金属学报  2014 , 50 (10): 1179-1188 https://doi.org/10.11900/0412.1961.2014.00078

连续加热条件下过共析钢奥氏体化研究

李俊杰, Godfrey Andrew, 刘伟, 张弛

清华大学材料学院先进材料教育部重点实验室, 北京 100084

INVESTIGATION OF AUSTENITIZATION DURING CONTINUOUS HEATING PROCESS IN HYPEREUTECTOID STEELS

LI Junjie, Godfrey Andrew, LIU Wei, ZHANG Chi

Key Laboratory of Advanced Materials, Ministry of Education, School of Materials Science and Engineering, Tsinghua University, Beijing 100084

中图分类号:  TG142.1

通讯作者:  Correspondent: Godfrey Andrew, professor, Tel: (010)62788317, E-mail: awgodfrey@mail.tsinghua.edu.cn

修回日期:  2014-02-19

网络出版日期:  --

版权声明:  2014 《金属学报》编辑部 版权所有 2014, 金属学报编辑部。使用时,请务必标明出处。

作者简介:

李俊杰, 男, 1987年生, 博士生

展开

摘要

采用热膨胀仪和差示扫描量热仪(DSC)研究了过共析钢在连续加热条件下奥氏体化过程, 测定了不同阶段的临界温度点, 通过Thermo-Calc与Dictra软件进行了理论计算, 并且研究了加热速率、初始组织以及含C量对其的影响. 结果表明, 整个连续加热过程可以分为5个阶段, 临界温度点的实验结果与计算结果基本吻合. 提高加热速率可以提高逆共析转变的起始和终了温度, 增大逆共析转变温度区间, 残余渗碳体溶解终了温度不变, 奥氏体均匀化终了温度升高. 粗大的珠光体初始组织使得逆共析转变起始和终了温度提高, 增大了逆共析转变的温度区间, 残余渗碳体溶解和奥氏体均匀化阶段的终了温度也有所提高. 增大含C量对逆共析转变几乎没有影响, 但是会明显提高残余渗碳体和奥氏体均匀化阶段终了的温度.

关键词: 连续加热 ; 过共析钢 ; 奥氏体化 ; 加热速率 ; 初始组织 ; 含C量

Abstract

Cold-drawn pearlitic steel wires exhibit ultrahigh strength and have important applications where high strength and wear resistance are required. The hypereutectoid compositions present a promising potential for increasing the mechanical properties, especially the strength. The austenitization process strongly influences the following pearlitic microstructure and thus the mechanical properties. Continuous heating is always used in the industrial processing. However, the austenitization of pearlite in hypereutectoid steels during continuous heating has not been investigated systematically. In this work, the dilatometer and DSC were employed to investigate the austenitization kinetics of hypereutectoid steels during continuous heating. Microstructure evolution was observed with SEM and EBSD. The dilatometer and DSC curves were analyzed with derivative method. The whole austenitization can be divided into five stages: initial microstructure, reverse eutectoid transformation, retained cementite dissolution, homogenization and homogeneous austenite. Tangent method was used for measuring the critical temperatures of different stages. Experimental determination of transformed fraction was obtained through the lever method. Calculation with Thermo-Calc and Dictra software was carried out for the austenitization and considered to be a reasonable result by comparing with the experimental data. There is a turning point for the reduction rate of cementite and formation of austenite at the finishing temperature of reverse eutectoid transformation, which is similar with the austenitization in low carbon steel and spheroidal pearlite of hypereutectoid steel. Effects of heating rates, initial microstructure and carbon content were studied by varying the relevant parameters. Higher heating rate increases the starting and finishing temperatures of reverse eutectoid transformation and widens the temperature range, has no effect on the finishing temperature of retained cementite dissolution, increases the finishing temperature of homogenization. Coarser initial pearlitic microstructure increases the starting and finishing temperatures, widens the temperature range for reverse eutectoid transformation, increases the finishing temperature for retained cementite dissolution and homogenization. Enhancement of carbon content has little effect on the reverse eutectoid transformation, but increases the finishing temperature for retained cementite dissolution and homogenization. The effects mentioned above on the austenitization kinetics were discussed for mechanism analysis and compared with the observations of relevant systems provided by other research.

