金属学报  2015 , 51 (7): 777-783 https://doi.org/10.11900/0412.1961.2014.00678

超细晶粒钢中晶粒尺寸对塑性的影响模型*

刘觐1, 朱国辉12

1 北京科技大学材料科学与工程学院, 北京100083
2 安徽工业大学冶金工程学院, 马鞍山243000

MODEL OF THE EFFECT OF GRAIN SIZE ON PLASTI-CITY IN ULTRA-FINE GRAIN SIZE STEELS

LIU Jin1, ZHU Guohui12

1 School of Materials Science and Engineering, University of Science and Technology Beijing, Beijing 100083
2 School of Metallurgical Engineering, Anhui University of Technology, Maanshan 243000

中图分类号:  TG111.7

通讯作者:  Correspondent: ZHU Guohui, professor, Tel: (0555)2316651, E-mail: zhugh@ahut.edu.cn

修回日期:  2014-12-9

网络出版日期:  --

版权声明:  2015 《金属学报》编辑部 版权所有 2014, 金属学报编辑部。使用时,请务必标明出处。

基金资助:  *国家自然科学基金项目51071026和教育部留学回国人员科研启动基金项目资助

作者简介:

刘觐, 女, 1988年生, 博士生

展开

摘要

以作者前期提出的位错塞积模型为基础, 结合断裂强度与晶粒尺寸的关系, 建立了晶粒细化导致超细晶粒钢总伸长率降低的临界晶粒尺寸的计算模型. 以晶粒尺寸从10 mm减小到0.2 mm为例, 计算结果表明, 钢的总塑性伸长率随着晶粒尺寸的减小首先呈现增加的趋势, 但是当晶粒尺寸减小到大约2.5 mm后, 随着晶粒尺寸的减小, 钢的总伸长率不仅不再增加, 反而出现了显著的降低, 这一结果较好地吻合了近期超细晶粒材料研究的实验现象. 本工作的研究说明, 导致超细晶粒钢伸长率降低的主要机制在于当晶粒细化到一定程度后, 晶界对位错源开动的阻力增大, 由此导致的可动位错数目显著降低使得应变量显著减少.

关键词: 塑性 ; 超细晶粒 ; 晶粒尺寸 ; 位错塞积 ; 位错源

Abstract

Based on our earlier preliminary work, a model was developed for prediction of the critical grain size where the plasticity would be decreased as the grain refined. In the model the effect of grain size on the fracture strength was combined. The prediction of the model exhibited that in the range of grain size of 10 mm to 0.2 mm as an example, the total elongation of the steels would be firstly increased. But when the grain size was refined to 2.5 mm and below, the total elongation of the steels was not increased but decreased sharply, which was good agreement with the experimental results published recently. Present work illustrated that the dominant mechanism of the elongation decreased in the ultra-fine grain size materials is due to increase in resistance force of grain boundaries on the dislocation sources resulting in the difficulty of activation of dislocation movements. Its expression would be the decrease of the plastic strain in macro-level.

Keywords: plasticity ; ultrafine grain size ; grain size ; dislocation pile-up ; dislocation source

0

PDF (1113KB) 元数据 多维度评价 相关文章 收藏文章

本文引用格式 导出 EndNote Ris Bibtex

刘觐, 朱国辉. 超细晶粒钢中晶粒尺寸对塑性的影响模型*[J]. , 2015, 51(7): 777-783 https://doi.org/10.11900/0412.1961.2014.00678

LIU Jin, ZHU Guohui. MODEL OF THE EFFECT OF GRAIN SIZE ON PLASTI-CITY IN ULTRA-FINE GRAIN SIZE STEELS[J]. 金属学报, 2015, 51(7): 777-783 https://doi.org/10.11900/0412.1961.2014.00678

实现高等级管线钢强韧化的技术关键是利用控轧控冷(thermal mechanical control processing, TMCP)工艺, 通过细化晶粒保证管线钢在高强度的水平下得到良好的低温韧性, 以满足在北极等高寒地区条件下, 管线承受油气输送过程中的冲击疲劳的服役要求[1,2]. 然而, 在整个管线铺设地区, 不可避免地会经过地质条件恶劣的地段. 为了尽可能地保证管线钢在某些极端条件下, 例如地震、滑坡等自然灾害中, 不致由于地质变化导致的管线变形造成的破断, 使得石油、天然气泄漏而造成二次破坏, 就要求管线钢除了能够满足强韧性的使用性能要求之外, 还要具有良好的承受塑性变形的能力[3,4].

