汽车长距离行驶时,消声器等部件内热废气持续时间较长,温度可高达约400 ℃,对各不锈钢部件产生持续的热氧化作用,同时冷凝液不易累积且作用时间较短[1].在汽车反复开/停过程中,冷凝液会逐渐酸化,腐蚀性组分会不断浓缩,使得消声器内部形成较为恶劣的腐蚀环境.通常认为[3],废气热氧化与冷凝液腐蚀的循环作用是导致消声器等部件穿孔或溃烂失效的主要原因.在汽车短距离行驶或频繁开/停状态下这些作用最为强烈,受到了重点关注[5,8].然而,在汽车长距离行驶时,冷凝液不易形成,其腐蚀作用时间将减少,文献对其认识尚十分有限.目前,汽车消声器用钢主要有409,439和436等铁素体系列不锈钢[9],由于这些钢中合金元素的种类和含量不一样,它们的抗氧化能力和耐腐蚀性能会有较大差异.为了认识消声器用不锈钢在汽车长距离行驶中的服役性能,本文采用扫描电镜 (SEM),X射线衍射仪 (XRD),电化学阻抗谱 (EIS) 等技术,研究了5种常用铁素体不锈钢在氧化-冷凝液浸泡循环作用下的腐蚀行为.
实验材料为商用409,429,439,436和441铁素体不锈钢,表1给出了5种钢的主要化学成分.所有试样的尺寸均为20 mm×10 mm×1 mm.实验前,试样用SiC水磨砂纸逐级打磨至1000#,然后用丙酮及蒸馏水清洗,最后快速吹干.
一次循环实验包括两个步骤:(1) 氧化步骤:将试样置于400 ℃加热炉内恒温氧化2 h,接着取出试样空冷至室温;(2) 冷凝液浸泡步骤:将氧化后的试样半浸泡于80 ℃的冷凝液中2 h,然后取出试样并用热风吹干.实验所用的冷凝液成分[10]为:2.8×10-3 mol/L NH4Cl+5.21×10-2 mol/L (NH4)2SO4+1.6×10-3 mol/L NH4NO3,溶液的pH值用稀硫酸调节到3.总共进行100次循环实验,并在循环实验期间测量试样在冷凝液中的腐蚀电位 (Ecorr) 和EIS谱.
电化学测试采用传统的三电极体系,试样作为工作电极,Pt片为辅助电极,饱和Hg/Hg2SO4 (MSE) 作为参比电极,并放在鲁金管中进行测试.测试仪器为Par 4000电化学工作站,EIS测试频率范围为1 ×10-2~9.9×104 Hz,交流激励电压幅值为10 mV,并用ZSimpWin 3.21软件对数据进行拟合.100次循环实验结束后,对各试样表面进行形貌观察 (SEM,Apollo 300) 和成分分析 (XRD,D/MAX2500V),然后清洗掉试样表面的氧化/腐蚀产物.利用高倍显微镜景深短,在同一平面内只能清晰聚焦在一个面的原理,使用KEYENCE VHX-100型数码显微镜测量试样上腐蚀坑的深度,测量精度为1 μm.
图1给出了5种不锈钢在第100次循环实验时浸入冷凝液后的腐蚀电位随时间变化曲线,其它循环次数时腐蚀电位具有类似的演变特征.由图可知,腐蚀电位在各试样刚浸入冷凝液时相对较高,但随着浸泡时间的延长会快速降低.这是由于试样表面在循环实验的氧化过程中形成了氧化膜,而腐蚀电位快速下降主要与冷凝液在氧化膜中扩散渗透有关.当冷凝液渗透到达不锈钢金属基体时,腐蚀电位降到最低值[7].5种不锈钢的腐蚀电位降到最低值后变化特征各不相同,说明它们的腐蚀热力学状态存在一定的差异.随着浸泡时间的继续延长,409不锈钢的腐蚀电位开始缓慢地回升,浸泡1 h时仍然很低,稳定在约-0.83 VMSE;429,439和441不锈钢的腐蚀电位均明显地出现回升,最终439与441两种钢的稳定腐蚀电位几乎相同,约为-0.59 VMSE;429不锈钢的稳定腐蚀电位约为-0.52 VMSE;436不锈钢的腐蚀电位变化较小,基本稳定在-0.49 VMSE附近.