Keywords: continuous heating ; hypereutectoid steel ; austenitization ; heating rate ; initial microstructure ; carbon content

0

PDF (9202KB) 元数据 多维度评价 相关文章 收藏文章

本文引用格式 导出 EndNote Ris Bibtex

李俊杰, Godfrey Andrew, 刘伟, 张弛. 连续加热条件下过共析钢奥氏体化研究[J]. , 2014, 50(10): 1179-1188 https://doi.org/10.11900/0412.1961.2014.00078

LI Junjie, Godfrey Andrew, LIU Wei, ZHANG Chi. INVESTIGATION OF AUSTENITIZATION DURING CONTINUOUS HEATING PROCESS IN HYPEREUTECTOID STEELS[J]. 金属学报, 2014, 50(10): 1179-1188 https://doi.org/10.11900/0412.1961.2014.00078

冷拔珠光体钢丝是强度极高的金属工程材料, 最高强度达到6.35 GPa[1], 即使如此, 该材料依然具有很大的强度提升空间[2]. 目前, 实际工业生产中的冷拔珠光体钢丝为含C量0.80% (质量分数)左右的近共析成分. 研究[3-5]表明, 提高含C量有利于减小珠光体片间距, 提高渗碳体体积分数, 增加变形硬化能力, 并且在损失相同韧性的条件下获得更高的屈服强度. 因此, 过共析钢成为冷拔珠光体钢丝的重要发展方向. 在钢丝生产过程中, 奥氏体化是必不可少的热处理环节, 并且影响后续分解的珠光体组织以及拉拔加工过程, 因此深刻理解奥氏体化转变过程具有重要的科学和工业价值.

由于奥氏体化过程对于钢铁材料固态相变理论及实际工业生产的重要意义, 长久以来相关研究引起了广泛的关注. 奥氏体化为形核-长大型的相变过程, 其受到微观组织、化学成分以及加热方式等多种因素的控制, 并且对于后续分解过程具有明显的影响[6,7]. Chae等[8]研究了粒状珠光体在连续加热条件下奥氏体形成和碳化物颗粒溶解的过程, 并提出了相关模型. San Matin等[9]利用热膨胀仪研究了某低碳钢连续加热条件下奥氏体化的动力学过程, 与金相法结果比较吻合. Shtansky等[10]表征了Fe-2.6Cr-1C合金淬火等温条件下奥氏体化的形成与长大过程, 认为该合金中奥氏体化生长初期由C的扩散控制, 后期由Cr的扩散控制. 如果Mn, Si和Cr在低合金钢和碳素钢中含量较高, 那么由于元素分布不均匀可显著降低奥氏体化速率[11]. 在连续加热条件下过共析钢中片层状珠光体的奥氏体化转变的相关研究较少, 而这一过程对于实际生产更富于参考价值和指导意义.

热膨胀仪与差示扫描量热仪(DSC)是研究金属材料相变的重要实验设备[12-14], Thermo-Calc和Dictra软件在有关相变热力学与动力学的理论计算中也得到了广泛应用[15-17]. 因此, 本工作以热膨胀仪与DSC为热处理平台, 研究了连续加热条件下过共析钢片层状珠光体的奥氏体化转变, 并利用商品软件Thermo-Calc和Dictra计算了相关过程.

1 实验方法

实验材料为直径5.5 mm的过共析钢盘条, 化学成分(质量分数, %)为Fe-xC-0.20Cr-0.30Mn, x=1.10, 1.05和0.90, 简称为1.10C, 1.05C和0.90C. 通过控制热处理工艺将1.10C试样获得明显粗化的珠光体组织, 该试样称为1.10C-c.

采用Bahr DIL 805A热膨胀仪进行热膨胀实验, 加热过程保持5×10-2 Pa真空环境, 并同步记录试样温度(T)与试样长度变化(ΔL)信息, 试样尺寸为直径4 mm, 长10 mm. 将1.10C试样从室温分别以0.5, 10和45 ℃/s升温至1100 ℃, 研究升温速率的影响; 将1.10C和1.10C-c试样从室温以0.5 ℃/s升温至1100 ℃, 研究初始微观组织的影响; 将0.90C, 1.05C和1.10C试样以10 ℃/s升温至1100 ℃, 研究含C量的影响; 在连续加热过程中以不同温度急冷淬火, 研究微观组织的演变.

采用Q2000型DSC进行差热分析, 加热过程中采用Ar气保护并同步记录温度与热流, 试样尺寸为直径5.5 mm, 厚度1 mm, 加热速率为0.5 ℃/s.

