结构化催化剂在空间上呈有序排布, 与传统颗粒催化剂相比, 具有几何表面积大、催化剂与产物易于分离、机械性能好以及重量轻等优点. 结构化催化剂具备开放孔结构, 可在反应中有效缩短扩散路径、提高传递性能、减小流动阻力. 因此, 能够结合浆态床和固定床的优点, 实现催化活性表面和催化反应器2个尺度的过程强化[1 ] . 近年来, 为满足环保和可持续发展的要求, 化学工业正朝向安全、清洁、高效能的生产方式转变, 而结构化催化剂的研究成为工业催化领域的一个热点[2 ] .
镍、钴催化剂相对于贵金属催化剂具有成本低、储量大及活性高等优点, 被广泛应用于加氢-脱氢、加氢脱卤、重排和异构化等反应中, 是化工生产中常用的催化剂. 钴催化剂因其选择性高, 在氰基加氢和水解制氢方面备受青睐[3 -14 ] . 相比于浆态粉末钴催化剂, 钴基结构化催化剂不仅活性高、体积小、而且易于分离和回收, 在硼氢化物水解的反应中, 可实现可控制氢, 有利于推动水解制氢的工业化应用. 但目前常用的钴基结构化催化剂是采用化学镀的方法将Co-B或Co-P镀在泡沫Ni或泡沫Cu的表层制备而成的[13 ,15 ,16 ] , 不仅工艺复杂, 成本高, 而且制备过程中容易产生污染. Raney Co作为一种高效的催化NaBH4 水解制氢的催化剂, 其催化性能优于一般的晶态Co粉末[6 ] , 但对其催化活性中心的研究, 目前尚无确切的报道. 参考Raney金属中由于Al的掺杂, 会引起金属相的晶格畸变, 使缺陷增加, 表面能增大, 从而成为活性中心的机理[17 ,18 ] , 可以推测, 将Al掺入Co催化剂的晶格中, 有可能会提高其催化性能. 本工作以SiC泡沫为载体, 采用简便的涂覆法在SiC表面负载含Al的钴基微粉涂层, 再经H2 还原, 从而制备得到钴基SiC结构化催化剂, 并将其应用于NaBH4 溶液的水解制氢反应. 通过系统研究不同还原温度对结构化催化剂的微观结构及催化性能的影响, 探讨了钴基结构化催化剂的催化机理和最佳的制备条件.
1 实验方法
1.1 钴基SiC结构化催化剂的制备
实验用的试剂Al(NO3 )3 , Co(NO3 )2 , C2 H5 OH, CH3 COOH, Si(OC2 H5 )4 和NaBH4 均为分析纯, 氨酚醛树脂残炭率约为39%. 泡沫SiC依照文献[19]中所述方法进行制备, 体积分数为25%, 平均孔径尺寸为0.5 mm.
将氨酚醛树脂, C2 H5 OH, CH3 COOH, Co(NO3 )2 和Al(NO3 )3 按质量比18∶100∶20∶8∶1配置成溶液, 搅拌24 h后, 将溶液转移到带有聚四氟乙烯内衬的不锈钢反应釜中, 在160 ℃反应24 h. 将反应生成的黑色粉末在60 ℃烘干后, 置于石英舟, 并放入马弗炉中, 以5 ℃/min的速率升温至450 ℃, 保温3 h后随炉冷却, 得到钴基氧化物粉末, 记作CoAlO.
将适量CoAlO微粉, 氨酚醛树脂, Co(NO3 )2 , Al(NO3 )3 , CH3 COOH, Si(OC2 H5 )4 和C2 H5 OH混合物充分搅拌, 制得具有一定黏度的浆料. 将浆料浸挂在SiC泡沫骨架上, 然后将其置于180 ℃烘箱中, 在使树脂固化的同时除去溶剂. 重复上述浆料浸挂和烘干固化过程若干次, 至所需要的负载量为止. 最后在H2 保护下分别在300, 400, 500和600 ℃还原3 h, 制备出活性组分含量为5% (质量分数)的钴基结构化催化剂. 依还原温度不同, 样品分别标记为CA300, CA400, CA500和CA600, 并保存在乙醇中备用, 以防止Co的氧化.
1.2 钴基SiC结构化催化剂的表征
用D/max-2500PC X射线衍射仪(XRD)分析各样品的物相结构, X光源为Cu靶Ka 1 线(经石墨单色器单色化), 波长为0.15406 nm, 管电压50 kV, 管电流300 mA, 扫描步长0.02°. 用S3400扫描电子显微镜(SEM)观察粉体及结构化催化剂的表面形貌, 工作电压为20 kV. 用Micromeritics ASAP-2010 物理分析仪测试样品的比表面积及孔体积. 测试前将样品在真空条件下250 ℃脱气3 h, 然后以N2 为吸附质进行比表面积和孔体积的测定. 用Micromeritics ASAP 2020C测定催化剂在120 ℃和不同压力下的H2 化学吸附量.
1.3 催化性能测试
以NaBH4 水解制氢为探针反应, 通过测定放氢速度来考察所制备的钴基结构化催化剂的活性. 进行反应时, 将0.07 g结构化催化剂加入25 mL含20%NaBH4 和5%NaOH (质量分数)的混合溶液中, 采用排水集气法收集H2 , 计算出放氢速率.
2 实验结果
2.1 钴基结构化催化剂的表征
结构化催化剂表面涂层的均匀性对其催化性能会产生很大影响. 为此, 首先对负载CoAlO微粉的SiC泡沫表面进行了微观表征, 结果如图1所示. 可以看到, 钴基结构化催化剂涂层均匀地分布在具有三维孔道结构的SiC泡沫表面, 且与SiC基体结合良好, 无明显堵孔现象, 这为催化反应提供了丰富的裸露外表面.
图1 还原热处理前钴基结构催化剂的SEM像
Fig.1 SEM image of the Co-based structural catalyst before reduction treatment
图2为空白SiC泡沫及在不同还原温度下制备的钴基SiC结构化催化剂CA300, CA400, CA500和CA600的XRD谱. 空白SiC由α -SiC ( P 6 3 m c ) 和β -SiC ( F 4 ̅ 3 m ) 两相混合组成(图2a). 当还原温度为300 ℃时, 涂层中存在部分Co3 O4 (图2b). 当还原温度升至400 ℃时, 除了由浆料中的Al(NO3 )3 , Co(NO3 )2 和Si(OC2 H5 )4 生成的杂相Co2 AlSi2 外, 钴基SiC结构化催化剂的XRD谱几乎与空白SiC一致, 并没有显现出明显的Co或者Co的化合物的峰(图2c). 随着还原温度的进一步升高, 浆料中生成的Co2 AlSi2 相越来越明显, 但XRD谱中仍然未出现Co或者CoO的峰(图2d和e).
