中国腐蚀与防护学报  2015 , 35 (5): 467-473 https://doi.org/10.11902/1005.4537.2014.191

聚合物改性砂浆中钢筋的电化学行为及聚合物改性混凝土抗Cl-渗透性

吕晨曦, 魏英华, 李京, 孙超

中国科学院金属研究所 沈阳 110016

Electrochemical Characteristics of Rebar in Polymer-modified Mortar and Resistance to Chloride Ion Penetration of Polymer-modified Concrete

LV Chenxi, WEI Yinghua, LI Jing, SUN Chao

Institute of Metal Research, Chinese Academy of Sciences, Shenyang 110016, China

中图分类号:  TG174.1

通讯作者:  通讯作者:魏英华,E-mail:yhwei@imr.ac.cn,研究方向为金属腐蚀与防护

接受日期:  2014-11-12

网络出版日期:  --

版权声明:  2015 《中国腐蚀与防护学报》编辑部 版权所有 2014, 中国腐蚀与防护学报编辑部。使用时,请务必标明出处。

作者简介:

吕晨曦,女,1989年生,硕士生

展开

摘要

采用电化学阻抗法 (EIS)、线性极化法 (LP) 与腐蚀电位法研究了钢筋在聚合物改性砂浆 (PMM) 中的电化学行为并与在普通砂浆 (CM) 中对比。结果表明,聚合物改性砂浆中钢筋表面双电层传递电阻较普通砂浆中增长慢但养护后期双电层传递电阻较大;聚合物改性砂浆中钢筋的腐蚀电位较在普通砂浆中更低;线性极化法的测试结果与电化学阻抗法接近;采用快速Cl-迁移系数法 (RCM) 研究了聚合物改性混凝土 (PMC) 的抗Cl-渗透性能,并比较了不同配比聚合物改性混凝土的力学性能。结果表明,聚合物改性混凝土的抗Cl-渗透性与力学性能较普通混凝土都有大幅提高。

关键词: 聚合物改性砂浆 ; Cl- ; 渗透性 ; 电化学阻抗谱

Abstract

The electrochemical characteristics of rebar in a polymer-modified mortar (PMM) and a common mortar (CM) were comparatively studied by means of electrochemical impedance spectroscopy (EIS), linear polarization (LP) and open circuit potential measurements. The result showed<br>that the formation rate of passive film on the rebar steel in PMM was slower than that in CM. After the passive film was completely formed, the impedance of the rebar steel in PMM was larger than that in CM. The effect of polymer modification on the resistance to chloride ion penetration of polymer-modified concret (PMC) was evaluated by rapid chloride diffusion coefficient method (RCM)and which on the mechanical property of PMC was also examined. It showed that the addition of polymer can clearly enhanced the resistance to chloride ion penetration and also the mechanical property of the modified concrete.

Keywords: polymer-modified mortar ; Cl- ; penetration ; electrochemical impedance spectroscopy

0

PDF (1378KB) 元数据 多维度评价 相关文章 收藏文章

本文引用格式 导出 EndNote Ris Bibtex

吕晨曦, 魏英华, 李京, 孙超. 聚合物改性砂浆中钢筋的电化学行为及聚合物改性混凝土抗Cl-渗透性[J]. , 2015, 35(5): 467-473 https://doi.org/10.11902/1005.4537.2014.191

LV Chenxi, WEI Yinghua, LI Jing, SUN Chao. Electrochemical Characteristics of Rebar in Polymer-modified Mortar and Resistance to Chloride Ion Penetration of Polymer-modified Concrete[J]. 中国腐蚀与防护学报, 2015, 35(5): 467-473 https://doi.org/10.11902/1005.4537.2014.191