进行组织观察的试样均采用标准金相制备方法, 首先用普通2000号SiC砂纸, 再用4000号砂纸打磨, 然后采用10%高氯酸乙醇(体积分数)溶液进行电解抛光, 抛光温度为室温, 电压20 V, 时间为20~60 s, 之后用4%硝酸酒精(体积分数)溶液进行表面腐蚀, 无水乙醇清洗并吹干. 采用TESCAN MIRA 3 LHM热场发射扫描电镜(SEM)进行组织观察, 利用配备在该SEM上的HKL Channel 5系统对于试样的初始组织进行电子背散射衍射(EBSD)表征, 通过截线法在SEM和EBSD组织照片分别测定珠光体片间距[18,19]和团簇尺寸[20].

利用Thermo-Calc软件计算过共析钢的相平衡成分与体积分数, 然后通过Dictra软件构建片层状珠光体模型, 计算连续加热过程中片层状珠光体向奥氏体转变的整个过程, 所有计算均采用商用数据库TCFE7热力学数据库和MOB2动力学数据库.

2 结果与讨论

2.1 初始组织

图1为不同含C量过共析钢试样初始微观组织的SEM像. 由图可见, 其组织均为片层状珠光体, 0.90C, 1.05C和1.10C 3种试样的珠光体片间距基本一致, 约为100 nm; 对于1.10C-c试样, 珠光体片间距明显比前3种试样更粗大, 约为350 nm. 图2为试样初始珠光体团簇组织的EBSD像. 与片间距类似, 0.90C, 1.05C和1.10C 3种试样团簇尺寸的基本一致, 约为10 mm, 1.10C-c试样团簇尺寸更粗大, 约为18 mm.

图1   不同含C量过共析钢试样的初始微观组织SEM像

Fig.1   SEM images of initial microstructures in 0.90C (a), 1.05C (b), 1.10C (c) and 1.10C-c (d) hypereutectoid steel samples

图2   不同含C量过共析钢试样初始团簇组织的EBSD像

Fig.2   EBSD images of initial nodule microstructures in 0.90C (a), 1.05C (b), 1.10C (c) and 1.10C-c (d) hypereutectoid steel samples

2.2 连续加热条件下片层状珠光体的奥氏体化转变过程与分析

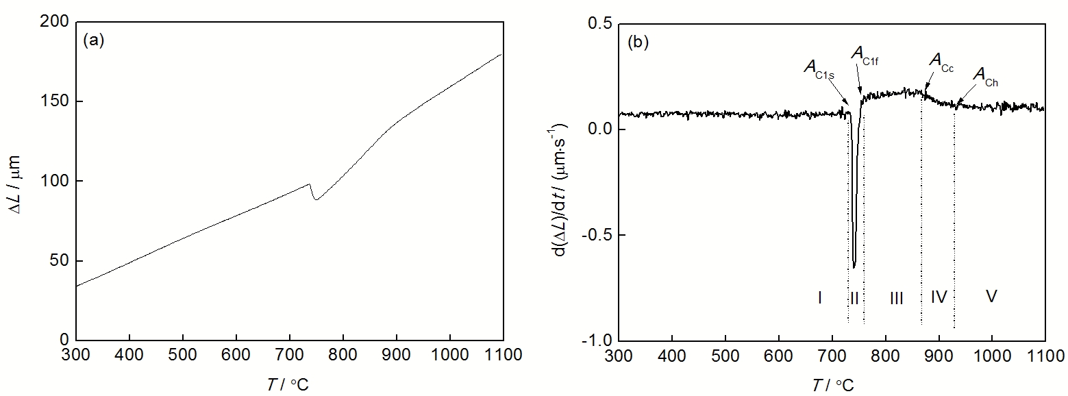
图3a所示为过共析钢1.10C试样的热膨胀原始曲线, 图3b为试样长度变化ΔL对时间t的一次偏导与温度T的关系曲线, 即为dΔL/dt-T曲线. 通过比较2者可以明显看出, 热膨胀偏导曲线(dΔL/dt-T曲线)更能反映连续加热过程中的变化[12,13]. 根据图3b可将连续加热过程分为5个阶段, 分别在图中表示为: I, II, III, IV和V. 为研究不同阶段的组织演变, 分别在加热至700, 740, 800, 900和950 ℃(对应于上述5个阶段)进行急冷淬火, 研究其组织演变过程. 图4所示为淬火后微观组织的SEM像. 可以看出, 阶段I组织为原始珠光体组织, 没有奥氏体出现; 阶段II组织为珠光体中出现了奥氏体(淬火后形成马氏体), 且奥氏体基体上分布了大量白色的渗碳体颗粒, 该阶段为铁素体与部分渗碳体向奥氏体转变的逆共析转变; 阶段Ⅲ组织为奥氏体基体, 并且残余了大量白色的渗碳体颗粒, 珠光体完全消失, 该阶段为残余渗碳体颗粒的溶解过程; 阶段IV组织为单一奥氏体, 但是该阶段ΔL与T并未保持线性关系, 为奥氏体均匀化过程; 阶段V组织为单一奥氏体, 且ΔL随T升高而线性增加, 获得了均匀的单一奥氏体组织.