图2 空白SiC泡沫及不同还原温度所制备的钴基结构化催化剂的XRD谱
Fig.2 XRD spectra of SiC foam and the structured catalysts obtained at different reduction temperatures(a) SiC foam (b) CA300 (c) CA400(d) CA500 (e) CA600
为了进一步确认结构化催化剂表面活性物质的组成, 将CoAlO微粉分别在300, 400, 500和600 ℃在H2 中还原3 h, 对还原后的粉末进行了XRD表征, 结果如图3所示. CoAlO微粉的XRD谱(图3a)表明, 所制备的CoAlO微粉为立方相的Co3 O4 , 并无含Al杂相析出. 同时, 部分低角度峰的位置发生偏移, 推断有部分Al3+ 进入到Co3 O4 的晶格中, 引起了晶格畸变. 经300 ℃还原后, CoAlO微粉变为Co3 O4 和CoO的混合相(图3b). 值得注意的是, 经过300 ℃还原后, 粉末中所含的Co3 O4 的峰出现了明显的宽化. 由此可以推断粉末中存在的Co3 O4 并非是没有还原的CoAlO微粉, 而是CoAlO微粉经过还原后生成了极细小的纳米Co粉, 但由于其非常活泼, 在空气中又发生了氧化, 生成了纳米尺度的Co3 O4 和CoO. 随着还原温度的升高(图3c~e), 粉末中Co3 O4 的量逐渐减少, CoO的量逐渐增多, 峰宽化程度减小. 当还原温度为400 ℃时, 粉末中已经出现Co的结晶相, 但其峰型依然是宽化的. 当还原温度升至500 ℃时, 粉末中Co的结晶相已经非常明显, 衍射峰变得尖锐. 当还原温度为600 ℃时, 粉末中主要为Co的结晶相, Co3 O4 和CoO的含量很少. 由此可以推断, 随着还原温度的升高, 粉末中还原生成的Co晶粒逐渐长大, 结晶性增强, 其在空气中常温条件下的氧化逐渐减弱, 因而先是在400 ℃时Co3 O4 的含量减少, CoO的含量增多, 继而在500和600 ℃时出现未被氧化的Co单质.
图3 不同还原温度下CoAlO微粉的XRD谱
Fig.3 XRD spectra of CoAlO powder (a) and the reduction products at 300 ℃ (b), 400 ℃ (c), 500 ℃ (d) and 600 ℃ (e)
图4给出不同热处理温度下钴基SiC结构化催化剂的表面形貌. 可以看出, 随着热处理温度的不断提高, 钴颗粒的尺寸不断增大. 当热处理温度为300 ℃时, 纳米片表面光滑, 基本无晶态颗粒. 热处理温度升至400 ℃, 纳米片表面有20~50 nm的细小晶粒出现. 当热处理温度为500 ℃时, 纳米片表面的晶粒边界已经非常明显, 其尺寸也增至50~100 nm. 当热处理温度升至600 ℃时, 纳米片表面的晶粒进一步长大, 其边界熔融后相互连接, 形成网状结构. 涂层中Co晶粒长大的过程, 与图2所示的XRD结果一致.
图4 不同热处理温度下还原得到的钴基SiC结构化催化剂的表面形貌
Fig.4 Surface morphologies of the Co-based structured catalysts obtained at the reduction temperatures of 300 ℃ (a), 400 ℃ (b), 500 ℃ (c) and 600 ℃ (d)
2.2 CoAlO微粉的比表面积和孔体积表征
图5为CoAlO微粉样品的N2 吸附-脱附等温线和孔径分布曲线. 曲线属于典型的IV型吸附等温线, 为狭缝状孔道, 孔的形状和尺寸均匀. 对于典型的IV型吸附等温线, 在较低的相对压力下, 发生的吸附主要是单分子层吸附, 然后是多层吸附. 至压力足以发生毛细管凝聚时, 等温线上表现为一个突越, 而且介孔孔径越大, 毛细管凝聚发生的压力就越高[20 ,21 ] . 由图5可见, 在相对压力P/P0 >0.7时, 吸附量大幅增加, 出现回滞环, 说明样品中存在的主要是介孔及大孔. 图5 插图给出的由BJH (Barrett-Joiner-Halenda)模型计算得到的孔径分布也验证了这一点. 样品的孔径分布比较分散, 主要集中在50~100 nm之间, 这也与SEM所观察的现象一致. 在多相反应中, 催化剂的孔径决定了反应物的扩散系数, 直接影响反应速率[22 -24 ] , 如此丰富的介孔及开放结构的大孔, 为反应物和生成物的扩散提供了便利, 有利于反应速率的提高. 经计算, 样品的比表面积为42.83 m2 /g, 孔体积为0.167 m3 /g.
图5 CoAlO微粉的N2 吸附-脱附曲线及孔径分布图
Fig.5 Nitrogen adsorption and desorption curves of the synthesized CoAlO powder measured at 77 K (Inset presents the pore diameter distribution)
2.3 钴基结构化催化剂的氢吸附性能
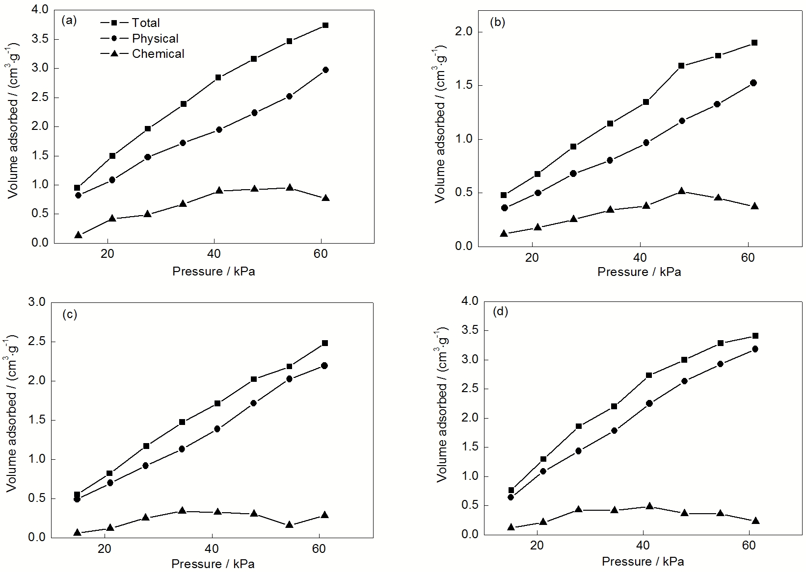
XRD结果表明, 钴基SiC结构化催化剂表面暴露在空气中会迅速发生氧化, 因此, N2 吸附不能完全真实地反映其孔隙结构特征. 因钴基SiC结构化催化剂主要应用在加氢析氢反应中, 对H2 的吸附能力直接关系到其催化活性, 所以测定了催化剂在120 ℃和不同压力下的H2 吸附量. 图6是在不同还原温度下获得的钴基结构化催化剂的H2 吸附量曲线. 可以看出, 由于CoAlO微粉存在丰富的介孔及大孔结构, 钴基SiC结构化催化剂对H2 有较高的物理吸附量. 随着还原温度的升高, 物理吸附量与总吸附量的变化趋势一致, 都是先降低后增大, 但化学吸附量则随着还原温度的升高一直降低. 例如, 对应还原温度300, 400, 500 和600 ℃, 在压力为60 kPa时, H2 的总吸附量分别为3.74, 1.90, 2.48和3.41 cm3 /g, 化学吸附量分别为0.77, 0.38, 0.29和0.22 cm3 /g. 该结果同时也说明, 物理吸附对钴基结构化催化剂的H2 总吸附量的贡献较化学吸附更为显著, 其所占比重分别为79%, 80%, 88% 和93.5%.