1 前言

混凝土与水泥砂浆作为一种传统的建筑材料在建筑行业中起着不可替代的作用。通常状态下混凝土可以为钢筋提供高碱性环境使钢筋表面处于钝化状态。但由于混凝土的多孔性结构,其抗渗透性较差,在高腐蚀性环境如海洋环境中,不能对钢筋起到有效的保护作用。研究[1]表明,钢筋的腐蚀是影响钢筋混凝土结构服役寿命的主要因素,由于聚合物改性混凝土 (polymer-modified concrete,PMC) 具有良好的力学性能与耐久性能,近半个世纪来,PMC取得了长足的发展。PMC指在普通水泥混凝土的配方基础上,在搅拌阶段掺入单体或聚合物,成型后经养护形成的一种含有机聚合物的水泥混凝土。PMC的外加剂可分为聚合物颗粒、短纤维和聚合物溶液。相同的改性效果条件下,与聚合物颗粒相比,聚合物溶液的用量较少。短纤维在施工时可直接与粗细骨料预先混合,可降低施工难度且造价较低。无论哪种形式的聚合物外加剂都可起到增强水泥基复合材料各组分结合力的作用,从而提高混凝土的抗压强度、弯曲强度和韧性,所以在修补工程中PMC得到广泛应用。此外,聚合物还可以与水泥的水化产物凝聚交联成网络结构,使混凝土的密实度增加进而提升了混凝土的抗冻性和耐腐蚀性[2]-[5],对钢筋起到更好的保护[6]

目前,国内外对加入聚合物后砂浆/混凝土性能进行了一些研究,但对于埋于其中的钢构的电化学性能方面的研究较少。Song等[7]给出了一种钢筋在混凝土中的新型等效模型,并解释了各原件的物理意义,Koleva等[8]用电化学阻抗法和线性极化法研究了Cl-侵蚀下钢筋在混凝土中的腐蚀特征;Ismail等[9]采用电化学阻抗法研究了在Cl-侵蚀下钢筋在普通混凝土及高性能混凝土中的腐蚀情况,并给出4种等效电路模型及其物理解释;Suryavanshi等[10]用腐蚀电位法和电化学阻抗法研究了钢筋在高水灰比混凝土中的腐蚀特征。对于聚合物改性混凝土,已有研究[11]表明,聚合物的加入能够改善混凝土与钢筋的结合力。这意味着钢筋与混凝土界面状态会有改变,而这种改变对钢筋耐腐蚀性能的影响尚不明确,因此有必要对PMC中钢筋的电化学特征进行进一步研究。本文利用电化学方法测量聚合物改性砂浆 (PMM) 中钢筋的电化学行为,以此探讨用电化学方法评估PMC性能的可行性,并为定量测量PMC性能提供方法。实验重点采用电化学阻抗谱、线性极化与腐蚀电位法研究了钢筋在PMM中和普通水泥砂浆中的钝化行为,并比较了聚合物改性对混凝土抗Cl-渗透性的影响。

本文中钢筋的电化学测试选择在砂浆中而非在混凝土中进行是由于砂浆加入石子后易使石子与电极接触,从而产生较大误差。作为一种热固性树脂,环氧树脂附着力强,耐候性与化学稳定性好。水性环氧树脂几乎不含有机溶剂,属于环境友好性材料,故选用水性环氧树脂乳液作为改性砂浆和混凝土的聚合物。

2 实验方法

2.1 钢筋在普通砂浆及PMM中的钝化实验

PMM拌合流程见图1,虚线内部为普通砂浆/混凝土 (common mortar/concrete, CM/CC) 拌合流程。试件为70.7 mm×70.7 mm×70.7 mm的立方体试块,其中水泥为42.5号普通硅酸盐水泥;砂子为天然河沙;采用浙江安邦新材料生产的AB-EP-44水性环氧树脂,固含量:50%,环氧值:0.22;AB-HGA水性环氧固化剂,固含量:50%,胺值:130,活泼氢:300;消泡剂为有机硅消泡剂;水为蒸馏水。具体质量分数配比见表1。

图1   聚合物改性砂浆和混凝土拌合流程图

Fig.1   Flow chart of mixing of PMM and PMC

表1   PMM/PMC配合比

Table 1   Mix proportion of PMM and PMC

ClassificationPolymer/CementWater/CementSand/CementGravel/CementDefoamer/Polymer
PMM00.42------
0.150.42---0.01
PMC00.423.2---
0.03~0.150.423.20.01

新窗口打开

钢筋横截面作为工作面,面积为0.385 cm2,其余表面用环氧树脂密封。工作面经金相砂纸逐级打磨至1000#,先后用蒸馏水和无水乙醇清洗,烘干后埋入试样的中心,在钢筋另一端引出Cu导线。

