材料研究学报  2014 , 28 (6): 420-426 https://doi.org/10.11901/1005.3093.2013.896

SnO2纳米颗粒的制备及其发光性能*

王云, 王虹, 孙光爱, 陈喜平, 王仕发

中国工程物理研究院核物理与化学研究所 绵阳 621900

Prepared and Photoluminescence of SnO2 Nanoparticles

WANG Yun, WANG Hong, SUN Guangai, CHEN Xiping, WANG Shifa**

Institute of Nuclear Physics and Chemistry, China Academy of Engineering Physics, Mianyang, 621900

中图分类号:  TB321

通讯作者:  **To whom correspondence should be addressed: Tel: 15882178724, E-mail: wangshifa2006@yeah.net

收稿日期: 2013-11-25

修回日期:  2014-01-8

网络出版日期:  --

版权声明:  2014 《材料研究学报》编辑部 版权所有 2014, 材料研究学报编辑部。使用时,请务必标明出处。

基金资助:  * 国家自然科学基金11105128资助项目。

作者简介:

展开

摘要

用大分子网络凝胶法合成了氧化锡(SnO2)纳米颗粒。X射线衍射(XRD)结果表明, 合成的SnO2纳米颗粒具有四方金红石结构, 不含任何杂质相。扫描电镜(SEM)观察发现, 制得的SnO2纳米颗粒形貌规整、呈类菱形。荧光光谱结果表明, 在326 nm波长的光激发下, 其荧光光谱由四个主发射带组成, 其峰值分别位于379, 417, 450, 470 nm。用230 nm波长的光激发, 得到一个740 nm的荧光发射峰。基于实验结果, 探讨了纳米SnO2的形成机理和发光机制。

关键词: 无机非金属材料 ; 大分子网络凝胶法 ; SnO2 ; 纳米颗粒 ; 发光机制

Abstract

SnO2 nanoparticles were synthesized by a polyacrylamide gel technique. X-ray diffraction (XRD) analysis indicates that the as-synthesized SnO2 nanocrystallites consists merely of a rutile-type SnO2 with tetragonal crystallographic structure. Scanning electron microscope (SEM) observation shows that the prepared SnO2 nanoparticles are regularly rhombus in shape. The photo luminescent emission spectrum detected at λex= 326 nm showed four peaks located at 379, 417, 450 and 470 nm, the first having the strongest intensity. The emission spectra also show that an emission band around 740 nm was observed when the excitation wavelength is 230 nm. The forming and luminescence mechanisms of nano-SnO2 have been discussed based on the experimental results.

Keywords: inorganic non-metallic materials ; polyacrylamide gel technique ; SnO2 ; nanoparticles ; luminescence mechanisms

0

PDF (2930KB) 元数据 多维度评价 相关文章 收藏文章

本文引用格式 导出 EndNote Ris Bibtex

王云, 王虹, 孙光爱, 陈喜平, 王仕发. SnO2纳米颗粒的制备及其发光性能*[J]. , 2014, 28(6): 420-426 https://doi.org/10.11901/1005.3093.2013.896

WANG Yun, WANG Hong, SUN Guangai, CHEN Xiping, WANG Shifa. Prepared and Photoluminescence of SnO2 Nanoparticles[J]. 材料研究学报, 2014, 28(6): 420-426 https://doi.org/10.11901/1005.3093.2013.896

n-型宽带隙半导体SnO2(块材Eg=3.6 eV)是一种重要的多功能材料, 具有显著的气敏性、化学稳定性以及优异的发光性能, 广泛地用于气敏传感器 [1]、太阳能电池 [2]、发光器件 [3]以及场致发射显示器(FED) [4, 5]。SnO2纳米材料受量子尺寸效应和表面效应等的影响, 其光学性质的研究倍受关注。Gaidi等 [6]在石英基片上沉积SnO2薄膜, 观察到两个宽的荧光发射带, 第一个带对应于3.20, 3.01, 2.90 eV的主发射峰, 第二个带对应于2.48 eV的主发射峰。Her等 [7]用水热合成法制备了纳米结构的SnO2, 观察到445 nm的蓝色荧光发射。不同发射峰的产生, 认为与材料晶格缺陷有关。用不同方法制备的SnO2纳米材料, 其荧光发射峰有所不同。