结合XRD, SEM和H2 吸附结果, 可推断Co的晶粒大小和结晶性与H2 在催化剂表面的化学吸附呈反比关系. 晶粒越小, 结晶性越差, 其表面存在的缺陷位越多, 对H2 的化学吸附量就越大. 随着还原温度的升高, Co晶粒长大, 结晶性降低, 其表面存在的缺陷位减少, 导致H2 化学吸附量降低. 而物理吸附量主要与催化剂表面的物理结构有关. 当还原温度较低时, Co晶粒较小, 比表面积较大, 但涂层中氨酚醛树脂胶体的热解程度很低, 所以此时的H2 物理吸附量主要由Co活性组分的表面特性决定. 随着还原温度的升高, 虽然Co晶粒长大, 比表面积有所降低, 但由于涂层中氨酚醛树脂胶体的热解程度增大, 生成的热解炭等多孔物质对H2 物理吸附的贡献变大, 从而表现为结构化催化剂的H2 物理吸附量变大. 上述结果说明, 决定钴基结构化催化剂化学吸氢性能的主要因素是Co晶粒的大小和结晶性, 而决定其物理吸氢性能的因素不仅包括Co晶粒的大小和结晶性, 还取决于涂层中胶体的热解程度.
图6 不同还原温度下获得的钴基结构化催化剂在120 ℃和不同压力下的H2 吸附量
Fig.6 Hydrogen adsorption capacities on the Co-based structured catalysts prepared at the reduction temperatures of 300 ℃ (a), 400 ℃ (b), 500 ℃ (c) and 600 ℃ (d) as a function of pressure at 120 ℃
2.4钴基SiC结构化催化剂的催化性能
测量了不同还原温度下获得的钴基SiC结构化催化剂催化NaBH4 水解反应的平均放氢速率. 反应4 h后, 对应还原温度300, 400, 500和600 ℃, 其平均放氢速率分别为37.03, 48.38, 30.98 和9.28 mL/(g·min). 可见, 所有催化剂对NaBH4 溶液的水解放氢反应均表现出较好的催化活性. 但还原温度对钴基SiC结构化催化剂的催化活性有很大的影响. 如按照涂层的质量计算, 其平均放氢速率则分别为740, 967.6, 619.6和185.6 mL/(g·min). 这说明, 随着还原温度的升高, 钴基SiC结构化催化剂的催化活性先增大, 在400 ℃达到最优的催化性能, 随后又逐渐降低.
前面已经讨论过, 影响钴基SiC结构化催化剂催化活性的主要因素包括Co晶粒的尺寸、结晶性以及涂层中氨酚醛树脂黏结剂的热解程度. 当还原温度为300 ℃时, Co的晶粒最为细小, 催化活性最高, 但由于涂层中的氨酚醛树脂在此温度下热解量很小, 遮盖了部分活性位置, 影响了其催化性能的充分发挥, 因此放氢速率略低. 当还原温度为400 ℃时, 涂层中Co晶粒的尺寸略有增大, 在一定程度上会降低其催化活性. 但在此温度下涂层中的氨酚醛树脂已经部分热解, 暴露出较多的活性位, 且生成的多孔结构有利于反应物的扩散, 因此其放氢速率最大. 随着还原温度的进一步升高, 涂层中的Co晶粒明显长大, 结晶性提高, 因此催化活性变弱, 放氢速率逐渐降低. 此结果与钴基SiC结构化催化剂对H2 的化学吸附性能基本上是对应的, 说明Co的晶粒大小和结晶性是决定其催化性能的主要因素. 同时, 由于涂层负载过程中氨酚醛树脂黏合剂的使用, 会对催化剂的表面孔结构和吸附特性产生影响, 需要加以综合考虑.
结构化催化剂相比于颗粒状或粉状催化剂最大的优点是易于与反应体系分离和重复利用, 从而提高利用效率, 降低成本. 为了检验所制备的钴基结构化催化剂的重复利用特性, 采用在400 ℃还原得到的结构化催化剂进行循环反应, 每次反应时间4 h, 反应后用去离子水清洗1 h, 共重复4个循环, 平均放氢速率依然可以达到46.08 mL/(g·min). 这说明本文所报道的钴基SiC结构化催化剂具有良好的循环稳定性.
3 分析与讨论
对于NaBH4 水解制氢反应, 由于碱的稳定作用, 催化剂和反应溶液分离, 反应将立即停止.由于粉末催化剂是悬浮分散在反应溶液中, 在催化反应过程中, 催化剂表面有气膜包覆, 很难从溶液中分离出来; 反应一旦开始, 只能通过终止反应来控制反应速度.此外, 粉末催化剂在整个反应过程中为一次性使用, 不仅成本高, 还会造成环境的二次污染.而结构化催化剂是将活性组分涂敷在SiC泡沫上, 可以很容易实现与反应溶液的无损失分离, 从而不仅可以控制NaBH4 水解制氢的反应过程, 还可以对催化剂重复利用, 降低成本.
Al掺杂对Co的催化活性有积极作用. 例如, 在相同的反应条件下, 400 ℃还原的掺铝钴粉的NaBH4 水解制氢性能优于Co-B催化剂[9 ] . 但由于钴盐和铝盐产生氢氧化物沉淀时对溶液pH值的要求相差很大, 容易产生分相, 所以无法采用共沉淀法对Co进行Al掺杂. 本工作利用Co(NO3 )2 和Al(NO3 )3 与氨酚醛树脂形成均一稳定的溶液体系, 利用氨酚醛树脂的溶剂热聚合反应[25 ,26 ] , 使Co2+ 和Al3+ 均匀分散在整个固化体系中, 从而实现均匀的混合和掺杂. 从XRD结果可知, CAlO微粉中没有出现Al2 O3 , 说明Al原子已经进入氧化钴的晶格.此外, 由于Al(NO3 )3 的加入, 使氨酚醛树脂的交联速度加快, 改变了Co粉的形貌. 而未掺杂Al的Co粉, 颗粒大于100 nm, 表面光滑, 呈半熔融态, 结块严重, 分散性差, 完全不具备CAlO微粉的开放式孔结构和花片式形貌.
传统的钴基结构化催化剂是以泡沫Cu或泡沫Ni为衬底, 采用化学镀的方法制备而成的. 化学镀过程中需要用到一系列的活化液、敏化液和工作镀液, 工艺复杂, 且易造成环境污染.本工作采用成本较低, 力学性能更好的泡沫SiC作为载体, 采用简便的涂覆法制备出钴基结构化催化剂, 其表面更加疏松多孔, 为溶液中反应物的传递提供了更大的空间和接触面积.此外, 工业化反应器可能需要搅拌来提高催化剂的利用率, 而机械强度更高, 传质速度更快的泡沫SiC负载的钴基结构化催化剂无疑将体现出更大的优势.
4 结论
以掺Al的Co3 O4 微粉为活性组分, 以SiC泡沫为载体, 通过控制H2 还原温度制备出对NaBH4 水解制氢反应有良好催化活性的钴基SiC结构化催化剂. 钴基SiC结构化催化剂涂层中Co的晶粒尺寸随着还原温度的升高而长大, 结晶性增强, 对H2 的表面化学吸附降低, 对NaBH4 水解放氢反应的催化活性也逐渐降低. 钴基SiC结构化催化剂的催化活性受Co晶粒的尺寸、结晶性以及涂层中氨酚醛树脂黏结剂的热解程度影响. 当还原温度为400 ℃时, 钴基SiC结构化催化剂涂层中不仅拥有较小的Co晶粒尺寸, 较低的结晶度来保证较高的催化活性, 而且氨酚醛树脂已部分热解, 减少了对Co晶粒的覆盖, 且生成的孔结构有利于反应物的扩散, 因而表现出最高的放氢速率.
