材料研究学报  2014 , 28 (12): 955-960 https://doi.org/10.11901/1005.3093.2014.361

羰基铁粉的铁含量和粒径对磁流变液剪切屈服强度的影响

姚军1, 张进秋1, 彭志召1, 张光磊2

1. 装甲兵工程学院装备试用与培训大队 北京 100072
2. 装甲兵工程学院政治部 北京 100072

Influence of Fe Content and Particle Size of Carbonyl Iron Powder on Shear Yield Stress of Magnetorheological Fluids

YAO Jun1*, ZHANG Jinqiu1, PENG Zhizhao1, ZHANG Guanglei2

1. Brigade of Armament Trial and Training, Academy of Armored Force Engineering, Beijing 100072
2. Political Headquarters, Academy of Armored Force Engineering, Beijing 100072

中图分类号:  TB381, TB34

通讯作者:  *To whom correspondence should be addressed: (010)66719335, E-mail: 2013yaojun@sina.com

收稿日期: 2014-07-16

修回日期:  2014-09-28

网络出版日期:  2014-12-25

版权声明:  2014 《材料研究学报》编辑部 版权所有 2014, 材料研究学报编辑部。使用时,请务必标明出处。

作者简介:

展开

摘要

研究了羰基铁粉中Fe含量和颗粒粒径对磁流变液的剪切屈服强度影响。结果表明, 不同载液磁流变液的最大剪切屈服强度随着Fe含量的增大和软磁性颗粒粒径的增大而提高。推导了铁含量和粒径两个影响因素的比例关系, 得到了颗粒粒径和Fe含量相互的权重关系, 并进行了验证, 发现Fe含量对磁流变液的剪切屈服强度的影响比颗粒粒径的影响更大。最后, 分析了实验误差, 证明实验结论是有效的。

关键词: 金属材料 ; 磁流变液 ; Fe含量 ; 颗粒粒径 ; 剪切屈服强度

Abstract

The influence of Fe content and particle size of carbonyl iron powder on shear yield stress of magnetorheological fluids were investigated. The results show that the max shear yield stress of magnetorheological fluids with different carrier oil increases with the increasing Fe content, as well as the increasing particle size respectively. A formula is deduced to assess the weight factor related with the effect of Fe content and particle size on the performance of MRF, which was then optimal through experimental approach. It follows that the Fe content of carbonyl iron powder weighs higher than the particle size in terms of their contribution to the enhancement of shear yield stress. In the end, the possible errors have been analyzed, so that to prove the validity of experiments carried out above.

Keywords: metallic materials ; magnetorheological fluids ; Fe content ; particle size ; shear yield stress

0

PDF (1777KB) 元数据 多维度评价 相关文章 收藏文章

本文引用格式 导出 EndNote Ris Bibtex

姚军, 张进秋, 彭志召, 张光磊. 羰基铁粉的铁含量和粒径对磁流变液剪切屈服强度的影响[J]. , 2014, 28(12): 955-960 https://doi.org/10.11901/1005.3093.2014.361

YAO Jun, ZHANG Jinqiu, PENG Zhizhao, ZHANG Guanglei. Influence of Fe Content and Particle Size of Carbonyl Iron Powder on Shear Yield Stress of Magnetorheological Fluids[J]. 材料研究学报, 2014, 28(12): 955-960 https://doi.org/10.11901/1005.3093.2014.361

磁流变液(magnetorheological fluids, MRF)主要由高导磁低磁滞的软磁性颗粒、载液和微量添加剂组成。它具有可控的流变性质, 在外加磁场下能在毫秒级内连续改变自身表观粘度, 从流体可逆转变为类固体物质[1]。磁流变液的性能主要包括剪切屈服强度、零场粘度、沉降稳定性和再分散性能, 其中剪切屈服强度和软磁性颗粒的磁学性质以及颗粒粒径密切相关。虽然磁流变液在大量领域得到了相关应用, 但是其剪切屈服强度还是不能满足一些特定领域的需求, 例如建筑抗震相关领域。提高剪切屈服强度的传统方法是增大载液中的磁性颗粒的含量, 但是影响磁流变液其它方面的性能, 不是解决的有效途径。设计更大型的磁流变阻尼器也可提高磁流变液的剪切屈服强度, 但是使阻尼器的尺寸越来越大。