大量研究[5-9]已经证明, 当晶粒尺寸细化到一定的范围时, 传统材料学观点中有关材料的塑性随着晶粒的细化而增加的规律已经不再适用于大部分超细晶粒钢. 实验研究的结果[5-9]表明, 当晶粒细化到某一临界值之后, 钢的塑性将随着晶粒尺寸的进一步减小而迅速降低, 钢的加工硬化能力失去, 从而大大降低了钢的变形能力. 因此, 需要进行合理的微观结构设计来提高管线钢的塑性变形能力, 一方面需要细化晶粒保证其具有足够的强度和韧性, 另一方面又需要保证晶粒的细化不导致塑性的降低. 为了实现这一目的, 需要系统地分析晶粒尺寸对钢的塑性变形行为的影响规律和机理, 并确定相应的临界晶粒尺寸, 为新一代管线钢的设计和生产提供技术基础. 目前针对晶粒尺寸减小导致塑性下降这一实验现象的解释已有一些研究工作, 主要分为两类: 一是超细晶粒钢中显著的动态回复作为一种软化机制, 降低了钢的加工硬化率[5,10,11]; 二是超细晶粒钢在变形早期便发生塑性失稳, 将均匀伸长率限制在了很低的水平[11,12]. 但是这些研究主要集中在一些纳米尺度材料的研究[13]和计算研究领域[14,15], 对亚微米级尺度的超细晶粒钢中这种塑性随晶粒尺寸减小而降低的微观物理机理尚缺少系统的分析和深入的研究, 对超细晶粒钢的塑性随晶粒尺寸减小开始迅速减小的“临界晶粒尺寸”也未见有关定量分析计算的模型. 这给实际生产过程中通过设计晶粒尺寸来优化管线钢力学性能的微观结构设计带来了一定的困难. 尽管作者的前期工作提出了利用位错塞积模型[16]为基础来分析晶粒尺寸对应变的影响, 但是分析的基础只是针对一定外加应力条件下材料的变形行为, 没有考虑晶粒尺寸对强度的作用.

本工作结合晶粒尺寸对超细晶粒钢断裂强度的影响, 利用位错运动模型来分析晶粒尺寸对超细晶粒钢拉伸变形时总塑性伸长率的影响. 以X80管线钢为例, 计算了拉伸塑性变形时的塑性随着晶粒尺寸减小由增加转变为迅速减小的临界晶粒尺寸.

1 材料断裂强度与晶粒尺寸的关系模型

材料的总塑性伸长率是断裂强度下材料的应变量, 在一定程度上反映了材料的塑性变形能力. 由于晶粒尺寸的改变会引起材料断裂强度的变化, 因此, 为了分析晶粒尺寸对材料的塑性的影响, 首先需要分析晶粒尺寸对断裂强度的影响. 在Stroh[17]模型的基础上, Smith[18]提出了金属材料中裂纹形核扩展的模型. 根据Smith[18]模型, 微裂纹能够在相邻晶粒中稳定存在的临界外加切应力如下式所示[18]:

τf=4Eγsπ(1-ν)d

式中, τf代表了微裂纹能够在相邻晶粒中稳定存在的临界切应力, 即裂纹扩展通过晶界, 并开始失稳扩展的临界切应力; E为弹性模量, ν为Possion比; γs为有效表面能; d为晶粒尺寸.

研究[18-21]表明, 对于多晶体塑性材料, 决定材料断裂强度的主要因素是沿晶界的裂纹扩展, 即晶界是阻碍裂纹扩展的有效障碍[21]. 也就是说, 裂纹即使扩展通过碳化物/铁素体界面, 如果应力不能克服“铁素体晶粒强度”, 那么裂纹将在遇到的第一个铁素体/铁素体晶界处停止. 根据Curry和King[22]的工作, “铁素体晶粒强度”如式(1)所示. 对多晶体材料来说, 由于每个晶粒的取向各不相同, 相同外加应力下, 不同取向晶粒的滑移系上所承受的分切应力是不同的, 其中具有最大取向因子的最软取向晶粒, 外加应力作用在其滑移系上的分切应力是最大的. 因此, 随着外加应力的增加, 最软取向晶粒的滑移系上所承受的分切应力将最先达到 τf. 当有一个晶粒的滑移系上的分切应力达到 τf时, 即使其它晶粒的滑移系上的分切应力尚未达到 τf, 微裂纹也会开始在多晶体材料中发生塑性失稳扩展. 因此, 多晶体材料的断裂强度 σf可用下式表示:

σf=τfμmax

式中, σf为多晶体材料的断裂强度, mmax为多晶体材料中最软取向晶粒的取向因子. 从理论上来说, 晶粒可能达到的最大取向因子为0.5[23].