参考文献
文献选项
[1]
Shao Q ,Long J ,He Z F ,Tian H P ,Duan Q W ,Li Y . Orderedly Structured Catalysts and Reactors. Beijing : Chemical Industry Press , 2005 : 1
[本文引用: 1]
(邵潜 ,龙军 ,贺振富 ,田辉平 ,段启伟 ,李阳 . 规整结构催化剂及反应器. 北京 : 化学工业出版社 , 2005 : 1 )
[本文引用: 1]
[2]
Cybulski A ,Moulijn J A . Structured Catalysts and Reactors. 2nd Ed. , New York: CRC Press , 2006 : 1
[本文引用: 1]
[3]
Akdim O , Demirci U B , Brioude A , Miele P . Int J Hydrogen Energy , 2009 ; 34 : 5417
[本文引用: 1]
[4]
Jeong S U , Kim R K , Cho E A , Kim H J , Nam S W , Oh I H , Hong S A , Kim S H . J Power Sources , 2005 ; 144 : 129
[5]
Bai Y , Wu F , Wu C , Yi B L , Zhang H M . Mod Chem Ind , 2006 ; 26 (4 ): 28
(白莹 , 吴峰 , 吴川 , 衣宝廉 , 张华民 . 现代化工 , 2006 ; 26 (4 ): 28 )
[6]
Liu B H , Li Z P , Suda S . J Alloys Compd , 2006 ; 415 : 288
[本文引用: 1]
[7]
Schärringer P , Müller T E , Jentys A , Lercher J A . J Catal , 2009 ; 263 : 34
[8]
Schärringer P , Müller T E , Lercher J A . J Catal , 2008 ; 253 : 167
[9]
Schlesinger H I , Brown H C , Finholt A E , Gilbreath J R , Hoekstra H R , Hyde E K . J Am Chem Soc , 1953 ; 75 : 215
[本文引用: 1]
[10]
Tsai C W , Chen H M , Liu R S , Lee J F , Chang S M , Weng B J . Int J Hydrogen Energy , 2012 ; 37 : 3338
[11]
Xu D , Dai P , Liu X , Cao C , Guo Q . J Power Sources , 2008 ; 182 : 616
[12]
Zhang X , Zhao J , Cheng F , Liang J , Tao Z , Chen J . Int J Hydrogen Energy , 2010 ; 35 : 8363
[13]
Zhao Y , Ning Z , Tian J , Wang H , Liang X , Nie S , Yu Y , Li X . J Power Sources , 2012 ; 207 : 120
[本文引用: 1]
[14]
Ma H , Ji W , Zhao J , Liang J , Chen J . J Alloys Compd , 2009 ; 474 : 584
[本文引用: 1]
[15]
Lee J , Kong K Y , Jung C R , Cho E , Yoon S P , Han J , Lee T G , Nam S W . Catal Today , 2007 ; 120 : 305
[本文引用: 1]
[16]
Oh T H , Kwon S . Int J Hydrogen Energy , 2013 ; 38 : 6425
[本文引用: 1]
[17]
Sun L , Song Q H , Hu Z Q . Acta Metall Sin , 1996 ; 32 : 63
[本文引用: 1]
(孙笠 , 宋启洪 , 胡壮麒 . 金属学报 , 1996 ; 32 : 63 )
[本文引用: 1]
[18]
Sun L , Song Q H , Hu Z Q . Acta Metall Sin , 1995 ; 31 : B341
[本文引用: 1]
(孙笠 , 宋启洪 , 胡壮麒 . 金属学报 , 1995 ; 31 : B341 )
[本文引用: 1]
[19]
Zhang J S , Cao X M , Hu W P , Yang Y J . Chin Pat, 03134039. 3 , 2003
(张劲松 , 曹小明 , 胡宛平 , 杨永进 . 中国专利, 03134039. 3 , 2003 )
[20]
Kondo S ,Ishikawa T ,Abe I . Translated by Li G X. Adsorption Science. 2nd Ed. , Beijing: Chemical Industry Press , 2005 : 31
[本文引用: 1]
(近藤精一 ,石川达雄 ,安部郁夫 . 李国希 译. 吸附科学. 第二版 , 北京: 化学工业出版社 , 2005 : 31 )
[本文引用: 1]
[21]
Aristov Y I . Appl Therm Eng , 2013 ; 50 : 1610
[本文引用: 1]
[22]
Boomsma K , Poulikakos D , Ventikos Y . Int J Heat Fluid Flow , 2003 ; 24 : 825
[本文引用: 1]
[23]
Tan K K , Sam T , Jamaludin H . Int J Heat Mass Transfer , 2003 ; 46 : 2857
[24]
Tan K K , Tan Y W , Choong T S Y . Powder Technol , 2009 ; 191 : 55
[本文引用: 1]
[25]
Huang R F ,Wan L Q . Phenolic Resin and Application. Beijing : Chemical Industry Press , 2011 : 76
[本文引用: 1]
(黄荣发 ,万里强 . 氨酚醛树脂及其应用. 北京 : 化学工业出版社 , 2011 : 76 )
[本文引用: 1]
[26]
Zhang J S , Jiang C H , Yang X D , Xu W G . Chin Pat, 201110156447. 4 , 2011
[本文引用: 1]
(张劲松 , 姜春海 , 杨晓丹 , 许卫刚 . 中国专利, 201110156447. 4 , 2011 )
[本文引用: 1]
1
2005
... 结构化催化剂在空间上呈有序排布, 与传统颗粒催化剂相比, 具有几何表面积大、催化剂与产物易于分离、机械性能好以及重量轻等优点. 结构化催化剂具备开放孔结构, 可在反应中有效缩短扩散路径、提高传递性能、减小流动阻力. 因此, 能够结合浆态床和固定床的优点, 实现催化活性表面和催化反应器2个尺度的过程强化[1 ] . 近年来, 为满足环保和可持续发展的要求, 化学工业正朝向安全、清洁、高效能的生产方式转变, 而结构化催化剂的研究成为工业催化领域的一个热点[2 ] . ...
1
2005
... 结构化催化剂在空间上呈有序排布, 与传统颗粒催化剂相比, 具有几何表面积大、催化剂与产物易于分离、机械性能好以及重量轻等优点. 结构化催化剂具备开放孔结构, 可在反应中有效缩短扩散路径、提高传递性能、减小流动阻力. 因此, 能够结合浆态床和固定床的优点, 实现催化活性表面和催化反应器2个尺度的过程强化[1 ] . 近年来, 为满足环保和可持续发展的要求, 化学工业正朝向安全、清洁、高效能的生产方式转变, 而结构化催化剂的研究成为工业催化领域的一个热点[2 ] . ...
1
2006
... 结构化催化剂在空间上呈有序排布, 与传统颗粒催化剂相比, 具有几何表面积大、催化剂与产物易于分离、机械性能好以及重量轻等优点. 结构化催化剂具备开放孔结构, 可在反应中有效缩短扩散路径、提高传递性能、减小流动阻力. 因此, 能够结合浆态床和固定床的优点, 实现催化活性表面和催化反应器2个尺度的过程强化[1 ] . 近年来, 为满足环保和可持续发展的要求, 化学工业正朝向安全、清洁、高效能的生产方式转变, 而结构化催化剂的研究成为工业催化领域的一个热点[2 ] . ...