图3   1.10C试样以0.5 ℃/s连续加热过程的热膨胀原始曲线和热膨胀偏导曲线

Fig.3   Dilatometric raw curve (a) and dilatometric derivative curve (b) in 1.10C sample with heating rate of 0.5 ℃/s

利用切线法[21]在dΔL/dt-T曲线上确定临界转变温度以及阶段II, III, IV的温度区间, 如图3b所示, 分别为: 逆共析转变起始温度AC1s=733 ℃, 逆共析转变终了温度AC1f=754 ℃, 残余渗碳体溶解终了温度ACc=882 ℃, 奥氏体均匀化终了温度ACh=920 ℃, 逆共析转变温度区间ΔTr=AC1f-AC1s=21 ℃, 残余渗碳体溶解温度区间ΔTd=ACc-AC1f=128 ℃, 奥氏体均匀化温度区间ΔTh=ACh-ACc=38 ℃.

图4   1.10C试样以0.5 ℃/s连续加热过程中在不同温度的SEM像

Fig.4   SEM images of microstructure evolution in 1.10C sample with heating rate of 0.5 ℃/s at 700 ℃ (a), 740 ℃ (b), 800 ℃ (c), 900 ℃ (d) and 950 ℃ (e)

阶段II为逆共析转变, 珠光体逐渐消失并且形成了残余渗碳体颗粒的奥氏体基体组织. 如图5a所示, 利用杠杆法[22,23]确定该反应的动力学过程, AB为已发生逆共析转变的部分, BC为未发生逆共析转变的部分, 因此逆共析转变分数f=AB/AC. 图5b显示了1.10C试样以0.5 ℃/s加热过程中逆共析反应的动力学曲线. 逆共析转变的临界温度与切线法的测定结果基本吻合.

图5   杠杆法测定逆共析转变分数和1.10C试样以0.5 ℃/s连续加热过程中逆共析转变的动力学曲线

Fig.5   Determination of transformed fraction through lever rule (a) and kinetics curve of reverse eutectoid transformation (b) in 1.10C sample with heating rate of 0.5 ℃/s

图6a为1.10C试样的DSC曲线, 可以观察到存在一个明显的吸热峰; 随着温度进一步升高, 出现了一段S型曲线, 如图中方框所示; 将DSC原始曲线中的热流ΔH对T取偏导, 以便测定加热过程的临界温度, 结果如图6b所示. 热膨胀数据来自于相变过程中的体积变化, 而DSC数据来自于相变过程中的热量变化, 2者所反映的临界点应当吻合. 将热膨胀偏导曲线与DSC偏导曲线进行比较(图3b与6b), 可以看出2者所测定的临界温度点吻合较好, 进一步说明以上分析方法结果比较准确和可靠. 通过比较可以确认, DSC的吸热峰对应于逆共析反应和渗碳体颗粒的溶解过程, 因为以上2个过程均为吸热过程, 因此DSC不能将其区分开来, 所以热膨胀偏导曲线更有利于对于加热过程变化的分析. DSC的S曲线则对应于奥氏体均匀化过程.