材料的物化性质(如光学、磁学、电学等)与其表面形貌、维度、颗粒尺寸及表面缺陷等密切相关, 低维纳米材料的物化性能被期望得到提高或展现出全新的性质 [8, 9]。目前, 水热法、共沉淀法、溶胶–凝胶法等湿化学方法被广泛用来合成各种金属氧化物纳米粉体, 但是用大多数方法制备的纳米粉体粘连团聚且分布不均匀 [10]。大分子网络凝胶法又名聚丙烯酰胺凝胶法, 是一种能有效防止颗粒间团聚的方法, 其工艺简单、操作方便、可重复性好、易于生产, 而且制备出的颗粒纯度高、粒度均匀细小、颗粒形貌规整[8, 9, 11]。但由于金属离子对络合剂有一定的选择性, 制备出的却是多孔氧化物材料 [12, 13]。He等 [14]采用聚丙烯酰胺凝胶法制备出SnO2纳米颗粒, 但是并未对其反应机制和在不同温度下的发光进行系统分析。本文以柠檬酸作为络合剂用大分子网络凝胶法合成SnO2纳米颗粒, 分析其形成机理, 并研究其发光随温度的变化规律。

1 实验方法

将适量的SnCl45H2O, 缓慢溶解在15 mL去离子水中, 待溶液完全澄清后加入与金属阳离子摩尔比为1.5∶1的柠檬酸(作为络合剂), 使之与阳离子发生络合反应。待柠檬酸完全溶解后, 加入20 g葡萄糖, 然后按与阳离子为9∶1的摩尔比例加入丙烯酰胺单体, 待溶液澄清后迅速加入与丙烯酰胺摩尔比为5: 1的双丙烯酰胺。上述每个步骤均伴有磁力搅拌, 以使添加物充分溶解。待溶液混合均匀、澄清后, 用氨水调节其pH值约为3。最后将所得的混合溶液加热至80-90℃使之发生热聚合反应, 直至溶液缓慢成胶转变为白色凝胶体。将得到的白色凝胶置入120℃恒温干燥箱中干燥24 h, 形成干凝胶。将干凝胶研成细粉后置入箱式电阻炉中, 在不同温度下烧结5 h。其制备流程图如图1所示。

图1   SnO2纳米颗粒的制备流程

Fig.1   Flow-chart for preparation of SnO2 nanoparticles via polyacrylamide gel route

用DX-2700型X射线衍射仪(XRD) 分析烧结产物的物相; 用扫描电子显微镜(SEM)观察样品颗粒的形貌; 用RF-5301PC型荧光分光光度计测定样品的荧光光谱, 荧光分光光度计的泵浦源为150 W的氙灯。

2 结果与讨论

2.1 反应机制

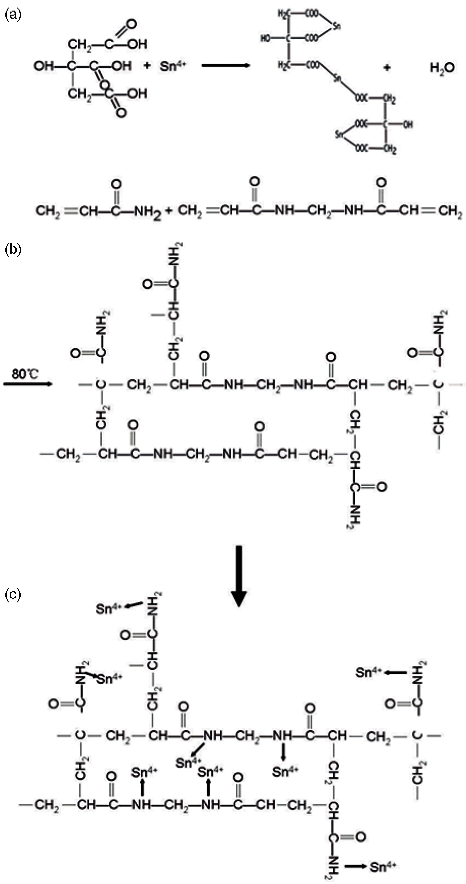
在整个聚丙烯酰胺凝胶过程中有三个主要的反应: 络合反应、交联反应、聚合反应。在前驱体溶液中加入柠檬酸作为络合剂, 它与Sn4+离子络合形成柠檬酸锡, 如图2a所示。柠檬酸是一种羟基、羧基型络合剂, 当其与Sn4+离子结合时主要是羧基与其络合, 一个Sn4+离子需要两个羧基配位 [15]。在毒性试验中发现丙烯酰胺对神经有毒害作用, 所以需要发展少毒或无毒的单体来进行实验 [16]。在实验中只使用丙烯酰胺单体的聚合反应需要花费很长的时间, 大约1-3 h。大量的研究表明, 聚丙烯酰胺是少毒的试剂[17]。而在80 ℃的温度下触发, 丙烯酰胺与亚甲基双丙烯酰胺迅速地发生交联反应, 形成网状的聚丙烯酰胺凝胶网络(图2b) [18], 进而减轻对人体的伤害。形成的聚丙烯酰胺凝胶网络很容易将柠檬酸锡的水溶液进行限制(图2c), 在烧结过程中易于得到颗粒细小的目标产物。为了防止在干燥过程中凝胶剧烈的塌缩, 将20 g葡萄糖添加到前驱体溶液中。