1
2009
... 镍、钴催化剂相对于贵金属催化剂具有成本低、储量大及活性高等优点, 被广泛应用于加氢-脱氢、加氢脱卤、重排和异构化等反应中, 是化工生产中常用的催化剂. 钴催化剂因其选择性高, 在氰基加氢和水解制氢方面备受青睐[3 -14 ] . 相比于浆态粉末钴催化剂, 钴基结构化催化剂不仅活性高、体积小、而且易于分离和回收, 在硼氢化物水解的反应中, 可实现可控制氢, 有利于推动水解制氢的工业化应用. 但目前常用的钴基结构化催化剂是采用化学镀的方法将Co-B或Co-P镀在泡沫Ni或泡沫Cu的表层制备而成的[13 ,15 ,16 ] , 不仅工艺复杂, 成本高, 而且制备过程中容易产生污染. Raney Co作为一种高效的催化NaBH4 水解制氢的催化剂, 其催化性能优于一般的晶态Co粉末[6 ] , 但对其催化活性中心的研究, 目前尚无确切的报道. 参考Raney金属中由于Al的掺杂, 会引起金属相的晶格畸变, 使缺陷增加, 表面能增大, 从而成为活性中心的机理[17 ,18 ] , 可以推测, 将Al掺入Co催化剂的晶格中, 有可能会提高其催化性能. 本工作以SiC泡沫为载体, 采用简便的涂覆法在SiC表面负载含Al的钴基微粉涂层, 再经H2 还原, 从而制备得到钴基SiC结构化催化剂, 并将其应用于NaBH4 溶液的水解制氢反应. 通过系统研究不同还原温度对结构化催化剂的微观结构及催化性能的影响, 探讨了钴基结构化催化剂的催化机理和最佳的制备条件. ...
1
2006
... 镍、钴催化剂相对于贵金属催化剂具有成本低、储量大及活性高等优点, 被广泛应用于加氢-脱氢、加氢脱卤、重排和异构化等反应中, 是化工生产中常用的催化剂. 钴催化剂因其选择性高, 在氰基加氢和水解制氢方面备受青睐[3 -14 ] . 相比于浆态粉末钴催化剂, 钴基结构化催化剂不仅活性高、体积小、而且易于分离和回收, 在硼氢化物水解的反应中, 可实现可控制氢, 有利于推动水解制氢的工业化应用. 但目前常用的钴基结构化催化剂是采用化学镀的方法将Co-B或Co-P镀在泡沫Ni或泡沫Cu的表层制备而成的[13 ,15 ,16 ] , 不仅工艺复杂, 成本高, 而且制备过程中容易产生污染. Raney Co作为一种高效的催化NaBH4 水解制氢的催化剂, 其催化性能优于一般的晶态Co粉末[6 ] , 但对其催化活性中心的研究, 目前尚无确切的报道. 参考Raney金属中由于Al的掺杂, 会引起金属相的晶格畸变, 使缺陷增加, 表面能增大, 从而成为活性中心的机理[17 ,18 ] , 可以推测, 将Al掺入Co催化剂的晶格中, 有可能会提高其催化性能. 本工作以SiC泡沫为载体, 采用简便的涂覆法在SiC表面负载含Al的钴基微粉涂层, 再经H2 还原, 从而制备得到钴基SiC结构化催化剂, 并将其应用于NaBH4 溶液的水解制氢反应. 通过系统研究不同还原温度对结构化催化剂的微观结构及催化性能的影响, 探讨了钴基结构化催化剂的催化机理和最佳的制备条件. ...
1
1953
... Al掺杂对Co的催化活性有积极作用. 例如, 在相同的反应条件下, 400 ℃还原的掺铝钴粉的NaBH4 水解制氢性能优于Co-B催化剂[9 ] . 但由于钴盐和铝盐产生氢氧化物沉淀时对溶液pH值的要求相差很大, 容易产生分相, 所以无法采用共沉淀法对Co进行Al掺杂. 本工作利用Co(NO3 )2 和Al(NO3 )3 与氨酚醛树脂形成均一稳定的溶液体系, 利用氨酚醛树脂的溶剂热聚合反应[25 ,26 ] , 使Co2+ 和Al3+ 均匀分散在整个固化体系中, 从而实现均匀的混合和掺杂. 从XRD结果可知, CAlO微粉中没有出现Al2 O3 , 说明Al原子已经进入氧化钴的晶格.此外, 由于Al(NO3 )3 的加入, 使氨酚醛树脂的交联速度加快, 改变了Co粉的形貌. 而未掺杂Al的Co粉, 颗粒大于100 nm, 表面光滑, 呈半熔融态, 结块严重, 分散性差, 完全不具备CAlO微粉的开放式孔结构和花片式形貌. ...
1
2012
... 镍、钴催化剂相对于贵金属催化剂具有成本低、储量大及活性高等优点, 被广泛应用于加氢-脱氢、加氢脱卤、重排和异构化等反应中, 是化工生产中常用的催化剂. 钴催化剂因其选择性高, 在氰基加氢和水解制氢方面备受青睐[3 -14 ] . 相比于浆态粉末钴催化剂, 钴基结构化催化剂不仅活性高、体积小、而且易于分离和回收, 在硼氢化物水解的反应中, 可实现可控制氢, 有利于推动水解制氢的工业化应用. 但目前常用的钴基结构化催化剂是采用化学镀的方法将Co-B或Co-P镀在泡沫Ni或泡沫Cu的表层制备而成的[13 ,15 ,16 ] , 不仅工艺复杂, 成本高, 而且制备过程中容易产生污染. Raney Co作为一种高效的催化NaBH4 水解制氢的催化剂, 其催化性能优于一般的晶态Co粉末[6 ] , 但对其催化活性中心的研究, 目前尚无确切的报道. 参考Raney金属中由于Al的掺杂, 会引起金属相的晶格畸变, 使缺陷增加, 表面能增大, 从而成为活性中心的机理[17 ,18 ] , 可以推测, 将Al掺入Co催化剂的晶格中, 有可能会提高其催化性能. 本工作以SiC泡沫为载体, 采用简便的涂覆法在SiC表面负载含Al的钴基微粉涂层, 再经H2 还原, 从而制备得到钴基SiC结构化催化剂, 并将其应用于NaBH4 溶液的水解制氢反应. 通过系统研究不同还原温度对结构化催化剂的微观结构及催化性能的影响, 探讨了钴基结构化催化剂的催化机理和最佳的制备条件. ...
1
2009
... 镍、钴催化剂相对于贵金属催化剂具有成本低、储量大及活性高等优点, 被广泛应用于加氢-脱氢、加氢脱卤、重排和异构化等反应中, 是化工生产中常用的催化剂. 钴催化剂因其选择性高, 在氰基加氢和水解制氢方面备受青睐[3 -14 ] . 相比于浆态粉末钴催化剂, 钴基结构化催化剂不仅活性高、体积小、而且易于分离和回收, 在硼氢化物水解的反应中, 可实现可控制氢, 有利于推动水解制氢的工业化应用. 但目前常用的钴基结构化催化剂是采用化学镀的方法将Co-B或Co-P镀在泡沫Ni或泡沫Cu的表层制备而成的[13 ,15 ,16 ] , 不仅工艺复杂, 成本高, 而且制备过程中容易产生污染. Raney Co作为一种高效的催化NaBH4 水解制氢的催化剂, 其催化性能优于一般的晶态Co粉末[6 ] , 但对其催化活性中心的研究, 目前尚无确切的报道. 参考Raney金属中由于Al的掺杂, 会引起金属相的晶格畸变, 使缺陷增加, 表面能增大, 从而成为活性中心的机理[17 ,18 ] , 可以推测, 将Al掺入Co催化剂的晶格中, 有可能会提高其催化性能. 本工作以SiC泡沫为载体, 采用简便的涂覆法在SiC表面负载含Al的钴基微粉涂层, 再经H2 还原, 从而制备得到钴基SiC结构化催化剂, 并将其应用于NaBH4 溶液的水解制氢反应. 通过系统研究不同还原温度对结构化催化剂的微观结构及催化性能的影响, 探讨了钴基结构化催化剂的催化机理和最佳的制备条件. ...