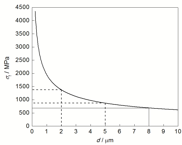
以X80管线钢为例进行计算. 在计算中, 分别取E=208 GPa[24], v=0.273[25], gs=2.6 J/m[26]mmax=0.5[23], 代入式(1)和(2)中进行计算, 得到 σf与d之间的关系, 如图1所示. 可见, σf随着d的减小而增加, 特别是当d<4~5 mm时, σf随着d的减小大幅度增加, 而当d>4~5 mm时, σf随d的减小增加得比较缓慢. 这是因为晶界可以改变裂纹扩展路径, 有效阻碍裂纹扩展, d越小, 晶界的数量越多, 裂纹在扩展的途径中遇到的晶界就越多, 裂纹扩展的路径就越曲折, 需要克服的阻碍就越多, 因此裂纹扩展就需要消耗更多的能量[27]; 另一方面, 晶粒越细, 位错塞积群的长度就越小, 塞积群中的位错数目越少, 应力集中也越小, 裂纹的萌生和扩展就越难发生[23].

图1   多晶体材料的断裂强度 σf 随晶粒尺寸d的变化

Fig.1   Relationship between fracture strength σf and grain size d in polycrystalline materials

2 晶粒尺寸对材料总塑性伸长率的影响模型

2.1 平均取向因子的计算

σf是多晶体材料的宏观力学性能. 在实际的多晶体材料中, 各个晶粒具有不同的晶体学取向, 因此, 当宏观的拉伸应力等于 σf时, 作用在各个晶粒的滑移系上的分切应力并不相同. 因此, 要讨论多晶体材料的总塑性伸长率与d之间的关系, 必须先分析 σf与各个晶粒的滑移系上的分切应力之间的关系.

断裂时, σf与作用在晶粒的滑移系上的分切应力之间的关系如下式所示[28]:

τdi=μi×σf

式中, τdi为外力作用在第i个晶粒的滑移系上的分切应力, μi为第i个晶粒的取向因子, 可用下式表示[29]:

μi=cosφi×cosλi(i=1,2,,936)

式中, φi为外力轴方向与滑移面法线方向的夹角, λi为外力轴方向与滑移方向的夹角.

材料研究工作中通常采用平均取向因子进行计算. 假设多晶体材料具有随机取向的特征, 那么根据晶体学理论, 晶粒在取向空间共有936个具有代表性的取向[29], 因此, 可将取向空间划分为936个微区, 每个微区的特征取向用gi表示, 取向密度权重用f(gi)表示, gi微区的取向因子用m(gi)表示. 则多晶体的平均取向因子 μ̅[29]:

μ̅=i=1936μ(gi)f(gi)

X80管线钢具有bcc结构, 其常见的滑移系有12个{110}<111>滑移系、12个{112}<111>滑移系和24个{123}<111>滑移系. 由于{123}滑移面上的位错可以通过{110}面与{112}面上滑移的组合完成, 因此, 在计算时忽略{123}<111>上的滑移[30]. 因此, gi取向微区的12个{110}<111>滑移系和12个{112}<111>滑移系上的取向因子是[29]:

μ{110}gi=cocφgi×cosλgi

μ{112}gi=cosφgi×cosλgi

式中, μ{110}gi为gi取向微区的{110}<111>滑移系的取向因子, φgi为外加应力方向与gi取向微区的{110}晶面的法线方向的夹角, λgi为外加应力方向与gi取向微区的<111>晶向的夹角, μ{112}gi为gi取向微区的{112}<111>滑移系的取向因子, φgi为外加应力方向与gi取向微区的{112}晶面的法线方向的夹角, λgi为外加应力方向与gi取向微区的<111>晶向的夹角. 然而, 晶体内{110}面和{112}面上滑移的临界分切应力 τy{110}τy{112}并不相同, 为了简化计算, 本工作以室温条件下bcc晶体中最常见的 τy{110}作为标准[31], 对 τy{110}τy{112}进行归一化处理, 取 τy{110}=0.95τy{112}[32], 并以取向因子的最大值作为该微区的取向因子. 归一化处理后, m(gi)如下式所示:

μ(gi)=max(μ{110}gi,0.95μ{112}gi)

根据式(5)~(7), 便可计算得到材料的 μ̅. 假设材料为随机取向时, 计算得到 μ̅约为0.459.