图2   SnO2纳米颗粒的形成机理

Fig.2   Formation mechanism of SnO2 nanoparticle (a) complexation reaction, (b) cross-linking reaction (c) polymerization reaction

2.2 SnO2纳米颗粒的XRD图谱

图3给出了SnO2干凝胶在不同温度煅烧所得产物的XRD图谱。结果表明, 在300 ℃烧结所得产物为非晶态, 尚未有SnO2峰出现, 如图3a所示。当烧结温度升至400 ℃时, 四方SnO2 (JCPDS No. 21–1250)相已完全形成。整个图谱中, 没有出现SnO等其它杂质相的衍射峰。从图3c和d可见, 当温度进一步提高时, 得到衍射峰更尖锐的SnO2。使用Jade 5.0软件分析得到XRD图谱的峰位等信息, 如表1所示。从表1可见, 随着样品温度的升高其衍射线的半高宽逐渐减小。样品的平均晶粒尺寸(D)可通过Debye Scherrer公式近似求得,

D=kλ(β-β0)cosθ

式中k为晶粒的形状因子, 取0.9; ββ0分别为实验样品和标准Si样品衍射峰的半高宽。使用SnO2的(110)衍射峰的半高宽估算出400, 500, 600℃样品的平均晶粒尺寸, 分别约为22, 34, 44 nm。

图3   SnO2干凝胶在不同温度下烧结所得产物的XRD谱

Fig.3   XRD spectra of the samples obtained by sintering the SnO2 xerogel powders at (a) 300℃, (b) 400℃, (c) 500℃, (d) 600℃, respectively

表1   SnO2干凝胶烧结在400, 500, 600℃得到的样品的XRD测试结果

Table 1   The XRD results of SnO2 xerogel sintered at 400, 500 and 600℃

Samples(110)(101)
2θ/(o)FWHMd12θ/(o)FWHMd2
A26.7390.3753.331234.0380.3842.6317
B26.5390.2393.355833.820.2632.6482
C26.6400.1823.343433.920.1912.6406