电化学阻抗测试采用三电极体系,参比电极为饱和甘汞电极 (SCE),辅助电极为Pt电极。测试系统由273A电化学工作站与5210锁相放大器组成,测试频率为100 kHz~10 mHz,激励信号为10 mV幅值的正弦波,应用ZSimpWin软件进行数据分析。

2.2 抗Cl-渗透性能实验

按GB/T50082-2009《普通混凝土长期性和耐久性能试验方法标准》中快速Cl-渗透系数法 (RCM) 进行实验[12]。为保证加入聚合物后的试件充分固化,将标准中的28 d养护期延长至40 d。将养护好的试件加工为Φ100 mm×50 mm的圆柱体标准试件。将试件置于真空容器中进行真空处理,容器中气压至少减少至1~5 kPa,并保持真空度3 h,在真空泵运转的情况下将饱和Ca(OH)2溶液注入容器,将试件浸没,1 h后恢复常压,并继续浸泡 (18±2) h。将试件吹干表面后安装入RCM实验装置,如图2所示。打开电源,将电压调整到 (30±0.2) V,记录通过试件的初始电流。后续实验应施加的电压根据施加30 V电压时电流所处范围按标准中要求进行调整。记录阳极溶液的初始温度,最终温度和最终电流。通电结束后将试件取出,在压力试验机上沿轴向劈成两个半圆柱体,在试件断面立即喷涂浓度为0.1 mol/L的AgNO3溶液显色指示剂,15 min后记录变色平均深度。

图2   RCM实验装置图

Fig.2   Setting drawing of RCM

每组取3个试样的Cl-迁移系数的算术平均值作为该组试件的Cl-迁移系数测定值。当最大值与最小值与平均值之差超过中间值15%时,剔除此值,取其余两值的平均值;当最大值和最小值超过中间值15%时,取中间值作为测定值。

2.3 力学性能实验

按GB/T50081-2002《普通混凝土力学性能试验方法标准》中推荐的方法进行轴心抗压和抗折实验。轴心抗压实验试件尺寸为:100 mm×100 mm×100 mm,抗折实验试件尺寸为:100 mm×100 mm×400 mm。养护至40 d后在力学试验机上进行实验。

3 结果与讨论

3.1 钢筋在CM和PMM中的电化学阻抗谱

以养护至35 d时试块中的钢筋进行电化学阻抗谱 (EIS) 分析,见图3和4。可以看到,PMM中钢筋的EIS图与CM中钢筋的EIS图形状相同。Bode图中显示,在低频区与高频区分别有一个时间常数。从Nyquist图中可看到两段容抗弧,低频区的容抗弧半径很大,接近直线,这表明钢筋表面的双电层传递电阻很大,钢筋处于钝化状态。采用ZSimpWin软件,利用图5中的等效模型对体系阻抗特征进行模拟,拟合数值见表2。其中,Rs为参比电极与试件间的溶液电阻;R1为CM和PMM保护层电阻;Q1为保护层电容。由于其频响特征与“纯电容”不一致,出现“弥散效应”,因此用Q代替纯电容[13]R2为双电层传递电阻;Q2为钢筋表面双电层电容;指数n2接近等于1,表明Q2更近似于纯电容,Ecorr为腐蚀电位。从图3,4和表2中可见,根据此等效模型拟合出的阻抗谱图与测试图吻合度较好,从而验证了所用模型的合理性。

图3   CM试块中钢筋的Nyquist图和Bode图

Fig.3   Nyquist (a) and Bode (b) plots of rebar in CM block

图4   PMM试块中钢筋的Nyquist图和Bode图

Fig.4   Nyquist (a) and Bode (b) plots of rebar in PMM block

图5   钢筋在CM和PMM中的等效电路

Fig.5   Equivalent circuit of rebar in CM and PMM block

表2   EIS拟合结果

Table 2   Results of EIS fitting

Dosage of polymerRS / Ωcm2R1 / Ωcm2Q1 / Fcm-2n1R2 / Ωcm2Q2 / Fcm-2n2Ecorr / %
01.245×10-220408.82×10-70.4104.06×1062.29×10-50.8873.946×10-2
0.150.0126541.59×10-70.5906.37×1062.14×10-50.9205.114×10-3