当外加应力达到 σf时, 实际上只有取向因子最大的那部分晶粒达到了对应于 σf的塑性变形量, 而其他取向的晶粒尚未达到. 采用 μ̅来计算滑移系上的分切应力, 得到的是各个晶粒滑移系上承受的分切应力的平均值, 与此平均分切应力对应的是多晶体材料的宏观塑性变形. 当外加应力等于 σf时, 滑移系上的平均分切应力为[29]:

τd=μ̅×σf

式中, τdσf下晶粒的滑移系上的平均分切应力, 可以认为是多晶体材料中第i个晶粒的滑移系上的分切应力 τdi的等效值. 根据式(8)可以计算得到具有不同晶粒尺寸的多晶体材料在其相应的断裂强度下的 τd, 并以此作为外加切应力计算晶粒尺寸对材料总塑性伸长率的影响.

2.2 以断裂强度为外加应力时, 单个晶粒的位移量与晶粒尺寸的关系

如图2所示, 在平均分切应力 τd的作用下, 位于晶粒中心处的位错源开动, 位错滑移到晶界, 在晶界前形成一列位错塞积群[16].

图2   单个晶粒中的位错塞积示意图

Fig.2   Schematic of dislocation pile-up group in a single grain (td—given applied stress)

根据前期的研究结果, 单个晶粒的位移量与d的关系可以表达为[16]:

D0f(d)=i=1Nd(0.5×d-xi)×b0.5×d

式中, D0f(d)为断裂强度下单个晶粒的位移量, b为位错的Burger矢量模, Nd为断裂强度下塞积群中的位错总数目, xi为第i个位错在塞积群中所处的位置, Nd和xi分别由下式计算得到[33]:

Nd=0.5×π(1-v)×τd×dG×b

xi=(G×b)29(1-v2)×τd2×d×(i-1)2

在文献[16]中, τd是一个给定的外加切应力. 实际上, 晶粒尺寸的变化不仅改变了晶粒中由于位错滑移所引起的位移量, 而且也影响了材料的强度, 因此, 单纯用一个给定的外加应力来比较材料的塑性变形是不够准确的. 因此, 本工作采用对应于晶粒尺寸的断裂强度作为外加应力, 通过计算平均取向因子得到作用在晶粒的滑移系上的平均分切应力, 分别计算不同尺寸晶粒的塑性变形. 以X80管线钢拉伸塑性变形为例, 分别选取G=77.5 GPa, v=0.273, b=0.248 nm[25], 计算得到不同尺寸的晶粒在相应的断裂强度下所能达到的塑性变形位移量, 如图3所示.

图3   相应断裂强度下单个晶粒的位移量 Df0 随d的变化曲线

Fig.3   Relationship between the displacement of a single grain Df0 and d under the corresponding fracture strength

对于给定的晶粒尺寸, 随着拉伸应力的增加, 位错塞积的数目增加, 必然导致单个晶粒塑性变形量的增加. 但是, 如图3中实线所示, 虽然 σf随着d的减小而增加, 然而在对应晶粒尺寸的断裂强度下, D0f仍然表现出随着d的减小而减小的规律. 这表明, 尽管d的减小会导致 σf的增加, 但是d对位错塞积数目和位错滑移距离的影响比外加应力的影响更为显著. 目前, 通过TMCP工艺可以将管线钢中的晶粒尺寸细化到10 mm以下, 最细可以获得1~2 mm的晶粒尺寸[34], 假设以管线钢的d分别为1和10 mm时的断裂强度(分别为1946和616 MPa)作为给定的拉伸外加应力计算 D0f与d的关系, 计算结果显示给定应力条件下的位移量与d的关系近似为直线, 如图3中虚线所示; 而在对应的断裂强度下, D0f与d之间的关系不再为直线关系, 如图3中实线所示. 这表明, 当给定的外加应力为一个不随d而改变的常数时, 单个晶粒的塑性变形位移量与d近似地表现为直线关系. 根据前述的分析, 当d>4~5 mm之后, 材料的 σf随d的变化不再显著, 在此晶粒尺寸范围, 在对应的 σf下, D0f与d的关系可以近似地表达为直线关系; 当d<4~5 mm之后, 材料的 σf与d表现出很强的依赖关系, 这时外加应力的增加导致 D0f的增加在材料的变形行为中起到了显著的作用. 外加应力的增加在一定程度上抵消了由于d减小使得 D0f降低的影响, 使得d对 D0f的影响不再具有直线关系, 如图3中实线所示.