新窗口打开

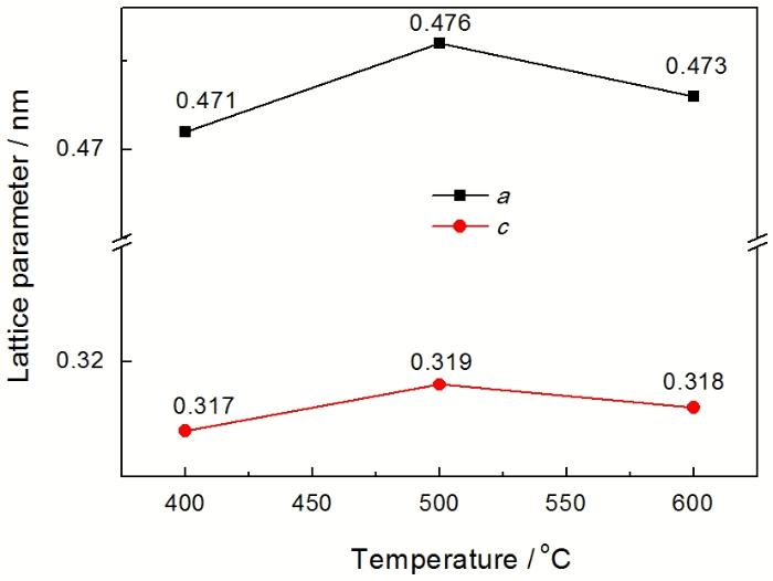
根据400-600℃时的XRD衍射数据, 使用关系式

1d2=(h2+k2)a2+l2c2

可求得四方SnO2的点阵常数, 其结果在图4中给出。晶粒尺寸的数据和图4表明, 随着温度的升高样品的晶粒尺寸不断增加。在本实验中, 晶格常数随着晶粒尺寸呈先增大后减小的趋势。从XRD图谱也可看出, 在400 ℃烧结的样品有些SnO2的衍射峰峰未完全形成, 如(111)和(400)衍射峰, 到500℃时SnO2已经完全形成, 故可推测是相变等原因导致了晶格常数增大。随着温度的进一步升高样品表面能和表面张力的作用引起晶格膨胀, 导致晶格常数随着晶粒尺寸增大而减小 [19]

图4   SnO2的晶格常数与烧结温度的关系

Fig.4   Lattice parameter of SnO2 samples as a function of sintering temperature

可使用Fullproff和GSAS等软件对X射线衍射数据进行结构精修。在本实验中, 在600℃烧结所得样品的XRD衍射峰强度相对较强, 使用GSAS软件对其结构精修后得到图5所示的结果。其晶格常数为a = 4.74078, c =3.1888 nm, 比用上述公式计算出的结果略大。插图是经过精修后所得的四方SnO2的晶体结构图, 灰球代表锡原子, 红球代表氧原子。

图5   在600℃烧结得到的SnO2的XRD谱图精修结果, 插图为SnO2的晶体结构图

Fig.5   Observed, calculated, and difference plots from the structural refinement of SnO2

2.3 SnO2纳米颗粒的SEM形貌

图6给出了SnO2纳米颗粒在不同放大倍数下所得的SEM照片, 可以看出, 颗粒近似呈菱形, 颗粒间无明显的粘连现象。由图6b可见, 样品的颗粒尺寸分布范围较宽, 且平均颗粒尺寸至少在100 nm以上, 与XRD图谱给出的结果相差很大。其原因是, 根据XRD图谱计算出的是样品的晶粒尺寸, 而SEM观察到的可能是若干晶粒组成的颗粒尺寸[20]。与传统的溶胶−凝胶法相比, 实验中采用了大分子网络凝胶法。由于丙烯酰胺聚合形成的网络结构对溶液加以限制, 在一定程度上阻止了粒子在溶液中的大量移动和聚集, 因此更利于制备出分散性好的SnO2纳米颗粒。同时, 在前驱体溶液中添加了20 g的葡萄糖, 在凝胶体干燥过程中, 由于葡萄糖的碳化温度只有105 ℃, 易先碳化而形成碳质骨架, 进而抑制了凝胶体的塌缩 [10]。这有利于得到高质量SnO2纳米粉体。

图6   在400℃烧结所制得的SnO2样品的SEM像

Fig.6   SEM images of different magnifications of SnO2 xerogel powders sintered at 400℃

图7给出了SnO2干凝胶粉末在300 ℃烧结所得产物的红外光谱图。从图7可见, 样品的图谱在3450和1636 cm-1处出现了两个振动峰, 可分别归因于O-H伸缩振动峰和H-O-H弯曲振动峰, 可能是样品表面吸附了水分子或-OH基团所致 [10]。2930和2847 cm-1两个带归因于C-H伸缩和弯曲振动 [21]。从图7还可见, 在1400 cm-1处出现一振动峰, 可能是丙烯酰胺和亚甲基双丙烯酰胺反应后生成的聚丙烯酰胺中的NH伸缩振动所致。在1085cm-1处出现了C-O-C对称伸缩振动吸收峰 [10]。尽管在300 ℃烧结时SnO2还处于非晶态, 但在659和550 cm-1中出现了明显的Sn-O伸缩振动模式如: Sn-O-Sn、Sn-OH等, 这一结果与Farrukh等 [21]所得的结果基本一致。

图7   SnO2干凝胶粉末在300 ℃烧结所得产物的红外光谱图

Fig.7   FTIR spectra of the products obtained by sintering the SnO2 xerogel powders at 300 ℃