居本祥[2]等研究了羰基铁粉中C含量对磁流变弹性体流变性能的影响, Rafael F Ierardi[3]等研究了不同粒径的羰基铁粉混合对磁流变液剪切屈服强度和零场粘度的影响, 龚志伟[4]等研究了单一粒径和两种粒径对磁流变液性能的影响, 爨红亮[5]等研究了纳米级的Fe3O4对磁流变液剪切屈服强度的影响。这些研究都说明, 磁流变液中磁性颗粒的粒径极大地影响磁流变液的剪切屈服强度。此外, 使用颗粒包覆高分子的材料的研究[6-9]发现, 磁性颗粒包覆后磁流变液的剪切屈服都有所下降, 因为Fe含量的减小使磁流变液的剪切屈服强度下降。Ginder等用有限元方法分析了磁流变液剪切屈服强度的影响因素, 并推导了计算公式, 但是未考虑实际羰基铁粉中Fe含量的影响。本文采用实验方法对这一问题进行分析。

表1   实验材料及颗粒质量分数

Table 1   Experiment material and particle weight concentration

NumberCarbon ironCarrier oilWeight percentage of magnetism particles in MRF
198.34%FeSilicone oil 201-5070%
299.58%FeSilicone oil 201-100075%
3Special synthesis mineral oil80%

新窗口打开

1 实验方法

1.1 磁流变液的配制

为了不额外引入多余变量, 众多的磁流变液配置工艺, 不考虑表面改性、超声处理等工艺步骤, 只保留配置磁流变液的最低工艺要求。按照相应的羰基铁粉质量分数称取适量羰基铁粉和50 g载液放入烧杯中搅拌均匀, 然后倒入高速胶体磨进行强力机械混合1.5 h, 加入1 g十二烷基苯磺酸钠, 机械混合1.5 h后得到磁流变液。

表2   实验原料及颗粒质量分数

Table 2   Experiment material and particle weight concentration

NumberCarbon ironCarrier oilWeight percentage of magnetism particlees in MRF
12.50(99.58%)Silicone oil 201-5070%
26.20(99.5%)Silicone oil 201-100075%
3Special synthesis mineral oil80%

新窗口打开

1.2 使用不同Fe含量的羰基铁粉制备磁流变液

为了研究羰基铁粉中颗粒粒径和Fe含量对磁流变液剪切屈服强度的影响, 本文采用控制单一变量的实验方法, 即研究其中一个因素对磁流变液剪切屈服强度影响的时候, 保持另一个因素不变, 然后采用相同的方法再探究另一个因素的影响, 然后再综合分析两个因素对磁流变液剪切屈服强度的共同影响。

为了研究Fe含量对磁流变液剪切屈服强度的影响, 采用多种载液以消除单一载液造成的偶然误差, 并统一其它实验参数。实验材料选取载液为硅油H201-50, H201-1000(沪试)和特种合成矿物油, 软磁性颗粒为相同粒径2.5 μm的羰基铁粉, Fe含量分别为98.34%和99.58%。同时考虑到磁流变液添加剂的重要作用, 又不增加实验变量, 实验仅包括一种添加剂十二烷基苯磺酸钠, 如表1所示。

命名规则:

1-MRF-abc: a表示羰基铁粉种类, b表示载液种类, c表示质量分数种类。例如, 1-MRF-111表示: 98.34%Fe含量的羰基铁粉+硅油201-50+羰基铁粉质量分数70%; 1-MRF-233表示: 99.58%Fe含量的羰基铁粉+特种合成矿物油+羰基铁粉质量分数80%。

1.3 使用不同粒径的羰基铁粉制备磁流变液

为了研究软磁性颗粒的粒径对磁流变液剪切屈服强度的影响, 选取合适的软磁性颗粒进行对照。为了排除Fe含量的影响, 仅考虑增大粒径。基于此, 使用的软磁性颗粒包括: 2.50 µm, Fe含量99.58%羰基铁粉; 6.20 µm, Fe含量99.5%羰基铁粉。相同质量分数的羰基铁粉, Fe元素的质量基本相同。其实验原料及质量分数, 如表2所示。

命名规则:

2-MRF-abc: a表示羰基铁粉种类, b表示载液种类, c表示质量分数种类。例如, 2-MRF-111表示: 平均粒径2.50的羰基铁粉+硅油201-50+羰基铁粉质量分数70%; 2-MRF-233表示: 平均粒径6.20的羰基铁粉+特种合成矿物油+羰基铁粉质量分数80%。

1.4 磁流变液剪切屈服强度的测量

使用实验室自制的磁流变液剪切屈服强度测试仪, 分别对2种不同Fe含量的羰基铁粉, 3种载液和3种不同羰基铁粉质量分数所配制的共18种磁流变液进行测试。为了避免引入多余变量, 只对羰基铁粉中Fe含量进行研究, 因而对比组的载液和羰基铁粉质量分数都相同, 故选取其中具有代表性的3组磁流变液进行观察。为了避免引入多余变量, 载液和磁流变液中的羰基铁粉质量分数一致, 选取3组具有代表性的磁流变液进行观察。