2.3 以断裂强度为基础, Frank-Read源的可开动几率与晶粒尺寸的关系

根据相关研究[16,35], Frank-Read源(FR源)的可开动几率不仅受到作用在FR源上的切应力的影响, 还受到FR源长度与d的比值的影响. 在超细晶粒钢中, 对于一个确定长度的FR源, d越小, 晶界对FR源增殖位错的阻碍作用越显著, 如图4所示.

图4   晶界阻碍Frank-Read源(FR源)增殖产生位错的示意图

Fig.4   Schematic of grain boundary blocks the process of Frank-Read source (FR source) emits dislocations (Both da and db represent grain size and da&gt;db)

如图4所示, 对于一个确定长度的FR源, 当晶粒尺寸较大时(da), 晶界对FR源增殖位错的阻碍作用较弱, FR源可以放出一个完整的稳定位错圈; 当晶粒尺寸较小时(db), 由于晶界对FR源的阻碍作用显著增加, FR源无法放出一个稳定的位错圈, 使得FR源不能开动.

前期的工作[16]已经建立了多晶体材料中FR源的可开动几率与d和应力的关系. 本工作将 σf与d的关系考虑进去, 以相应的断裂强度作为外加应力, 多晶体材料中FR源的可开动几率与d的关系可以表达为:

Ff(d)=lnucminlnucmaxf(lFR)dlFR=Gb/τdd/3f(lFR)dlFR

式中, Ff(d)为外加应力等于断裂强度时FR源的可开动几率, f(lFR)为多晶体材料中的FR源长度分布的对数-正态分布函数, lFR为FR源的长度, lnucmin为外加应力等于断裂强度时多晶体材料中能够开动的最小FR源长度, lnucmax为能够开动的最大FR源长度.

同样, 以X80管线钢拉伸塑性变形为例, 考虑 σf与d的关系, 计算得到d对多晶体中Ff的影响关系曲线, 如图5中实线所示. 同样地, 分别以d为1和10 mm时管线钢的断裂强度为给定外加应力, 计算Ff与d的关系, 得到的结果如图5中虚线所示. 图中这3条曲线都显示多晶体中Ff随着d的减小而减小, 这是因为周围的晶界限制了FR源的开动, d越小, FR源距周围晶界的距离越近, 晶界对FR源开动的限制作用越大. 从图5可见, 外加应力对Ff影响不大, 这是因为大部分FR源的形核强度都较低, 塑性变形过程中作用在滑移系上的分切应力足以达到FR源的形核强度. 因此, FR源是否能够开动的关键影响因素是晶粒尺寸, 即FR源的长度与晶粒尺寸之比 (lFR/d), 而外加应力的增加对Ff的影响可以忽略.

图5   外加应力分别为616 MPa, 1946 MPa和相应的断裂 强度时, 多晶体中FR源的可开动几率Ff随d的变化关系曲线

Fig.5   Relationship between the probability of activated FR sources in polycrystal Ff and d under the applied stress of 616 MPa, 1946 MPa and the corresponding fracture strength

2.4 多晶体材料总塑性伸长率的计算模型

以作者前期提出的模型[16]为基础, 综合考虑本工作分析得到的断裂强度与晶粒尺寸的关系, 外加应力等于相应断裂强度时单个晶粒的位移量与晶粒尺寸的关系, 以及位错源可开动几率与晶粒尺寸的关系, 可以计算得到断裂时钢的塑性应变量与晶粒尺寸的关系, 如下式所示: εf(d)=1a×D0f(d)×n(d)×c̅×Ff(d)=

na×i=1Nd(0.5×d-xi)×b×c̅0.5×d×Gb/τdd/3f(lFR)dlFR

式中, εf(d)为断裂时钢的塑性应变量; a为钢在形变方向上的长度; n(d)为单位体积材料中参与塑性变形的晶粒数目, 它与d3成反比[16]; c̅为钢中所有晶粒的滑移方向与宏观变形方向夹角的余弦的平均值, 可根据文献[16]提供的方法计算得到.

将钢断裂时的塑性应变量由真应变转换成工程应变有[36]:

ef=exp(εf)-1

式中, ef为钢断裂时的工程应变量, 定义为总塑性伸长率; εf为钢断裂时的真应变.