新窗口打开

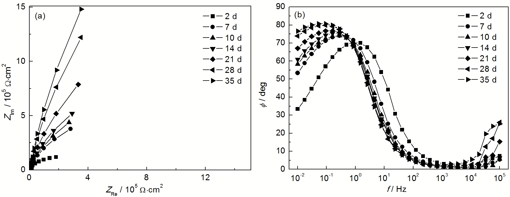
3.2 EIS随时间的变化

分别对养护期为第2,7,10,14,21,28和35 d的钢筋进行阻抗谱测试,结果如图6和7所示。表3给出了拟合结果。从Nyquist图中可看出,低频区容抗弧随时间的延长半径呈增大趋势,与Bode图中相位角逐渐升高相吻合。由图6可看到,CM中钢筋阻抗值在第2~14 d有明显增长,之后图形基本重合。从表3与图8同样可以看出从第14 d开始阻抗值已经不再上升,双电层电容也趋于平稳,这表明普通砂浆中钢筋在第14 d时随水泥的水化反应钝化膜已经完全生成。与普通砂浆中情况不同,从PMM阻抗谱中可看出,从第2~35 d低频容抗弧半径持续增大,伴随Bode图中低频区相位角上升,从表3可看出,CM与PMM中钢筋双电层电容值持续下降。图8给出了两者的双电层传递电阻随时间的变化,可以看到,养护期开始时,PMM中钢筋表面的双电层传递电阻远小于CM中的,第2 d时仅为其28.6%,这表明PMM中钢筋表面的钝化膜较CM中形成较慢。由表3得出,随着时间的增大,钝化膜逐渐形成并伴随着聚合物乳液的固化,聚合物/钢筋界面的体积电阻较水泥/钢筋界面的体积电阻大,且加入聚合物后界面的结合强度增大,从而使阻抗值持续增加,第35 d时增加至普通砂浆的157%。

图6   CM中钢筋阻抗谱随时间变化

Fig.6   Nyquist (a) and phase angle (b) plots of rebar embedded in CM for different time

图7   PMM中钢筋阻抗谱随时间变化

Fig.7   Nyquist (a) and phase angle (b) plots of rebar embedded in PMM for different time

表3   CM和PMM钢筋表面EIS拟合结果

Table 3   EIS fitting results of rebar in CM and PMM blocks

TimeCMPMM
dR2 / Ωcm2Q2 / Fcm-2n2R2 / Ωcm2Q2 / Fcm-2n2
23.82×1053.46×10-50.8701.36×1055.33×10-50.821
71.27×1062.94×10-50.8694.39×1054.58×10-50.870
101.93×1062.81×10-50.8657.50×1054.54×10-50.867
144.12×1062.48×10-50.8859.80×1054.26×10-50.880
213.98×1062.46×10-50.8821.83×1063.28×10-50.890
284.03×1062.46×10-50.8824.56×1062.49×10-50.913
354.06×1062.29×10-50.8876.37×1062.14×10-50.921

新窗口打开

图8   钢筋在CM和PMM中R2变化规律比较

Fig.8   Comparison of R2 of rebar in CM and PMM

3.3 线性极化法与电化学阻抗谱法结果比较

如图9所示,对采用线性极化法与电化学阻抗法两种方法所测得的阻抗进行比较。虽然线性极化法测得的极化电阻Rp为总电阻,即 (Rs+R1+R2),但由电化学阻抗法可以看到,如表2拟合结果所示,(Rs+R1) 值与R2相比近似相差3个数量级,可忽略。因此上述近似合理。从图9可看出,线性极化法测得的极化电阻变化趋势与电化学阻抗法测得的电阻趋势相同,且数值接近。不同的电化学方法给出了相似的结果,验证了当前电化学方法的可靠性和该方法在PMM中的适用性。

图9   线性极化法与电化学阻抗谱法所测阻抗的比较

Fig.9   Comparison of impedance obtained by LP and EIS for rebar in CM (a) and PMM (b)