图6   1.10C试样以0.5 ℃/s连续加热条件下的DSC原始曲线和偏导曲线

Fig.6   DSC raw curve (a) and derivative curve (b) in 1.10C sample with heating rate of 0.5 ℃/s

利用Thermo-Calc软件计算了1.10C试样珠光体组织中铁素体和渗碳体的平衡化学成分, 然后在Dictra软件中构建了片层状珠光体组织模型, 模拟了该合金在0.5 ℃/s连续加热条件下奥氏体化过程. 图7为奥氏体、铁素体和渗碳体的体积分数在奥氏体化过程中的变化曲线. 由图可知, 奥氏体于731 ℃出现, 铁素体片层在758 ℃消失, 即逆共析转变结束, 该部分计算结果与实验数据符合较好. 渗碳体于913 ℃完全溶解, 与实验结果相差较大, 这是由于计算模型为片层状渗碳体在奥氏体基体上溶解, 而残余渗碳体实际上以颗粒状在奥氏体基体上溶解. 将残余渗碳体形貌由片层状改为颗粒状, 保持渗碳体体积分数不变, 重新进行计算后显示残余渗碳体于885 ℃完全溶解, 与实验结果吻合较好. 以上结果说明, Thermo-calc和Dictra软件计算比较可靠, 可以用于连续加热条件下片层状珠光体的奥氏体化转变的理论分析. 在连续加热条件下铁素体的溶解速率随时间延长(温度升高)而逐渐加快, 而在等温条件下铁素体的溶解速率随时间延长而逐渐减缓[16], 因而本工作的结果更接近于实际工业生产情况, 更具有指导意义; 在铁素体片层完全消失的临界温度点, 渗碳体曲线有一个突变点, 如图7中箭头所示, 渗碳体在逆共析转变阶段的减少速率大于其逆共析转变后的减少速率. 另外可以看出, 在逆共析转变结束后奥氏体形成速率大大减缓了, 这一点与低碳钢[24]和粒状珠光体[8]的奥氏体化形成速率是相似的.

图7   1.10C试样以0.5 ℃/s连续加热过程中各相体积分数的计算结果

Fig.7   Calculation results for volume fraction of different phases in 1.10C sample with heating rate of 0.5 ℃/s (The arrow shows the turning point of cementite reduction rate)

2.3 加热速率对奥氏体化转变的影响

图8a为1.10C试样分别以0.5, 10和45 ℃/s连续加热条件下的热膨胀偏导曲线, 图8b为对应的逆共析转变的动力学曲线. 可以看出, 逆共析转变随着加热速率提高, 起始温度AC1s和终了温度AC1f均逐渐升高, 转变温度范围分别为733~754 ℃, 744~770 ℃和750~782 ℃; 转变温度区间ΔTr逐渐增大, 分别为21, 26和32 ℃.

图8   1.10C试样以0.5, 10和45 ℃/s连续加热条件下的热膨胀偏导曲线和逆共析转变的动力学曲线

Fig.8   Dilatometric derivative curves (a) and kinetics curves of reverse eutectoid transformation (b) in 1.10C sample with heating rates of 0.5, 10 and 45 ℃/s

根据Scheil加和法则[25], 在等温条件下逆共析转变的孕育时间为转变温度的函数, 设为I(T), 与转变起始温度AC1s之间具有如下关系:

1=A1AC1sdtI(T)=A1AC1sdTv1I(T)=A1AC1s1vI(T)dT

式中, A1为平衡转变温度, v为加热速率. 由式(1)可知, 在其它条件不变的情况下, v的提高导致逆共析转变起始温度AC1s的升高.

在逆共析转变过程中, 起始温度AC1s, 终了温度AC1f与加热速率 v具有如下关系:

V=dfdt

1=0trdfdtdt=AC1sAC1fdfdtdTv=AC1sAC1fVvdT

式中, V为转变速率, tr为逆共析转变所需的时间.

利用Dictra软件计算了1.10C试样在若干温度点下的逆共析转变过程, 从而计算出不同温度下的逆共析转变速率, 最终拟合得到1.10C试样逆共析转变速率随温度的变化曲线, 如图9所示. v提高, 转变温度范围也随之提高, 从而使得逆共析转变速率V提高. 然而, 随着 v的增大, V的增大幅度略小于 v的增大幅度, 即 Vv随着 v提高而降低, 而且逆共析转变起始温度AC1sv提高而升高, 因而根据式(3)可知, v提高将导致逆共析转变温度区间ΔTr增大, 进而使得终了温度AC1f升高.