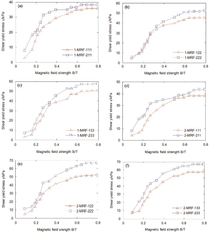
图1   不同载液羰基铁粉质量分数不同的磁流变液剪切屈服强度

Fig.1   Shear yield stress of MRF which has different carrier oil and different particle concentration of Carbonyl Iron Powder (a) carrier oil is silicon oil H201-50 and the particle concentration of Carbonyl Iron Powder is 70%, (b) carrier oil is silicon oil H201-1000 and the particle concentration of Carbonyl Iron Powder is 75%, (c) carrier oil is special synthetic mineral oil and the particle concentration of Carbonyl Iron Powder is 80%, (d) carrier oil is silicon oil H201-50 and the particle concentration of Carbonyl Iron Powder is 70%, (e) carrier oil is silicon oil H201-1000 and the particle concentration of Carbonyl Iron Powder is 75%, (f) carrier oil is special synthetic mineral oil and the particle concentration of Carbonyl Iron Powder is 80%

2 结果和讨论

2.1 羰基铁粉中Fe含量对磁流变液剪切屈服强度的影响

图1a, b, c表明, 随着羰基铁粉中Fe含量的增大磁流变液的剪切屈服强度提高。

表3给出了所配制的磁流变液在790 mT时的剪切屈服强度及磁性颗粒Fe含量增加时磁流变液剪切屈服强度的增长率。第一类的羰基铁粉Fe含量为98.34%, 第二类的羰基铁粉Fe含量为99.58%, 对比发现, 不同载液、不同的羰基铁粉质量分数组和配制的多种磁流变液中, 剪切屈服强度都随Fe含量的增加而增大。最右侧一列为Fe含量不同时各种磁流变液的最大剪切屈服强度增长率, 更进一步说明了磁流变液的剪切屈服强度随羰基铁粉中Fe含量的增加而增大。

表3   同一粒径不同Fe含量的磁流变液的最大剪切屈服强度(790 mT)

Table 3   Max shear yield stress of MRF of which the particle size is the same while Ferrum content is different

Number (class 1)Shear yield stress( kPa) Number (class 2)Shear yield stress( kPa) Increasing rate (%)
1-MRF-11136.261-MRF-21137.262.76
1-MRF-11238.681-MRF-21242.5610.03
1-MRF-11348.341-MRF-21353.1810.01
1-MRF-12143.511-MRF-22146.897.82
1-MRF-12249.861-MRF-22253.186.54
1-MRF-12355.601-MRF-22358.014.33
1-MRF-13139.681-MRF-23141.093.52
1-MRF-13242.511-MRF-23247.1210.84
1-MRF-13350.761-MRF-23357.5613.40

新窗口打开

表4   含不同粒径磁性颗粒的磁流变液最大剪切屈服强度(790 mT)

Table 4   Max shear yield stress of MRF of which the magnetic particle size is different

Number(class 3)Shear yield stress( kPa) Number(class 4)Shear yield stress( kPa) Increasing rate(%)
2-MRF-11137.262-MRF-21142.9715.32
2-MRF-11242.562-MRF-21250.1317.79
2-MRF-11353.182-MRF-21357.307.75
2-MRF-12146.892-MRF-22162.0732.37
2-MRF-12253.182-MRF-22266.8525.71
2-MRF-12358.012-MRF-22371.6223.46
2-MRF-13141.092-MRF-23147.4515.48
2-MRF-13247.122-MRF-23256.8820.71
2-MRF-13357.562-MRF-23365.6814.11

新窗口打开

Ginder等关于磁流变液中颗粒达到磁饱和时所做的磁流变液剪切屈服强度理论计算公式为

τy=455/2ζ(3)ϕμ0Ms2

其中 ϕ是颗粒的体积含量, μ0是真空磁导率, Ms是颗粒的饱和磁化强度, 广义Riemann函数 ζ(3)=1.202。

这表明, 磁流变液的剪切屈服强度受颗粒的体积含量(质量分数)和颗粒自身的饱和磁化强度影响。羰基铁粉中Fe含量的不同, Ms就不同, 因而 τy就不同。因此为了提高剪切屈服强度, 除了提高磁流变液中磁性颗粒的体积含量外, 还需提高磁流变液中羰基铁粉的Fe含量。

2.2 羰基铁粉的粒径对磁流变液剪切屈服强度的影响

图1d, e, f表明, 羰基铁粉的粒径增大时, 磁流变液的剪切屈服强度增大。

表4给出了所配制的磁流变液在790 mT时的剪切屈服强度及磁性颗粒粒径增大时磁流变液剪切屈服强度的增长率。第三类磁流变液的羰基铁粉粒径为2.50 µm, 第四类磁流变液的羰基铁粉粒径为6.20 µm, 对比发现, 在不同载液、不同的羰基铁粉质量分数组和配制的多种磁流变液中, 随着羰基铁粉的粒径的增大磁流变液的剪切屈服强度提高。最右侧一列为磁性颗粒粒径不同时各种磁流变液的最大剪切屈服强度增长率, 更进一步说明了磁流变液的剪切屈服强度随羰基铁粉粒径的增大而增大。