1
2007
... 镍、钴催化剂相对于贵金属催化剂具有成本低、储量大及活性高等优点, 被广泛应用于加氢-脱氢、加氢脱卤、重排和异构化等反应中, 是化工生产中常用的催化剂. 钴催化剂因其选择性高, 在氰基加氢和水解制氢方面备受青睐[3 -14 ] . 相比于浆态粉末钴催化剂, 钴基结构化催化剂不仅活性高、体积小、而且易于分离和回收, 在硼氢化物水解的反应中, 可实现可控制氢, 有利于推动水解制氢的工业化应用. 但目前常用的钴基结构化催化剂是采用化学镀的方法将Co-B或Co-P镀在泡沫Ni或泡沫Cu的表层制备而成的[13 ,15 ,16 ] , 不仅工艺复杂, 成本高, 而且制备过程中容易产生污染. Raney Co作为一种高效的催化NaBH4 水解制氢的催化剂, 其催化性能优于一般的晶态Co粉末[6 ] , 但对其催化活性中心的研究, 目前尚无确切的报道. 参考Raney金属中由于Al的掺杂, 会引起金属相的晶格畸变, 使缺陷增加, 表面能增大, 从而成为活性中心的机理[17 ,18 ] , 可以推测, 将Al掺入Co催化剂的晶格中, 有可能会提高其催化性能. 本工作以SiC泡沫为载体, 采用简便的涂覆法在SiC表面负载含Al的钴基微粉涂层, 再经H2 还原, 从而制备得到钴基SiC结构化催化剂, 并将其应用于NaBH4 溶液的水解制氢反应. 通过系统研究不同还原温度对结构化催化剂的微观结构及催化性能的影响, 探讨了钴基结构化催化剂的催化机理和最佳的制备条件. ...
1
2013
... 镍、钴催化剂相对于贵金属催化剂具有成本低、储量大及活性高等优点, 被广泛应用于加氢-脱氢、加氢脱卤、重排和异构化等反应中, 是化工生产中常用的催化剂. 钴催化剂因其选择性高, 在氰基加氢和水解制氢方面备受青睐[3 -14 ] . 相比于浆态粉末钴催化剂, 钴基结构化催化剂不仅活性高、体积小、而且易于分离和回收, 在硼氢化物水解的反应中, 可实现可控制氢, 有利于推动水解制氢的工业化应用. 但目前常用的钴基结构化催化剂是采用化学镀的方法将Co-B或Co-P镀在泡沫Ni或泡沫Cu的表层制备而成的[13 ,15 ,16 ] , 不仅工艺复杂, 成本高, 而且制备过程中容易产生污染. Raney Co作为一种高效的催化NaBH4 水解制氢的催化剂, 其催化性能优于一般的晶态Co粉末[6 ] , 但对其催化活性中心的研究, 目前尚无确切的报道. 参考Raney金属中由于Al的掺杂, 会引起金属相的晶格畸变, 使缺陷增加, 表面能增大, 从而成为活性中心的机理[17 ,18 ] , 可以推测, 将Al掺入Co催化剂的晶格中, 有可能会提高其催化性能. 本工作以SiC泡沫为载体, 采用简便的涂覆法在SiC表面负载含Al的钴基微粉涂层, 再经H2 还原, 从而制备得到钴基SiC结构化催化剂, 并将其应用于NaBH4 溶液的水解制氢反应. 通过系统研究不同还原温度对结构化催化剂的微观结构及催化性能的影响, 探讨了钴基结构化催化剂的催化机理和最佳的制备条件. ...
1
1996
... 镍、钴催化剂相对于贵金属催化剂具有成本低、储量大及活性高等优点, 被广泛应用于加氢-脱氢、加氢脱卤、重排和异构化等反应中, 是化工生产中常用的催化剂. 钴催化剂因其选择性高, 在氰基加氢和水解制氢方面备受青睐[3 -14 ] . 相比于浆态粉末钴催化剂, 钴基结构化催化剂不仅活性高、体积小、而且易于分离和回收, 在硼氢化物水解的反应中, 可实现可控制氢, 有利于推动水解制氢的工业化应用. 但目前常用的钴基结构化催化剂是采用化学镀的方法将Co-B或Co-P镀在泡沫Ni或泡沫Cu的表层制备而成的[13 ,15 ,16 ] , 不仅工艺复杂, 成本高, 而且制备过程中容易产生污染. Raney Co作为一种高效的催化NaBH4 水解制氢的催化剂, 其催化性能优于一般的晶态Co粉末[6 ] , 但对其催化活性中心的研究, 目前尚无确切的报道. 参考Raney金属中由于Al的掺杂, 会引起金属相的晶格畸变, 使缺陷增加, 表面能增大, 从而成为活性中心的机理[17 ,18 ] , 可以推测, 将Al掺入Co催化剂的晶格中, 有可能会提高其催化性能. 本工作以SiC泡沫为载体, 采用简便的涂覆法在SiC表面负载含Al的钴基微粉涂层, 再经H2 还原, 从而制备得到钴基SiC结构化催化剂, 并将其应用于NaBH4 溶液的水解制氢反应. 通过系统研究不同还原温度对结构化催化剂的微观结构及催化性能的影响, 探讨了钴基结构化催化剂的催化机理和最佳的制备条件. ...
1
1996
... 镍、钴催化剂相对于贵金属催化剂具有成本低、储量大及活性高等优点, 被广泛应用于加氢-脱氢、加氢脱卤、重排和异构化等反应中, 是化工生产中常用的催化剂. 钴催化剂因其选择性高, 在氰基加氢和水解制氢方面备受青睐[3 -14 ] . 相比于浆态粉末钴催化剂, 钴基结构化催化剂不仅活性高、体积小、而且易于分离和回收, 在硼氢化物水解的反应中, 可实现可控制氢, 有利于推动水解制氢的工业化应用. 但目前常用的钴基结构化催化剂是采用化学镀的方法将Co-B或Co-P镀在泡沫Ni或泡沫Cu的表层制备而成的[13 ,15 ,16 ] , 不仅工艺复杂, 成本高, 而且制备过程中容易产生污染. Raney Co作为一种高效的催化NaBH4 水解制氢的催化剂, 其催化性能优于一般的晶态Co粉末[6 ] , 但对其催化活性中心的研究, 目前尚无确切的报道. 参考Raney金属中由于Al的掺杂, 会引起金属相的晶格畸变, 使缺陷增加, 表面能增大, 从而成为活性中心的机理[17 ,18 ] , 可以推测, 将Al掺入Co催化剂的晶格中, 有可能会提高其催化性能. 本工作以SiC泡沫为载体, 采用简便的涂覆法在SiC表面负载含Al的钴基微粉涂层, 再经H2 还原, 从而制备得到钴基SiC结构化催化剂, 并将其应用于NaBH4 溶液的水解制氢反应. 通过系统研究不同还原温度对结构化催化剂的微观结构及催化性能的影响, 探讨了钴基结构化催化剂的催化机理和最佳的制备条件. ...