由图8a可以看出, 不同加热速率条件下残余渗碳体溶解的终了温度ACc基本不变, 为882~885 ℃, 略高于残余渗碳体溶解的平衡终了温度Acm (880 ℃), 然而由于增大加热速率 v提高了逆共析转变终了温度AC1f, 因此随着 v提高, 残余渗碳体溶解的温度区间ΔTd减小, 这是因为随着 v增大, 逆共析转变温度提高, 从而导致逆共析转变结束时残余渗碳体分数减少. Dictra计算结果显示, 随加热速率增大, 其体积分数分别为10.2%, 9.0%和8.2%, 使得残余渗碳体更快溶解完全. 在含C量0.15% (质量分数)的亚共析钢中, 逆共析转变之后是铁素体向奥氏体的转变, 铁素体向奥氏体转变的终了温度随着加热速率增大而明显提高[24], 这与残余渗碳体溶解终了温度随加热速率的变化是不同的, 这种差异可能与逆共析转变后残余渗碳体的体积分数较小有关. 奥氏体均匀化终了温度AChv增大而升高, 这是由于 v增大导致在相同温度区间内加热时间减少, 因而需要延迟至更高温度完成均匀化过程.

图9   1.10C试样逆共析转变速率随温度变化的Dictra计算结果

Fig.9   Dictra calculation result for change of reverse eutectoid transformation rates with temperature in 1.10C sample

2.4 初始组织对奥氏体化转变的影响

图10a为1.10C和1.10C-c试样在0.5 ℃/s加热速率条件下的热膨胀偏导曲线, 图10b为对应的逆共析转变动力学曲线. 可以看出, 在1.10C-c试样中, 粗大的珠光体组织延迟了逆共析转变, 其起始温度AC1s和终了温度AC1f分别由733和754 ℃提高至737和764 ℃, 转变温度区间ΔTr由21 ℃增大至27 ℃, 残余渗碳体溶解的终了温度ACc由882 ℃提高至890 ℃, 奥氏体均匀化的终了温度ACh由920 ℃提高至929 ℃.

图10   1.10C和1.10C-c试样以0.5 ℃/s连续加热条件下的热膨胀偏导曲线和逆共析转变的动力学曲线

Fig.10   Dilatometric derivative curves (a) and kinetics curves of reverse eutectoid transformation (b) for 1.10C and 1.10C-c samples with heating rate of 0.5 ℃/s

在逆共析转变中, 奥氏体于珠光体片层相界面或者珠光体团簇界面发生形核[10,26], 珠光体片间距或团簇增大必然会导致奥氏体形核位置减少, 减缓转变速率. 对于实验表征而言, 奥氏体的体积分数需要达到一定量才能被测定出来并确定该临界温度为逆共析转变的起始温度AC1s. 在逆共析转变的初始阶段, 奥氏体处于自由生长阶段, 且温度变化不大, 因而奥氏体生长速率假定为恒定值, 那么对于初始组织不同的试样, 逆共析转变的起始温度AC1s与平衡转变温度A1的差值的比例应当与试样中奥氏体形核位置数量的比例成反比.

下面通过一个简化模型对初始组织对逆共析转变起始温度AC1s的影响进行分析. 根据试样初始组织分析可知, 1.10C和1.10C-c的珠光体片间距分别为100和350 nm, 片层界面的比值大约为3.5∶1; 团簇尺寸分别为10和18 mm, 团簇界面的比例大约为1.8∶1. 将珠光体团簇简化为立方体, 珠光体片层平行分布在团簇中, 那么1.10C试样珠光体片层界面和团簇界面的比例为67∶1, 1.10C-c试样的珠光体片层界面和团簇界面的比例为34∶1. 经过加权计算, 1.10C与1.10C-c试样奥氏体形核位置的比例为3.4∶1, 那么2种材料的起始温度AC1s与平衡转变温度A1的差值比例为1∶3.4. 1.10C和1.10C-c试样的逆共析平衡转变温度A1为731 ℃, 那么实验结果测定的比例为1∶3, 与计算结果1∶3.4基本吻合, 说明初始组织对逆共析转变的起始温度AC1s的影响来自于奥氏体形核位置数量的变化.

粗大原始组织的逆共析转变温度区间ΔTr增大一方面是由于奥氏体形核位置数量减少, 另一方面是在逆共析转变过程中伴随着合金元素的扩散, 而片间距增大必然导致扩散距离增大, 从而减缓逆共析转变的速率[27]. 逆共析转变的温度区间ΔTr增大进而导致终了温度AC1f升高. 初始组织对逆共析转变的影响规律在过共析钢和共析钢[27,28]中的基本相同, 这可能是由于初始组织均为片层状珠光体, 因此初始组织的动力学影响也一致.