2.5 模型预测结果和实验验证

将X80管线钢的材料参数[25]代入计算, 得到断裂时管线钢的 ef与d之间的关系, 如图6所示. 可见, 当d从10 mm减小到0.2 mm的过程中, ef随d的减小先增加后迅速减小, 并且 ef随晶粒细化由增加转变为减小的临界晶粒尺寸约为2.5 mm. 计算结果表明, 在考虑了d对sf的影响后, ef随d的变化关系与文献[16]所描述的趋势一致. 同样证明了将晶粒细化到一定的尺寸范围之后, 进一步减小晶粒尺寸虽然可以提高钢的强度和韧性, 但是会显著降低钢的塑性. 值得注意的是, 考虑了d对sf的影响后, 钢的 ef随晶粒细化由增加转变为降低的临界晶粒尺寸约为2.5 mm, 这比文献[16]计算得到的4.24 μm有所减小.

图6   钢的总塑性伸长率ef随d的变化关系曲线

Fig.6   Relationship between the total fracture elongation ef and d

图7是文献[5,6,9,37~42]报道的1种IF钢(无间隙原子钢)、5种低碳钢和3种TWIP钢(孪生诱导塑性钢)的塑性伸长率与d的关系. 可见, 这些实验数据虽然来自于不同的钢种, 这些超细晶粒钢的制备方法也各不相同, 但是其均匀伸长率 euef随d的变化关系表现出了类似的实验规律, 即当d>1~3 mm时, 钢的塑性随着d的减小而增加, 当d<1~3 mm时, 钢的塑性随着d的进一步减小迅速减小. 这些实验数据所表示出来的临界晶粒尺寸也相近, 即造成钢的塑性随d的减小由增加转变为迅速减小的临界晶粒尺寸大多集中在1~3 mm范围. 可见, 根据本工作提出的模型预测得到的结果与实验结果吻合较好, 本模型获得了实验数据的验证.

图7   超细晶粒钢的均匀伸长率eu或总伸长率ef随d的变化关系的实验数据[5,6,9,37~42]

Fig.7   Experimental data of uniform elongation eu or total elongation ef versus d in ultra-fine grain size steels[5,6,9,37~42] (Solid symbols represent eu and hollow symbols represent ef)

2.6 分析与讨论

由上述分析可知, 钢的 ef表现出随着d的减小先增加后迅速减小的规律. 因此, 为了使钢具有优良的强度和韧性的同时保持良好的塑性, 在对其进行微观结构设计时, 应保证晶粒的细化不小于临界晶粒尺寸. 以X80管线钢为例, 当d从10 mm减小到大约2.5 mm的过程中, 材料的 ef从约7.5%增加到约25%. 然而, 随着d进一步减小, 材料的 ef却表现出随着d的减少迅速减小的趋势. 当d从2.5 mm下降到0.5 mm的过程中, ef从大约25%减小到只有1%左右, 失去了管线钢在硬相贝氏体基体中引入软相铁素体来增强塑性的作用. 从理论上说, 当引入的铁素体晶粒尺寸控制在2.5 mm以上时, 可以保证管线钢在具有优良强度和韧性的同时, 获得良好的塑性.

根据上述分析可知, 这种由于d的减小导致的 ef的降低, 主要是由于材料中位错源的可开动几率大大降低, 导致材料内实际可以开动的位错源数目大幅度减少所致. 以X80管线钢为例, 当d从2.5 mm下降到0.5 mm过程中, Ff从2%下降到只有0.002%, 下降了3个数量级. 尽管多晶体材料内潜在位错源的总数是巨大的, 但在d小于临界晶粒尺寸后, 可开动的位错源比例迅速下降到一个极低的水平, 使得多晶体材料内实际能够开动的位错源数目严重不足, 这严重限制了多晶体材料的塑性变形, 宏观上使得多晶体材料的 ef随着d的减小迅速减小.

3 结论

本工作以对应断裂强度的总塑性伸长率作为衡量钢的塑性变形能力的参量, 根据钢的断裂强度与晶粒尺寸的关系, 建立了拉伸塑性变形时, 钢的塑性与晶粒尺寸关系的模型. 模型分析计算结果表明, 当晶粒尺寸较大时, 钢的塑性随着晶粒尺寸的减小首先表现出增强的趋势, 但是当晶粒尺寸减小到临界晶粒尺寸之后, 进一步减小晶粒尺寸将导致钢的塑性迅速降低. 根据本工作建立的模型, 计算得到X80管线钢的塑性随晶粒尺寸的减小开始迅速下降的临界晶粒尺寸约为2.5 mm, 与作者前期工作相比, 本工作预测得到的临界晶粒尺寸的数值与实验数据吻合得更好.


/