从(1)式可见, 剪切屈服强度的提高主要源于 Ms的提高。根据磁偶极子理论, 偶极子间的吸引力增强则成链的力就大, 因而剪切屈服强度提高。本实验的两种软磁性颗粒Fe的含量基本相同, 也就是 Ms基本相同, 因此剪切屈服强度提高的主要原因是粒径的增大。

3 Fe含量和粒径对剪切屈服强度影响的比较

实验结果表明, 磁流变液中软磁性颗粒的Fe含量和粒径都对磁流变液的剪切屈服强度有影响。根据不同的理论, 这两个因素影响的权重也不同。Ginder等应用有限元法推导的公式时, 甚至没考虑粒径的影响。本文根据实验数据定量推导出这两个影响因素的权重。

图2   不同载液不同羰基铁粉质量分数的磁流变液剪切屈服强度的验证

Fig.2   Validation of shear yield stress of MRF which has different carrier oil and different particle concentration of Carbonyl Iron Powder (a) carrier oil is special synthetic mineral oil and the particle concentration of Carbonyl Iron Powder is 70%, (b) carrier oil is special synthetic mineral oil and the particle concentration of Carbonyl Iron Powder is 75%

设剪切屈服强度 τy, 外加磁场强度 H, 颗粒粒径 p和颗粒饱和磁化强度 Ms的关系为

τykHapmMns

式中 k为常系数, 须根据大量实验确定, a已知。

如果 p已知, 则可以列出方程

τy1kHapmMs1n

τy2kHapmMs2n

τy1=0.9286τy2Ms1=0.9157Ms2代入(3)(4)中得到

0.9286=0.9157n

于是得 n=0.8。

如果 Ms已知, 则可列出方程

τy3kHap3mMsn

τy4kHap4mMsn

τy1=0.8390τy2p3=0.40p4代入(6)和(7)中, 得到

0.8390=0.40m

于是得 m=0.2。

由此可得剪切屈服强度 τy、颗粒粒径 p和颗粒饱和磁化强度的 Ms数值关系为

τykHap0.2Ms0.8

此比例关系表明, 颗粒粒径对剪切屈服强度的影响略小于Fe含量对剪切屈服强度的影响。由于计算的是在磁饱和状态下的剪切屈服强度, 没有考虑外加磁场的影响, 因此这一比例关系只反映了粒径 p和Fe含量的影响, 也就是 Ms的相互权重关系, 并不等于对磁流变液剪切屈服强度的影响数值。

4 实验验证

为了验证上述比例关系式的有效性, 原料中选用羰基铁粉为5.70 µm, Fe含量为99.47%, 载液为特种合成矿物油, 磁流变液中软磁性颗粒质量分数分别为70%和75%两种, 配制方法不变, 编号为3-MRF-1和3-MRF-2。对所得到的样品进行测试, 并和第二阶段的样品2-MRF-131和2-MRF-132进行对比, 结果如图2所示。

所配制的磁流变液样品3-MRF-1、3-MRF-2和之前的样品2-MRF-131、2-MRF-132的基本参数, 如表5所示。

根据两组样品的最大剪切屈服强度得到剪切屈服强度增长率, 分别为17.13%和15.38%。两组样品的羰基铁粉相同, 将这两种羰基铁粉的基本参数代入(9)式得到剪切屈服强度增长率理论计算值为15.15%, 基本符合要求, 说明(9)式在一定范围内成立。

表5   样品的基本参数

Table 5   Basic characteristics of MRF samples

NumberMax shear yield stress τy/kPa Particle size p/µm Saturation magnetization Ms/(emu/g)
2-MRF-13141.092.50262.67
3-MRF-148.135.70249.07
2-MRF-13249.662.50262.67
3-MRF-257.305.70249.07

新窗口打开

5 结论

1. 磁流变液的剪切屈服强度受磁流变液中磁性颗粒的含量影响, 还受羰基铁粉本身性质的影响, 羰基铁粉本身的粒径和Fe含量都影响磁流变液的剪切屈服强度, 提高Fe含量或增大粒径都能提高磁流变液的剪切屈服强度。

2. 本文得到了颗粒粒径和Fe含量两者的相互权重关系, 软磁性颗粒Fe含量对磁流变液剪切屈服强度的影响较粒径的影响更大。

3. 验证实验证明了结论的有效性, 但是粒径的增大导致磁流变液的粘度增大, 沉降稳定性变差, 故粒径必然有一个合适的范围。同时, Fe含量过高使磁流变液的成本提高。


/