由Dictra计算可知, 1.10C-c试样逆共析转变后, 残余的渗碳体颗粒体积分数为11.6%, 高于1.10C试样的残余量10.2%, 因而在相同加热速率条件下残余渗碳体溶解的温度区间ΔTd更大, 终了温度ACc更高; 残余渗碳体溶解的延迟进一步把奥氏体均匀化阶段被推迟至更高的温度范围, 使得均匀化终了温度ACh更高, 但是温度区间DTh减小, 这是由于在更高温度下奥氏体均匀化的速率更快, 更小的温度区间内即可完成奥氏体均匀化.

2.5 含C量对奥氏体化转变的影响

图11   0.90C, 1.05C和1.10C试样以10 ℃/s连续加热条件下的热膨胀偏导曲线和逆共析转变动力学曲线

Fig.11   Dilatometric derivative curves (a) and kinetics curves of reverse eutectoid transformation (b) in 0.90C, 1.05C and 1.10C samples with heating rate of 10 ℃/s

图11为0.90C, 1.05C和1.10C试样以10 ℃/s连续加热条件下的热膨胀偏导曲线和对应的逆共析转变动力学曲线. 可以看出, 随着含C量的升高, 逆共析转变过程基本不变, 包括起始温度AC1s, 终了温度AC1f和温度区间DTr, 且3个试样的逆共析转变动力学曲线几乎完全重合.

3种试样初始组织中的珠光体片间距和团簇尺寸基本一致, 因而奥氏体形核位置数量没有差别, 而且由Thermo-Calc计算可知, 铁素体和渗碳体两相平衡成分相同, 并且在相界保持着相同的局部相平衡关系, 因而逆共析转变的起始温度AC1s不随含C量变化而变化.

由于先共析渗碳体体积分数极少, 故予以忽略, 视为全珠光体组织. 在片间距不变的情况下, 随着含C量降低, 铁素体片层厚度增加. 基于Thermo-Calc软件计算得出, 3种试样的铁素体片层厚度分别为83.161, 84.211和86.466 nm, 厚度最大相差约3.3 nm. 根据Dictra计算结果可知在逆共析转变末期的相变速率, 3.3 nm的铁素体厚度差仅仅能导致0.4 ℃的温度差异, 因此逆共析转变终了温度AC1f也没有变化.

随着含C量的升高, 残余渗碳体溶解终了温度ACc明显上升, 分别为834, 851和884 ℃, 表明连续加热过程中不同含C量的试样均在略高于Acm的温度下完成残余渗碳体的溶解, 这是由于一方面随着含C量升高, 逆共析转变结束后残余渗碳体体积分数急剧增加, Dictra计算结果分别为3.7%, 7.8%和9.0%, 因而残余渗碳体溶解的温度区间ΔTd更大, 终了温度ACc更高; 另一方面含C量升高使得Acm随之升高, 从而使得终了温度ACc升高. 奥氏体均匀化结束的温度ACh随含C量增大而明显升高, 分别为882, 925和935 ℃, 这是由于残余渗碳体溶解终了温度ACc升高, 从而将均匀化阶段推迟至更高的温度范围.

3 结论

(1) 连续加热条件下过共析钢奥氏体化过程可分为5个阶段, 即原始珠光体组织、逆共析转变、残余渗碳体溶解、奥氏体均匀化和均匀单一的奥氏体组织, 测定了各个阶段的临界温度点和温度区间, 并且绘制了逆共析转变的动力学曲线.

(2) 通过Thermo-Calc和Dictra软件计算了连续加热条件下过共析钢的奥氏体化过程, 计算结果与实验数据吻合较好, 并且基于此对于实验规律进行了理论分析.

(3) 提高加热速率使逆共析转变的起始和终了温度均升高, 增大了逆共析转变的温度区间, 残余渗碳体溶解终了温度没有变化, 奥氏体均匀化终了温度更高.

(4) 粗大的珠光体初始组织使得逆共析转变的起始和终了温度均提高, 增大了逆共析转变的温度区间, 残余渗碳体溶解和奥氏体均匀化阶段的终了温度更高.

(5) 增大过共析钢的含C量对于逆共析转变过程几乎没有影响, 但是明显提高了残余渗碳体溶解和奥氏体均匀化阶段的终了温度.