1
1995
... 镍、钴催化剂相对于贵金属催化剂具有成本低、储量大及活性高等优点, 被广泛应用于加氢-脱氢、加氢脱卤、重排和异构化等反应中, 是化工生产中常用的催化剂. 钴催化剂因其选择性高, 在氰基加氢和水解制氢方面备受青睐[3 -14 ] . 相比于浆态粉末钴催化剂, 钴基结构化催化剂不仅活性高、体积小、而且易于分离和回收, 在硼氢化物水解的反应中, 可实现可控制氢, 有利于推动水解制氢的工业化应用. 但目前常用的钴基结构化催化剂是采用化学镀的方法将Co-B或Co-P镀在泡沫Ni或泡沫Cu的表层制备而成的[13 ,15 ,16 ] , 不仅工艺复杂, 成本高, 而且制备过程中容易产生污染. Raney Co作为一种高效的催化NaBH4 水解制氢的催化剂, 其催化性能优于一般的晶态Co粉末[6 ] , 但对其催化活性中心的研究, 目前尚无确切的报道. 参考Raney金属中由于Al的掺杂, 会引起金属相的晶格畸变, 使缺陷增加, 表面能增大, 从而成为活性中心的机理[17 ,18 ] , 可以推测, 将Al掺入Co催化剂的晶格中, 有可能会提高其催化性能. 本工作以SiC泡沫为载体, 采用简便的涂覆法在SiC表面负载含Al的钴基微粉涂层, 再经H2 还原, 从而制备得到钴基SiC结构化催化剂, 并将其应用于NaBH4 溶液的水解制氢反应. 通过系统研究不同还原温度对结构化催化剂的微观结构及催化性能的影响, 探讨了钴基结构化催化剂的催化机理和最佳的制备条件. ...
1
1995
... 镍、钴催化剂相对于贵金属催化剂具有成本低、储量大及活性高等优点, 被广泛应用于加氢-脱氢、加氢脱卤、重排和异构化等反应中, 是化工生产中常用的催化剂. 钴催化剂因其选择性高, 在氰基加氢和水解制氢方面备受青睐[3 -14 ] . 相比于浆态粉末钴催化剂, 钴基结构化催化剂不仅活性高、体积小、而且易于分离和回收, 在硼氢化物水解的反应中, 可实现可控制氢, 有利于推动水解制氢的工业化应用. 但目前常用的钴基结构化催化剂是采用化学镀的方法将Co-B或Co-P镀在泡沫Ni或泡沫Cu的表层制备而成的[13 ,15 ,16 ] , 不仅工艺复杂, 成本高, 而且制备过程中容易产生污染. Raney Co作为一种高效的催化NaBH4 水解制氢的催化剂, 其催化性能优于一般的晶态Co粉末[6 ] , 但对其催化活性中心的研究, 目前尚无确切的报道. 参考Raney金属中由于Al的掺杂, 会引起金属相的晶格畸变, 使缺陷增加, 表面能增大, 从而成为活性中心的机理[17 ,18 ] , 可以推测, 将Al掺入Co催化剂的晶格中, 有可能会提高其催化性能. 本工作以SiC泡沫为载体, 采用简便的涂覆法在SiC表面负载含Al的钴基微粉涂层, 再经H2 还原, 从而制备得到钴基SiC结构化催化剂, 并将其应用于NaBH4 溶液的水解制氢反应. 通过系统研究不同还原温度对结构化催化剂的微观结构及催化性能的影响, 探讨了钴基结构化催化剂的催化机理和最佳的制备条件. ...
1
2005
... 图5为CoAlO微粉样品的N2 吸附-脱附等温线和孔径分布曲线. 曲线属于典型的IV型吸附等温线, 为狭缝状孔道, 孔的形状和尺寸均匀. 对于典型的IV型吸附等温线, 在较低的相对压力下, 发生的吸附主要是单分子层吸附, 然后是多层吸附. 至压力足以发生毛细管凝聚时, 等温线上表现为一个突越, 而且介孔孔径越大, 毛细管凝聚发生的压力就越高[20 ,21 ] . 由图5可见, 在相对压力P/P0 >0.7时, 吸附量大幅增加, 出现回滞环, 说明样品中存在的主要是介孔及大孔. 图5 插图给出的由BJH (Barrett-Joiner-Halenda)模型计算得到的孔径分布也验证了这一点. 样品的孔径分布比较分散, 主要集中在50~100 nm之间, 这也与SEM所观察的现象一致. 在多相反应中, 催化剂的孔径决定了反应物的扩散系数, 直接影响反应速率[22 -24 ] , 如此丰富的介孔及开放结构的大孔, 为反应物和生成物的扩散提供了便利, 有利于反应速率的提高. 经计算, 样品的比表面积为42.83 m2 /g, 孔体积为0.167 m3 /g. ...
1
2005
... 图5为CoAlO微粉样品的N2 吸附-脱附等温线和孔径分布曲线. 曲线属于典型的IV型吸附等温线, 为狭缝状孔道, 孔的形状和尺寸均匀. 对于典型的IV型吸附等温线, 在较低的相对压力下, 发生的吸附主要是单分子层吸附, 然后是多层吸附. 至压力足以发生毛细管凝聚时, 等温线上表现为一个突越, 而且介孔孔径越大, 毛细管凝聚发生的压力就越高[20 ,21 ] . 由图5可见, 在相对压力P/P0 >0.7时, 吸附量大幅增加, 出现回滞环, 说明样品中存在的主要是介孔及大孔. 图5 插图给出的由BJH (Barrett-Joiner-Halenda)模型计算得到的孔径分布也验证了这一点. 样品的孔径分布比较分散, 主要集中在50~100 nm之间, 这也与SEM所观察的现象一致. 在多相反应中, 催化剂的孔径决定了反应物的扩散系数, 直接影响反应速率[22 -24 ] , 如此丰富的介孔及开放结构的大孔, 为反应物和生成物的扩散提供了便利, 有利于反应速率的提高. 经计算, 样品的比表面积为42.83 m2 /g, 孔体积为0.167 m3 /g. ...
1
2013
... 图5为CoAlO微粉样品的N2 吸附-脱附等温线和孔径分布曲线. 曲线属于典型的IV型吸附等温线, 为狭缝状孔道, 孔的形状和尺寸均匀. 对于典型的IV型吸附等温线, 在较低的相对压力下, 发生的吸附主要是单分子层吸附, 然后是多层吸附. 至压力足以发生毛细管凝聚时, 等温线上表现为一个突越, 而且介孔孔径越大, 毛细管凝聚发生的压力就越高[20 ,21 ] . 由图5可见, 在相对压力P/P0 >0.7时, 吸附量大幅增加, 出现回滞环, 说明样品中存在的主要是介孔及大孔. 图5 插图给出的由BJH (Barrett-Joiner-Halenda)模型计算得到的孔径分布也验证了这一点. 样品的孔径分布比较分散, 主要集中在50~100 nm之间, 这也与SEM所观察的现象一致. 在多相反应中, 催化剂的孔径决定了反应物的扩散系数, 直接影响反应速率[22 -24 ] , 如此丰富的介孔及开放结构的大孔, 为反应物和生成物的扩散提供了便利, 有利于反应速率的提高. 经计算, 样品的比表面积为42.83 m2 /g, 孔体积为0.167 m3 /g. ...