表1 实验用不锈钢材料的化学成分
Table 1 Chemical compositions of stainless steels used in the experiments(mass fraction / %)
| Steel | C | Si | Mn | S | P | Cr | Ni | Mo | Nb | Ti | N | Fe | 
|---|---|---|---|---|---|---|---|---|---|---|---|---|
| 409 | 0.009 | 0.35 | 0.21 | 0.001 | 0.023 | 11.40 | 0.09 | 0.005 | 0.14 | 0.14 | 0.0074 | Bal. | 
| 429 | 0.011 | 0.94 | 0.93 | 0.001 | 0.025 | 14.26 | 0.22 | 0.45 | 0.40 | 0.20 | 0.0092 | Bal. | 
| 439 | 0.011 | 0.40 | 0.25 | 0.002 | 0.017 | 16.76 | 0.08 | 0.004 | 0.021 | 0.23 | 0.0076 | Bal. | 
| 436 | 0.012 | 0.42 | 0.28 | 0.002 | 0.018 | 17.61 | 0.08 | 0.75 | 0.01 | 0.22 | 0.0095 | Bal. | 
| 441 | 0.009 | 0.44 | 0.27 | 0.001 | 0.028 | 18.18 | 0.13 | 0.005 | 0.42 | 0.17 | 0.0063 | Bal. | 
					
图1 第100次循环时5种不锈钢在冷凝液中的腐蚀电位随时间变化曲线
Fig.1 Plots of corrosion potential vs time for five stainless steels after 100 cycles test in condensate solution
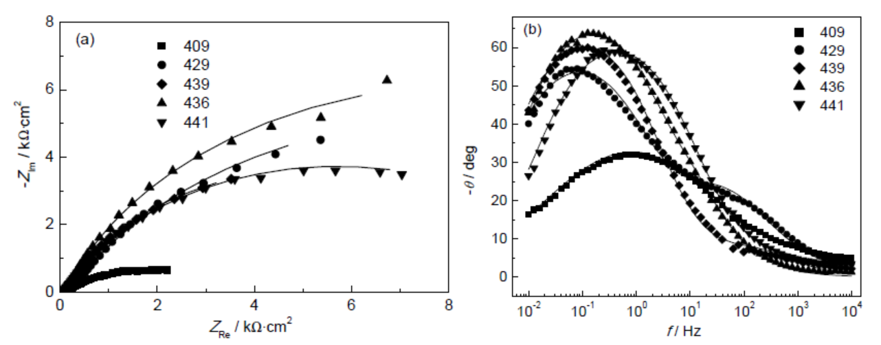
为了研究循环实验中试样表面的腐蚀信息,代表性地给出了循环100周期时各试样在模拟冷凝液中腐蚀的Nyquist图和Bode图 (图2),其中图标为测量数据点,线条为对应数据的拟合曲线.由Nyquist图可以看出,5种钢的阻抗谱均呈现容抗特征;409不锈钢的容抗弧半径很小,而其余4种不锈钢的容抗弧半径较大,说明氧化后各钢种在冷凝液中的腐蚀阻力存在一定差异.从Bode图可见,429不锈钢具有两个时间常数,分别反映了试样表面氧化/腐蚀产物膜和电荷转移过程的信息,两个时间常数相差明显;其余不锈钢试样表面也不可避免地会生成产物膜,但均未呈现出单独的时间常数.
图2 循环实验第100个周期时不锈钢试样在冷凝液中腐蚀的EIS谱
Fig.2 Nyquist (a) and Bode (b) plots for five stainless steels in condensate solution after 100 cycles test
用SEM观察了循环实验后试样的表面形貌,见图3.5种钢表面均发生了局部腐蚀,但腐蚀坑均小而浅.从氧化/腐蚀产物来看,409不锈钢表面的产物较多,形成了多缺陷的覆盖层,腐蚀坑内也有产物;而其余4种钢表面的产物层较薄,尤其是436不锈钢表面的产物很少,试样打磨痕迹仍很清晰.
图3 循环实验后不锈钢试样表面形貌的SEM像
Fig.3 SEM morphologies of 409 (a), 429 (b), 439 (c), 436 (d) and 441 (e) stainless steels after the cyclic tests
图4给出了5种不锈钢循环实验后表面氧化/腐蚀产物膜的XRD谱.经100次氧化-冷凝液浸泡循环实验后,各不锈钢表面氧化/腐蚀产物膜的成分相似,主要由 (Fe,Cr)2O3组成.由于429不锈钢含有较高含量的Si,其表面还检测到少量的SiO2.由文献[5]可知,各试样腐蚀产物中可能还含有硫酸盐等物质,但因含量少而难以在XRD谱中观察到其相应峰.
图4 循环实验后各试样氧化/腐蚀产物膜的XRD谱
Fig.4 XRD spectra of different specimens after the cyclic tests
在显微镜下观测得知,429与436两种不锈钢的腐蚀坑较少,试样表面深度大于5 μm的蚀坑不超过20个,而其余3种不锈钢的腐蚀坑相对较多,深度大于10 μm的蚀坑超过50个.根据点蚀评定方法 (GB/T 18590-2001),图5给出了100次循环实验后各不锈钢表面腐蚀坑的最大深度值以及平均深度值 (各试样表面10个最深腐蚀坑的平均值) .由图可见, 409,429,439,436与441不锈钢的最大蚀坑深度依次为40,13,23,10和21 μm,而平均深度分别为28,9,20,7和17 μm,腐蚀坑深度均较小,在模拟实验条件下均表现出较高的耐蚀性.此外,对腐蚀坑的最大深度与平均深度作进一步比较可知,429与436不锈钢以及439与441不锈钢的腐蚀坑深度相差约为3 μm,耐局部腐蚀性能几乎相同.