参考文献

[1] Li Y J, Choi P, Goto S, Borchers C, Raabe D, Kirchheim R. Acta Mater, 2012; 60: 4005

[本文引用: 1]     

[2] Tashiro H. Nipp Steel Technol Rep, 1999; 80: 6

[本文引用: 1]     

[3] Choi H C, Park K T. Scr Mater, 1996; 34: 857

[本文引用: 1]     

[4] Taleff E M, Sridhar G B, Pourladian B. Wire J Int, 2003; 36: 73

[5] Bae C M, Nam W J, Lee C S. Metall Mater Trans, 2000; 31A: 2665

[本文引用: 1]     

[6] Li J J, Godfrey A, Liu W. Acta Metall Sin, 2013; 49: 583

[本文引用: 1]     

(李俊杰, Godfrey Andrew, 刘 伟. 金属学报, 2013; 49: 583)

[本文引用: 1]     

[7] Lee S J, Park J S, Lee Y K. Scr Mater, 2008; 59: 87

[本文引用: 1]     

[8] Chae J Y, Jang J H, Zhang G, Kim K H, Lee J S, Bhadeshia H, Suh D W. Scr Mater, 2011; 65: 245

[本文引用: 2]     

[9] San Martin D, Rivera-Diaz-Del-Castillo P E J, Garcia-De-Andres C. Scr Mater, 2008; 58: 926

[本文引用: 1]     

[10] Shtansky D V, Nakai K, Ohmori Y. Acta Mater, 1999; 47: 2619

[本文引用: 2]     

[11] Karmazin L, Krejci J. Mater Sci Eng, 1994; A185: 5

[本文引用: 1]     

[12] De Andres C , Caballero F G, Capdevila C, Alvarez L F. Mater Charact, 2002; 48: 101

[本文引用: 2]     

[13] Gupta C, Dey G K, Chakravartty J K, Srivastav D, Banerjee S. Scr Mater, 2005; 53: 559

[本文引用: 1]     

[14] Xu G, Wan L, Yu S F, Liu L, Luo F. Mater Lett, 2008; 62: 3978

[本文引用: 1]     

[15] Li Z D, Miyamoto G, Yang Z G, Furuhara T. Metall Mater Trans, 2011; 42A: 1586

[本文引用: 1]     

[16] Yang Z N, Yang Z G, Xia Y, Zhang C. Acta Metall Sin, 2013; 49: 890

[本文引用: 1]     

(杨泽南, 杨志刚, 夏 苑, 张 弛. 金属学报, 2013; 49: 890)

[本文引用: 1]     

[17] Xia Y, Enomoto M, Yang Z G, Li Z D, Zhang C. Philos Mag, 2013; 93: 1095

[本文引用: 1]     

[18] Han K, Mottishaw T D, Smith G, Edmonds D V, Stacey A G. Mater Sci Eng, 1995; A190: 207

[本文引用: 1]     

[19] Zhang Y D, Esling C, Gong M L, Vincent G, Zhao X, Zuo L. Scr Mater, 2006; 54: 1897

[本文引用: 1]     

[20] Walentek A, Seefeldt M, Verlinden B, Aernoudt E, Van Houtte P. J Microsc, 2006; 224: 256

[本文引用: 1]     

[21] Farahat A. J Mater Process Technol, 2008; 204: 365

[本文引用: 1]     

[22] Liu Y C, Sommer F, Mittemeijer E J. Acta Mater, 2006; 54: 3383

[本文引用: 1]     

[23] Liu Y C, Sommer F, Mittemeijer E J. Acta Mater, 2003; 51: 507

[本文引用: 1]     

[24] Oliveira F L G, Andrade M S, Cota A B. Mater Charact, 2007; 58: 256

[本文引用: 2]     

[25] Scheil E. Arch Eisenhutten, 1935; 8: 565

[本文引用: 1]     

[26] Li Z D, Miyamoto G, Yang Z G, Furuhara T. Scr Mater, 2009; 60: 485

[本文引用: 1]     

[27] Caballero F G, Capdevila C, de Andres C G. Mater Sci Technol, 2001; 17: 686

[本文引用: 2]     

[28] Caballero F G, Capdevila C, de Andres C . Metall Mater Trans, 2001; 32A: 1283

[本文引用: 1]     

/