1
2003
... 图5为CoAlO微粉样品的N2 吸附-脱附等温线和孔径分布曲线. 曲线属于典型的IV型吸附等温线, 为狭缝状孔道, 孔的形状和尺寸均匀. 对于典型的IV型吸附等温线, 在较低的相对压力下, 发生的吸附主要是单分子层吸附, 然后是多层吸附. 至压力足以发生毛细管凝聚时, 等温线上表现为一个突越, 而且介孔孔径越大, 毛细管凝聚发生的压力就越高[20 ,21 ] . 由图5可见, 在相对压力P/P0 >0.7时, 吸附量大幅增加, 出现回滞环, 说明样品中存在的主要是介孔及大孔. 图5 插图给出的由BJH (Barrett-Joiner-Halenda)模型计算得到的孔径分布也验证了这一点. 样品的孔径分布比较分散, 主要集中在50~100 nm之间, 这也与SEM所观察的现象一致. 在多相反应中, 催化剂的孔径决定了反应物的扩散系数, 直接影响反应速率[22 -24 ] , 如此丰富的介孔及开放结构的大孔, 为反应物和生成物的扩散提供了便利, 有利于反应速率的提高. 经计算, 样品的比表面积为42.83 m2 /g, 孔体积为0.167 m3 /g. ...
1
2009
... 图5为CoAlO微粉样品的N2 吸附-脱附等温线和孔径分布曲线. 曲线属于典型的IV型吸附等温线, 为狭缝状孔道, 孔的形状和尺寸均匀. 对于典型的IV型吸附等温线, 在较低的相对压力下, 发生的吸附主要是单分子层吸附, 然后是多层吸附. 至压力足以发生毛细管凝聚时, 等温线上表现为一个突越, 而且介孔孔径越大, 毛细管凝聚发生的压力就越高[20 ,21 ] . 由图5可见, 在相对压力P/P0 >0.7时, 吸附量大幅增加, 出现回滞环, 说明样品中存在的主要是介孔及大孔. 图5 插图给出的由BJH (Barrett-Joiner-Halenda)模型计算得到的孔径分布也验证了这一点. 样品的孔径分布比较分散, 主要集中在50~100 nm之间, 这也与SEM所观察的现象一致. 在多相反应中, 催化剂的孔径决定了反应物的扩散系数, 直接影响反应速率[22 -24 ] , 如此丰富的介孔及开放结构的大孔, 为反应物和生成物的扩散提供了便利, 有利于反应速率的提高. 经计算, 样品的比表面积为42.83 m2 /g, 孔体积为0.167 m3 /g. ...
1
2011
... Al掺杂对Co的催化活性有积极作用. 例如, 在相同的反应条件下, 400 ℃还原的掺铝钴粉的NaBH4 水解制氢性能优于Co-B催化剂[9 ] . 但由于钴盐和铝盐产生氢氧化物沉淀时对溶液pH值的要求相差很大, 容易产生分相, 所以无法采用共沉淀法对Co进行Al掺杂. 本工作利用Co(NO3 )2 和Al(NO3 )3 与氨酚醛树脂形成均一稳定的溶液体系, 利用氨酚醛树脂的溶剂热聚合反应[25 ,26 ] , 使Co2+ 和Al3+ 均匀分散在整个固化体系中, 从而实现均匀的混合和掺杂. 从XRD结果可知, CAlO微粉中没有出现Al2 O3 , 说明Al原子已经进入氧化钴的晶格.此外, 由于Al(NO3 )3 的加入, 使氨酚醛树脂的交联速度加快, 改变了Co粉的形貌. 而未掺杂Al的Co粉, 颗粒大于100 nm, 表面光滑, 呈半熔融态, 结块严重, 分散性差, 完全不具备CAlO微粉的开放式孔结构和花片式形貌. ...
1
2011
... Al掺杂对Co的催化活性有积极作用. 例如, 在相同的反应条件下, 400 ℃还原的掺铝钴粉的NaBH4 水解制氢性能优于Co-B催化剂[9 ] . 但由于钴盐和铝盐产生氢氧化物沉淀时对溶液pH值的要求相差很大, 容易产生分相, 所以无法采用共沉淀法对Co进行Al掺杂. 本工作利用Co(NO3 )2 和Al(NO3 )3 与氨酚醛树脂形成均一稳定的溶液体系, 利用氨酚醛树脂的溶剂热聚合反应[25 ,26 ] , 使Co2+ 和Al3+ 均匀分散在整个固化体系中, 从而实现均匀的混合和掺杂. 从XRD结果可知, CAlO微粉中没有出现Al2 O3 , 说明Al原子已经进入氧化钴的晶格.此外, 由于Al(NO3 )3 的加入, 使氨酚醛树脂的交联速度加快, 改变了Co粉的形貌. 而未掺杂Al的Co粉, 颗粒大于100 nm, 表面光滑, 呈半熔融态, 结块严重, 分散性差, 完全不具备CAlO微粉的开放式孔结构和花片式形貌. ...
1
... Al掺杂对Co的催化活性有积极作用. 例如, 在相同的反应条件下, 400 ℃还原的掺铝钴粉的NaBH4 水解制氢性能优于Co-B催化剂[9 ] . 但由于钴盐和铝盐产生氢氧化物沉淀时对溶液pH值的要求相差很大, 容易产生分相, 所以无法采用共沉淀法对Co进行Al掺杂. 本工作利用Co(NO3 )2 和Al(NO3 )3 与氨酚醛树脂形成均一稳定的溶液体系, 利用氨酚醛树脂的溶剂热聚合反应[25 ,26 ] , 使Co2+ 和Al3+ 均匀分散在整个固化体系中, 从而实现均匀的混合和掺杂. 从XRD结果可知, CAlO微粉中没有出现Al2 O3 , 说明Al原子已经进入氧化钴的晶格.此外, 由于Al(NO3 )3 的加入, 使氨酚醛树脂的交联速度加快, 改变了Co粉的形貌. 而未掺杂Al的Co粉, 颗粒大于100 nm, 表面光滑, 呈半熔融态, 结块严重, 分散性差, 完全不具备CAlO微粉的开放式孔结构和花片式形貌. ...
1
... Al掺杂对Co的催化活性有积极作用. 例如, 在相同的反应条件下, 400 ℃还原的掺铝钴粉的NaBH4 水解制氢性能优于Co-B催化剂[9 ] . 但由于钴盐和铝盐产生氢氧化物沉淀时对溶液pH值的要求相差很大, 容易产生分相, 所以无法采用共沉淀法对Co进行Al掺杂. 本工作利用Co(NO3 )2 和Al(NO3 )3 与氨酚醛树脂形成均一稳定的溶液体系, 利用氨酚醛树脂的溶剂热聚合反应[25 ,26 ] , 使Co2+ 和Al3+ 均匀分散在整个固化体系中, 从而实现均匀的混合和掺杂. 从XRD结果可知, CAlO微粉中没有出现Al2 O3 , 说明Al原子已经进入氧化钴的晶格.此外, 由于Al(NO3 )3 的加入, 使氨酚醛树脂的交联速度加快, 改变了Co粉的形貌. 而未掺杂Al的Co粉, 颗粒大于100 nm, 表面光滑, 呈半熔融态, 结块严重, 分散性差, 完全不具备CAlO微粉的开放式孔结构和花片式形貌. ...