图5 循环实验后各试样表面腐蚀坑的最大深度及平均深度
Fig.5 Maximum and average values of pit depth for different specimens after the cyclic tests
为了获取各试样表面的腐蚀参数信息,采用图6所示的等效电路对5种不锈钢在冷凝液中腐蚀的阻抗谱数据进行解析.图中,Rs表示介质电阻,Cf和Rf分别表示试样表面氧化/腐蚀产物膜的电容与电阻,Cdl和Rt分别表示金属/溶液界面的双电层电容与电荷转移电阻.由于实际试样表面存在较强的弥散效应,拟合过程中用常相位角元件 (CPE) 来代替电容Cf和Cdl[6,11].由图2可知,拟合曲线与实际测量数据吻合较好.图7为循环实验100次后阻抗参数Rf与Rt的拟合值.
不锈钢的冷凝液腐蚀主要涉及以下过程或因素:(1) 氧化过程中形成氧化膜;(2) 氧化导致形成微弱的贫Cr区;(3) 氧化膜在冷凝液中的溶解;(4) 冷凝液浸泡过程中发生腐蚀产物的累积或形成钝化膜;(5) 发生局部腐蚀而形成腐蚀坑.不锈钢中合金元素的种类及含量会改变这些因素对冷凝液腐蚀的作用程度,决定着各种钢的腐蚀状态与性能.从XRD分析可知,循环实验过程中Cr与Si易氧化并在钢表面形成氧化物覆盖层,该膜层在氧化-冷凝液浸泡循环实验中会经受形成,破坏和再形成的演化过程,进而影响不锈钢的抗氧化与耐腐蚀性能.
5种钢中409不锈钢的Cr含量最低,氧化过程中易形成多缺陷的表面膜与微弱贫Cr区,使得其Rf与Rr值均很低,腐蚀深度也相对最大.与439不锈钢相比,429不锈钢的Cr含量约低2.5%,而Si含量高出0.54%,两种不锈钢表面形成的氧化膜保护性差别很小,故Rf值相近,但是429不锈钢的Rt值更大,腐蚀深度明显更小,这可能与其含有0.45%Mo有关,不锈钢中Mo对抗氧化和耐腐蚀性能均具有显著增强作用[12,13].441不锈钢比439不锈钢的Cr含量约高1.4%,其Rf值明显更大,但Rt值与腐蚀深度值差别均较小,其原因由图1可推知,两种钢在冷凝液中均可逐渐进入钝化状态,腐蚀电位从最低点逐渐升高,最终稳定值基本相同.436不锈钢与441不锈钢的Cr含量相当,且含有0.75%Mo,氧化膜的Rf值接近,但436不锈钢的Rt值明显更高,腐蚀深度相对较小,这与Mo对冷凝液腐蚀的抑制作用有关.429不锈钢也可能因含Mo而表现出与436不锈钢相近的Rt值与腐蚀深度.与409不锈钢相比,其它4种钢因Cr含量较高,氧化时形成的氧化膜具有更好的保护性能,微弱贫Cr区对冷凝液腐蚀状态影响较小,腐蚀阻力明显更大.当然,由于冷凝液腐蚀时间较短,仅为2 h,5种不锈钢在氧化和冷凝液浸泡过程中的耐腐蚀性能差异尚未充分体现出来.试样表面腐蚀坑均较浅,这也可能是消声器用409不锈钢在长距离行驶条件下常常表现出较长使用寿命的原因.此外,从这些比较分析还可得知,Cr和Mo分别在不锈钢的氧化和冷凝液腐蚀过程中发挥最为显著的作用.
图7 循环实验100次后各试样阻抗参数的拟合值
Fig.7 Fitted values of impedance parameters for different specimens after 100 cycles test
(1) 氧化-冷凝液浸泡循环过程中,5种不锈钢的腐蚀状态及电化学特征存在一定的差异.409不锈钢表面难以形成保护性良好的覆盖膜层,腐蚀电位最低且电荷转移电阻最小.429与439不锈钢以及441与436不锈钢表面膜层的电阻均相近,但因429与436不锈钢含Mo而具有相对更高的电荷转移电阻.
(2) 5种不锈钢表面氧化/腐蚀产物膜均主要由Cr2O3和Fe2O3组成,钢中合金元素Cr以及Si和Mo对膜层在冷凝液中的电阻具有较大影响.
(3) 5种不锈钢在循环实验过程中均会发生局部腐蚀,腐蚀深度最大的为409不锈钢,439与441不锈钢的腐蚀深度相近,429与436不锈钢的腐蚀深度也接近,最低为436不锈钢,钢中合金元素Cr与Mo对冷凝液腐蚀深度的影响最为显著.但是,5种不锈钢在汽车长距离行驶的模拟实验条件下均表现出良好的耐蚀性.
The authors have declared that no competing interests exist.
 
						
/
| 〈 |  | 〉 |