2.4 SnO2纳米颗粒的荧光光谱分析

图8a是干凝胶在不同温度下烧结所得纯相SnO2的激发光谱图(λem = 379 nm), 可见都有326 nm和360 nm的激发峰出现。随着温度的升高, 激发峰稍微有些偏移。当用326 nm和360 nm波长的光激发时都得到379 nm的发射峰, 但用326 nm波长激发所得到的谱峰信息更加详尽。图8b是干凝胶在不同温度下烧结时所得纯相SnO2在326 nm波长激发下所得的PL光谱图, 其荧光光谱主要集中在360-600 nm, 有379, 417, 450, 470 nm的主发射带。其中379 nm的发射带接近于导带上的缺陷引起的3.2 eV的荧光发射 [6]。而Kar等 [22]将其归因于导带到价带之间的电子跃迁。417 nm和450 nm分别接近于3.01eV 和2.90 eV的发射带归因于受主能带和施主受主对之间的转变所引起的荧光发射[6]。而丁才蓉等[23]将接近于3.0 eV的发光归因于表面悬键的发光; Her等 [7]则将接近于450nm的荧光发射归结为与氧相关的缺陷所引起。470 nm的发光接近于氧空位引起的2.48 eV蓝色荧光发射 [6, 24-26]。随着温度的不同发光峰位基本没有变化, 但其发光强度明显变化。尤其是在300℃烧结后得到的产物的发射峰强度最强, 可能与样品本身含有的-OH基团所产生的缺陷有关 [27]

图8   在不同温度烧结的SnO2干凝胶的激发谱(λem = 379 nm)和发射谱

Fig.8   Excitation spectra (a) and emission spectra (b) of the xerogel powders calcined at different temperatures

图9给出了室温下干凝胶在不同烧结温度下所得SnO2的激发光谱和发射光谱图。从图9可见, 随着温度的升高荧光峰位几乎没有变化。在其激发谱上出现了两个较为尖锐的激发峰: 230 nm和326 nm。当用326 nm激发时所得到的荧光光谱如图8所示, 740 nm处的荧光峰几乎可以忽略。但用230 nm波长的光去激发时, 得到了740 nm处的荧光发射峰。在300 ℃时He等[14]和Sinha [ 28]等也得到了类似的荧光发射峰, 但随着温度的提高该荧光发射峰消失。而在本实验中, 虽然随着温度的提高荧光发射峰的强度发生了明显的改变, 但始终没有消失, 说明它是SnO2的荧光发射峰, 被归结为纳米颗粒边界的表面缺陷引起的发光 [14]

图9   在不同温度下烧结的干凝胶激发谱(λem = 740 nm)和发射谱(λex = 230nm)

Fig.9   Excitation spectra (a) and emission spectra (b) of the xerogel powders calcined at different temperatures

图10给出了干凝胶在不同煅烧温度下发射光强(λem=740 nm)的变化规律。随着烧结温度的提高样品的尺寸增大, 荧光强度随之减弱 [21, 29, 30]。但是, 图10表明, 当温度≥300 ℃时, 其荧光强度最强。而在400 ℃出现一个低谷, 随着温度的进一步提高, 在500℃还出现一个峰值, 再提高温度其光强不再提高。SnO2发光强度的变化不但取决于氧空穴(F+色心)数量的变化, 还取决于晶体场(表面缺陷)对氧空穴中电子跃迁的影响。当SnO2还未形成时干凝胶处于非晶态, 样品中存在如-OH等基团(图7), 使发光强度增强。这个结果与Sun等[27]在氧化铝中观察到的是一致的。当SnO2刚形成时(400 ℃), 晶体场对氧空穴中电子跃迁的影响和氧空穴数量变化的相互作用使发光强度相对较弱。SnO2本身的缺陷导致晶体场发生变化, 影响了电子跃迁, 使发光强度又出现一个峰值。温度再进一步升高(≥600 ℃), 氧气逐渐扩散完全, 原有的氧空位被复合, F+色心湮灭, 导致荧光强度降低。

图10   在不同温度烧结的干凝胶粉末荧光强度(λem=740 nm)的变化规律

Fig.10   Relationship between luminescence intensity at 740 nm and calcined temperatures of the xerogel powders

3 结论

用大分子网络凝胶法在400℃能获得纯四方相SnO2, SnO2纳米颗粒几乎无粘连团聚, 分散性较好。在326 nm波长的光激发下, 其荧光光谱在360-600 nm由四个主发射带组成, 其峰值分别位于379, 417, 450和470 nm。使用230 nm波长的光激发, 得到740 nm的荧光发射带。随着煅烧温度的不同, 其荧光光谱的强度也随之变化。

2013年11月25日收到初稿; 2013年1月8日收到修改稿。


/