3.4 钢筋腐蚀电位随时间的变化

钢筋在CM和PMM中的腐蚀电位随时间演化如图10所示。CM试件中只进行水泥的水化反应,而PMM试件中聚合物乳液的固化反应与水化反应同时进行。通常认为,砂浆中钢筋的腐蚀电位大于-250 mV (vs SCE) 时钢筋处于钝化状态[8],由图10可知CM和PMM中钢筋的腐蚀电位都随时间增大而升高,但PMM中钢筋的起始电位较小,且整个实验周期内,其电位小于CM中的电位值,其值随时间逐渐上升,直到第28 d才升至理论钢筋钝化电位左右,而后电位上升趋势缓慢。相对湿度、水灰比、水泥种类对电位都会产生影响。研究[14]表明,聚合物的加入会对水泥砂浆起减水作用,使砂浆湿度增大;聚合物的加入使砂浆的孔隙率降低,O2更不易到达钢筋表面,钢筋由于贫氧而导致电位下降。从CM和PMM中钢筋的腐蚀电位图也可判断出,由于聚合物的加入使得砂浆的养护期相对延长。

图10   CM和PMM中钢筋的腐蚀电位

Fig.10   Corrosion potential of rebar in CM and PMM

3.5 CC和PMM的抗Cl-渗透性分析

将实验测得的数据代入下式进行Cl-非稳态迁移系数计算[12]

DRCM=RTzFEXd-αXdt

E=U-2L

α=2RTzEFerf-1(1-2CdC0)

式中,DRCM为非稳态迁移系数,m2/s,z为离子化合价的绝对值;F为Faraday常数;R为气体常数;T为阳极溶液的初始温度和结束时温度的平均值;Xd为Cl-渗透深度的平均值;t为实验持续时间;U为所用电压的绝对值;L为试件厚度;erf-1为误差函数的逆函数;Cd为Cl-颜色改变的浓度,取0.07 mol/L;C0为阴极溶液中Cl-浓度。

实验采用聚合物质量配比为0%,5%,10%和15%的PMC进行研究。经计算所得的Cl-迁移系数列于图11。从中可见,聚合物的加入显著改变了Cl-在混凝土中的扩散速率。CC的抗Cl-渗透性很差,Cl-迁移系数高达2.25×10-7 cm2/s。随聚合物掺入量的增加,混凝土的孔隙率降低,密实度增加,抗Cl-渗透能力逐渐提升。掺量为5%,10%和15%的PMC的Cl-迁移系数为CC的54.7%,36.5%和30.5%。

图11   不同掺入量聚合物改性混凝土的Cl-迁移系数

Fig.11   DRCM of Cl- in concrete containing different dosages of polymer

3.6 PMC力学实验

图12为不同配比的PMC的轴心抗压强度与抗折强度。可以看出,聚合物的掺入改善了PMC的力学性能,其轴心抗压强度与抗折强度都随聚合物掺入量的增加近似呈线性增大趋势。当掺入量至8%时,轴心抗压强度比CC提升了154.3%,抗折强度提升了130%。

图12   聚合物改性混凝土的轴心抗压强度及抗折强度

Fig.12   Axial compressive strength (a) and bending strength (b) of PMC

4 结论

(1) 电化学阻抗法能有效评估聚合物改性砂浆/钢筋体系性能变化,使用线性极化法与电化学阻抗法所测得的阻抗接近,因此这两种方法都可以作为评估聚合物改性砂浆中钢筋状态的测试方法。而腐蚀电位法在判断聚合物改性混凝土中钢筋表面状态上所受影响因素较多,腐蚀电位较低并不能说明钢筋处于腐蚀状态,应与其他方法联合使用。

(2) 由于聚合物的加入使砂浆的水化反应减慢,钢筋表面的钝化膜形成速度减慢,初期钢筋表面阻抗小于普通砂浆中钢筋表面阻抗;随聚合物乳液的固化进行,钢筋的界面状态发生变化,聚合物的加入增大了界面体积电阻率和结合强度,养护至标准养护期28 d时起超过普通砂浆中钢筋表面阻抗。因此,在工程应用聚合物改性砂浆与混凝土时应适当延长养护期,以使钢筋混凝土结构达到最佳状态。

(3) 聚合物的加入明显改善了混凝土的抗Cl-渗透性与力学性能。


/